| Version: | 4.65.0 |
| Date: | 2026-05-20 |
| Title: | Structural Equation Modeling and Twin Modeling in R |
| Maintainer: | Timothy C. Bates <timothy.c.bates@gmail.com> |
| License: | GPL-3 |
| Language: | en-US |
| Encoding: | UTF-8 |
| URL: | https://github.com/tbates/umx#readme |
| Description: | Quickly create, run, and report structural equation models, and twin models. See '?umx' for help, and umx_open_CRAN_page("umx") for NEWS. Timothy C. Bates, Michael C. Neale, Hermine H. Maes, (2019). umx: A library for Structural Equation and Twin Modelling in R. Twin Research and Human Genetics, 22, 27-41. <doi:10.1017/thg.2019.2>. |
| Depends: | R (≥ 4.1.0), OpenMx (≥ 2.20.0), |
| Imports: | cowplot, DiagrammeR, gert, ggplot2, kableExtra, knitr, lavaan, MASS, Matrix, methods, MuMIn, mvtnorm, nlme, openxlsx, paran, polycor, quantmod, R2HTML, RCurl, scales, utils, xtable, zoo |
| Suggests: | bestNormalize, cocor, devtools, GPArotation, parallel, psychTools, psych, pwr, rmarkdown, rhub, spelling, testthat |
| Enhances: | DiagrammeRsvg, rsvg |
| BugReports: | https://github.com/tbates/umx/issues |
| LazyData: | true |
| RoxygenNote: | 8.0.0 |
| NeedsCompilation: | no |
| Packaged: | 2026-05-18 13:50:36 UTC; timothybates |
| Author: | Timothy C. Bates |
| Repository: | CRAN |
| Date/Publication: | 2026-05-18 14:20:02 UTC |
Functions for Structural Equation Modeling in OpenMx
Description
umx allows you to more easily build, run, modify, and report
structural models, building on the OpenMx package.
All core functions are organized into families, so they are easier
to find (so if you know a function similar to what you are looking for,
look at other members of its "family" at the bottom of its help file.
Please cite as: Bates, T. C., Neale, M. C., & Maes, H. H. (2019). umx: A library for Structural Equation and Twin Modelling in R. Twin Research and Human Genetics, 22, 27-41. doi:10.1017/thg.2019.2.
All functions have full-featured and well commented examples,
some even have figures, so use the help. Even if you think
it won't help :-). Have a look, for example at umxRAM()
Check out NEWS about new features at news(package = "umx")
Details
Introductory working examples are below. You can run all demos with demo(umx) When I have a vignette, it will be: vignette("umx", package = "umx")
There is a helpful blog at https://tbates.github.io
(Only) if you want the bleeding-edge version:
devtools::install_github("tbates/umx")
Author(s)
Maintainer: Timothy C. Bates timothy.c.bates@gmail.com (ORCID)
Other contributors:
Luis De Araujo ldearaujo@unimelb.edu.au [contributor]
Nathan Gillespie nathan.gillespie@vcuhealth.org [witness]
Hermine Maes hmeaes@vcu.edu [contributor]
Michael C. Neale neale@vcu.edu [contributor]
Joshua N. Pritikin jpritikin@pobox.com [contributor]
Brenton Wiernik wiernik@umn.edu [contributor]
Michael Zakharin s1775682@sms.ed.ac.uk [witness]
References
Bates, T. C., Neale, M. C., & Maes, H. H. (2019). umx: A library for Structural Equation and Twin Modelling in R. Twin Research and Human Genetics, 22, 27-41. doi:10.1017/thg.2019.2, https://github.com/tbates/umx, tutorial: https://tbates.github.io
See Also
Useful links:
Other Core Model Building Functions:
umxMatrix(),
umxModify(),
umxPath(),
umxRAM(),
umxSuperModel()
Other Model Summary and Comparison:
umxCompare(),
umxEquate(),
umxMI(),
umxReduce(),
umxSetParameters(),
umxSummary()
Other Reporting Functions:
umxAPA(),
umxFactorScores(),
umxGetLatents(),
umxGetManifests(),
umxGetModel(),
umxGetParameters(),
umxParameters(),
umx_aggregate(),
umx_time()
Other Super-easy helpers:
umxEFA(),
umxTwoStage()
Other Twin Modeling Functions:
power.ACE.test(),
umxACE(),
umxACEcov(),
umxACEv(),
umxCP(),
umxDiffMZ(),
umxDiscTwin(),
umxDoC(),
umxDoCp(),
umxGxE(),
umxGxE_window(),
umxGxEbiv(),
umxIP(),
umxMRDoC(),
umxReduce(),
umxReduceACE(),
umxReduceGxE(),
umxRotate.MxModelCP(),
umxSexLim(),
umxSimplex(),
umxSummarizeTwinData(),
umxSummaryACE(),
umxSummaryACEv(),
umxSummaryDoC(),
umxSummaryGxEbiv(),
umxSummarySexLim(),
umxSummarySimplex(),
umxTwinMaker()
Other Twin Data functions:
umx_long2wide(),
umx_make_TwinData(),
umx_make_twin_data_nice(),
umx_residualize(),
umx_scale_wide_twin_data(),
umx_wide2longTwinData(),
umx_yj_wide_twin_data()
Other Miscellaneous Stats Functions:
FishersMethod(),
SE_from_p(),
geometric_mean(),
harmonic_mean(),
oddsratio(),
reliability(),
umxCov2cor(),
umxHetCor(),
umxParan(),
umxWeightedAIC(),
umx_apply(),
umx_cor(),
umx_means(),
umx_r_test(),
umx_round(),
umx_scale(),
umx_var()
Other Teaching and testing Functions:
tmx_genotypic_effect(),
tmx_is.identified()
Other Get and set:
umx_get_alphas(),
umx_get_checkpoint(),
umx_get_options(),
umx_set_auto_plot(),
umx_set_auto_run(),
umx_set_checkpoint(),
umx_set_condensed_slots(),
umx_set_cores(),
umx_set_data_variance_check(),
umx_set_dollar_symbol(),
umx_set_optimization_options(),
umx_set_optimizer(),
umx_set_plot_file_suffix(),
umx_set_plot_format(),
umx_set_separator(),
umx_set_silent(),
umx_set_table_format()
Other Check or test:
umx_check_names(),
umx_is_class(),
umx_is_endogenous(),
umx_is_exogenous(),
umx_is_numeric(),
umx_is_ordered()
Other Plotting functions:
ggAddR(),
plot.MxLISRELModel(),
plot.MxModel(),
plot.MxModelTwinMaker(),
umxPlot(),
umxPlotACE(),
umxPlotACEcov(),
umxPlotACEv(),
umxPlotCP(),
umxPlotDoC(),
umxPlotFun(),
umxPlotGxE(),
umxPlotGxEbiv(),
umxPlotIP(),
umxPlotPredict(),
umxPlotSexLim(),
umxPlotSimplex()
Other Data Functions:
noNAs(),
prolific_anonymize(),
prolific_check_ID(),
prolific_read_demog(),
umxFactor(),
umxHetCor(),
umx_as_numeric(),
umx_cont_2_quantiles(),
umx_lower2full(),
umx_make_MR_data(),
umx_make_TwinData(),
umx_make_fake_data(),
umx_make_raw_from_cov(),
umx_merge_randomized_columns(),
umx_polychoric(),
umx_polypairwise(),
umx_polytriowise(),
umx_read_lower(),
umx_rename(),
umx_reorder(),
umx_score_scale(),
umx_select_valid(),
umx_stack(),
umx_strings2numeric()
Other File Functions:
dl_from_dropbox(),
umx_file_load_pseudo(),
umx_make_sql_from_excel(),
umx_move_file(),
umx_open(),
umx_rename_file(),
umx_write_to_clipboard()
Other String Functions:
umx_explode(),
umx_explode_twin_names(),
umx_grep(),
umx_names(),
umx_paste_names(),
umx_rot(),
umx_str_chars(),
umx_str_from_object(),
umx_trim()
Other Miscellaneous Utility Functions:
install.OpenMx(),
libs(),
qm(),
umxLav2RAM(),
umxModelNames(),
umxRAM2Lav(),
umxVersion(),
umx_array_shift(),
umx_find_object(),
umx_lower.tri(),
umx_msg(),
umx_open_CRAN_page(),
umx_pad(),
umx_print(),
umx_wide2long(),
umx_wide4lmer()
Other datasets:
Fischbein_wt,
GFF,
docData,
iqdat,
us_skinfold_data
Other Advanced Model Building Functions:
umxAlgebra(),
umxFixAll(),
umxJiggle(),
umxRun(),
umxThresholdMatrix(),
umxUnexplainedCausalNexus(),
xmuLabel(),
xmuValues()
Examples
## Not run:
require("umx")
data(demoOneFactor)
manifests <- names(demoOneFactor)
m1 <- umxRAM("One Factor",
data = demoOneFactor, type = "cov",
umxPath("G", to = manifests),
umxPath(var = manifests),
umxPath(var = "G", fixedAt = 1)
)
# umx added informative labels, created starting values,
# Ran your model (if autoRun is on), and displayed a brief summary
# including a comparison if you modified a model...!
# umxSummary generates journal-ready fit information.
# We can choose std=T for standardized parameters and can also
# filter out some types of parameter (e.g. means or residuals)
umxSummary(m1, std = TRUE, residuals = FALSE)
# parameters() flexibly retrieves model coefficients.
# For example just G-loadings greater than |.3| and rounded to 2-digits.
parameters(m1, thresh = "above", b = .3, pattern = "G_to.*", digits = 2)
# (The built-in coef works as for lm etc.)
coef(m1)
# ==================
# = Model updating =
# ==================
# umxModify modifies, renames, re-runs, and compares a model
# Can we set the loading of x1 on G to zero? (nope...)
m2 <- umxModify(m1, "G_to_x1", name = "no_effect_of_g_on_X1", comparison = TRUE)
# note1: umxSetParameters can do this with some additional flexibility
# note2 "comparison = TRUE" above is the same as calling
# umxCompare, like this
umxCompare(m1, m2)
# ========================
# = Confidence intervals =
# ========================
# umxSummary() will show these, but you can also use the confint() function
confint(m1) # OpenMx's SE-based confidence intervals
# umxConfint formats everything nicely, and allows adding CIs (with parm=)
umxConfint(m1, parm = "all", run = TRUE) # likelihood-based CIs
# And make a Figure and open in browser
plot(m1, std = TRUE)
# If you just want the .dot code returned set file = NA
plot(m1, std = TRUE, file = NA)
## End(Not run)
Weight data across time.
Description
A dataframe containing correlations of weight for 66 females measured 6 times at 6-month intervals.
Usage
data(Fischbein_wt)
Format
A 6*6 correlation matrix based on n = 66 female subjects.
Details
Weight1: Weight at time 1 (t0)
Weight2: Weight at time 2 (t0 + 6 months)
Weight3: Weight at time 3 (t0 + 12 months)
Weight4: Weight at time 4 (t0 + 18 months)
Weight5: Weight at time 5 (t0 + 24 months)
Weight6: Weight at time 6 (t0 + 32 months)
Created as follows:
Fischbein_wt = umx_read_lower(file = "", diag = TRUE, names = paste0("Weight", 1:6), ensurePD= TRUE)
1.000
0.985 1.000
0.968 0.981 1.000
0.957 0.970 0.985 1.000
0.932 0.940 0.964 0.975 1.000
0.890 0.897 0.927 0.949 0.973 1.000
References
Fischbein, S. (1977). Intra-pair similarity in physical growth of monozygotic and of dizygotic twins during puberty. Annals of Human Biology, 4. 417-430. doi:10.1080/03014467700002401
See Also
Other datasets:
GFF,
docData,
iqdat,
umx,
us_skinfold_data
Examples
## Not run:
data(Fischbein_wt) # load the data
str(Fischbein_wt) # data.frame
as.matrix(Fischbein_wt) # convert to matrix
## End(Not run)
Fishers Method of combining p-values.
Description
FishersMethod implements R.A. Fisher's (1925) method for creating a meta-analytic p-value by combining a
set of p-values from tests of the same hypothesis in independent samples. See also Stouffer's method
for combining Z scores, which allows weighting.
Usage
FishersMethod(pvalues, ...)
Arguments
pvalues |
A vector of p-values, e.g. c(.041, .183) |
... |
More p-values if you want to offer them up one by one instead of wrapping in a vector for |
Value
A meta-analytic p-value
References
Fisher, R.A. (1925). Statistical Methods for Research Workers. Oliver and Boyd (Edinburgh). ISBN 0-05-002170-2.
Fisher, R. A (1948). "Questions and answers #14". The American Statistician. 2: 30–31. doi:10.2307/2681650.
Stouffer, S. A. and Suchman, E. A. and DeVinney, L. C. and Star, S. A. and Williams, R. M. Jr. (1949) The American Soldier, Vol. 1 - Adjustment during Army Life. Princeton, Princeton University Press.
See Also
Other Miscellaneous Stats Functions:
SE_from_p(),
geometric_mean(),
harmonic_mean(),
oddsratio(),
reliability(),
umx,
umxCov2cor(),
umxHetCor(),
umxParan(),
umxWeightedAIC(),
umx_apply(),
umx_cor(),
umx_means(),
umx_r_test(),
umx_round(),
umx_scale(),
umx_var()
Examples
FishersMethod(c(.041, .378))
Twin data: General Family Functioning, divorce, and well-being.
Description
Measures of family functioning, happiness and related variables in twins, and their brothers and sisters. (see details)
Usage
data(GFF)
Format
A data frame with 1000 rows of twin-family data columns.
Details
Several scales in the data are described in van der Aa et al. (2010). General Family Functioning (GFF) refers to adolescents' evaluations general family health vs. pathology. It assesses problem solving, communication, roles within the household, affection, and control. GFF was assessed with a Dutch translation of the General Functioning sub-scale of the McMaster Family Assessment Device (FAD) (Epstein et al., 1983).
Family Conflict (FC) refers to adolescents' evaluations of the amount of openly expressed anger, aggression, and conflict among family members. Conflict sub-scale of the Family Environment Scale (FES) (Moos, 1974)
Quality of life in general (QLg) was assessed with the 10-step Cantril Ladder from best- to worst-possible life (Cantril, 1965).
-
zyg_6grp: Six-level zygosity: MZMM, DZMM, MZFF, DZFF, DZMF, DZFM
-
zyg_2grp: Two-level zygosity measure: 'MZ', 'DZ'
-
divorce: Parental divorce status: 0 = No, 1 = Yes
-
sex_T1: Sex of twin 1: 0 = "male", 1 = "female"
-
age_T1: Age of twin 1 (years)
-
gff_T1: General family functioning for twin 1
-
fc_T1: Family conflict sub-scale of the FES
-
qol_T1: Quality of life for twin 1
-
hap_T1: General happiness for twin 1
-
sat_T1: Satisfaction with life for twin 1
-
AD_T1: Anxiety and Depression for twin 1
-
SOMA_T1: Somatic complaints for twin 1
-
SOC_T1: Social problems for twin 1
-
THOU_T1: Thought disorder problems for twin 1
-
sex_T2: Sex of twin 2
-
age_T2: Age of twin 2
-
gff_T2: General family functioning for twin 2
-
fc_T2: Family conflict sub-scale of the FES
-
qol_T2: Quality of life for twin 2
-
hap_T2: General happiness for twin 2
-
sat_T2: Satisfaction with life for twin 2
-
AD_T2: Anxiety and Depression for twin 2
-
SOMA_T2: Somatic complaints for twin 2
-
SOC_T2: Social problems for twin 2
-
THOU_T2: Thought disorder problems for twin 2
-
sex_Ta: Sex of sib 1
-
age_Ta: Age of sib 1
-
gff_Ta: General family functioning for sib 1
-
fc_Ta: Family conflict sub-scale of the FES
-
qol_Ta: Quality of life for sib 1
-
hap_Ta: General happiness for sib 1
-
sat_Ta: Satisfaction with life for sib 1
-
AD_Ta: Anxiety and Depression for sib 1
-
SOMA_Ta: Somatic complaints for sib 1
-
SOC_Ta: Social problems for sib 1
-
THOU_Ta: Thought disorder problems for sib 1
-
sex_Ts: Sex of sib 2
-
age_Ts: Age of sib 2
-
gff_Ts: General family functioning for sib 2
-
fc_Ts: Family conflict sub-scale of the FES
-
qol_Ts: Quality of life for sib 2
-
hap_Ts: General happiness for sib 2
-
sat_Ts: Satisfaction with life for sib 2
-
AD_Ts: Anxiety and Depression for sib 2
-
SOMA_Ts: Somatic complaints for sib 2
-
SOC_Ts: Social problems for sib 2
-
THOU_Ts: Thought disorder problems for sib 2
References
van der Aa, N., Boomsma, D. I., Rebollo-Mesa, I., Hudziak, J. J., & Bartels, M. (2010). Moderation of genetic factors by parental divorce in adolescents' evaluations of family functioning and subjective wellbeing. Twin Research and Human Genetics, 13, 143-162. doi:10.1375/twin.13.2.143
See Also
Other datasets:
Fischbein_wt,
docData,
iqdat,
umx,
us_skinfold_data
Examples
## Not run:
# Twin 1 variables (end in '_T1')
data(GFF)
umx_names(GFF, "1$") # Just variables ending in 1 (twin 1)
str(GFF) # first few rows
m1 = umxACE(selDVs= "gff", sep = "_T",
mzData = subset(GFF, zyg_2grp == "MZ"),
dzData = subset(GFF, zyg_2grp == "DZ")
)
## End(Not run)
Generic RMSEA function
Description
See RMSEA.MxModel() to access the RMSEA of MxModels
Usage
RMSEA(x, ci.lower, ci.upper, digits)
Arguments
x |
an object from which to get the RMSEA |
ci.lower |
the lower CI to compute |
ci.upper |
the upper CI to compute |
digits |
digits to show |
Value
RMSEA object containing value (and perhaps a CI)
See Also
Other Reporting functions:
RMSEA.MxModel(),
RMSEA.summary.mxmodel(),
extractAIC.MxModel(),
loadings(),
loadings.MxModel(),
residuals.MxModel(),
tmx_show(),
tmx_show.MxMatrix(),
umxCI(),
umxCI_boot(),
umxConfint(),
umxExpCov(),
umxExpMeans(),
umxFitIndices(),
umxRotate()
RMSEA function for MxModels
Description
Return RMSEA and its confidence interval on a model. RMSEA(tmp, silent=TRUE)$RMSEA
Usage
## S3 method for class 'MxModel'
RMSEA(x, ci.lower = 0.025, ci.upper = 0.975, digits = 3)
Arguments
x |
an |
ci.lower |
the lower CI to compute (only 95%, i.e., .025 supported) |
ci.upper |
the upper CI to compute (only 95%, i.e., .975 supported) |
digits |
digits to show (default = 3) |
Value
object containing the RMSEA, lower and upper bounds, and p-close
References
See Also
Other Reporting functions:
RMSEA(),
RMSEA.summary.mxmodel(),
extractAIC.MxModel(),
loadings(),
loadings.MxModel(),
residuals.MxModel(),
tmx_show(),
tmx_show.MxMatrix(),
umxCI(),
umxCI_boot(),
umxConfint(),
umxExpCov(),
umxExpMeans(),
umxFitIndices(),
umxRotate()
Examples
## Not run:
require(umx)
data(demoOneFactor)
manifests = names(demoOneFactor)
m1 = umxRAM("One Factor", data = demoOneFactor, type = "cov",
umxPath("G", to = manifests),
umxPath(var = manifests),
umxPath(var = "G", fixedAt = 1)
)
RMSEA(m1)
x = RMSEA(m1)
x$RMSEA # 0.0309761
# Raw: needs to be run by umx to get RMSEA
m2 = umxRAM("One Factor", data = demoOneFactor,
umxPath("G", to = manifests),
umxPath(v.m. = manifests),
umxPath(v1m0 = "G")
)
RMSEA(m2)
## End(Not run)
RMSEA function for MxModel summary
Description
Extract the RMSEA and confidence interval from a model summary and returns it as an RMSEA object.
To report just the RMSEA, you can use RMSEA(model)$RMSEA
Usage
## S3 method for class 'summary.mxmodel'
RMSEA(x, ci.lower = 0.025, ci.upper = 0.975, digits = 3)
Arguments
x |
an |
ci.lower |
the lower CI to compute (only 95% CI (.025) is implemented) |
ci.upper |
the upper CI to compute (only 95% CI (.975) is implemented) |
digits |
The number of digits to round data (defaults to 3) |
Value
object containing the RMSEA and lower and upper bounds
References
See Also
Other Reporting functions:
RMSEA(),
RMSEA.MxModel(),
extractAIC.MxModel(),
loadings(),
loadings.MxModel(),
residuals.MxModel(),
tmx_show(),
tmx_show.MxMatrix(),
umxCI(),
umxCI_boot(),
umxConfint(),
umxExpCov(),
umxExpMeans(),
umxFitIndices(),
umxRotate()
Examples
## Not run:
require(umx)
data(demoOneFactor)
manifests = names(demoOneFactor)
m1 = umxRAM("One Factor", data = demoOneFactor[1:100,], type = "cov",
umxPath("G", to = manifests),
umxPath(var = manifests),
umxPath(var = "G", fixedAt = 1.0)
)
tmp = summary(m1)
RMSEA(tmp)
## End(Not run)
Compute an SE from a beta and p value
Description
SE_from_p takes beta and p, and returns an SE.
Usage
SE_from_p(beta = NULL, p = NULL, SE = NULL, lower = NULL, upper = NULL)
Arguments
beta |
The effect size |
p |
The p-value for the effect |
SE |
Standard error |
lower |
Lower CI |
upper |
Upper CI |
Value
Standard error
See Also
Other Miscellaneous Stats Functions:
FishersMethod(),
geometric_mean(),
harmonic_mean(),
oddsratio(),
reliability(),
umx,
umxCov2cor(),
umxHetCor(),
umxParan(),
umxWeightedAIC(),
umx_apply(),
umx_cor(),
umx_means(),
umx_r_test(),
umx_round(),
umx_scale(),
umx_var()
Examples
SE_from_p(beta = .0020, p = .780)
SE_from_p(beta = .0020, p = .01)
SE_from_p(beta = .0020, SE = 0.01)
umxAPA(.0020, p = .01)
Print a money object
Description
Print function for "money" objects, e.g. fin_interest().
Usage
bucks(
x,
symbol = umx_set_dollar_symbol(silent = TRUE),
big.mark = ",",
decimal.mark = ".",
trim = TRUE,
largest_with_cents = 1e+05,
negative_parens = c("hyphen", "minus", "parens"),
...
)
Arguments
x |
money object. |
symbol |
Default prefix if not set. |
big.mark |
option defaulting to "," |
decimal.mark |
option defaulting to "." |
trim |
option defaulting to TRUE |
largest_with_cents |
option defaulting to 1e+05 |
negative_parens |
option defaulting to "hyphen" |
... |
further arguments passed to or from other methods. also cat =F to return string |
Value
invisible
See Also
Examples
bucks(100 * 1.05^32)
fin_interest(deposits = 20e3, interest = 0.07, yrs = 20)
Convert Degrees to Degrees
Description
A helper to convert degrees (360 in a circle) to Rad (2\pi
in a circle).
note: R's trig functions, e.g. sin() use Radians for input!
The formula is radians = deg x 180/\pi.
180 Degrees is equal to
\piradians.1 Rad =
180/\pidegrees = ~ 57.296 degrees.
Usage
deg2rad(deg)
Arguments
deg |
The value in degrees you wish to convert to radians |
Value
value in radians
References
https://en.wikipedia.org/wiki/Radian
See Also
Other Miscellaneous Functions:
fin_FIF(),
fin_JustifiedPE(),
fin_NI(),
fin_StockCAGR(),
fin_carryCost(),
fin_expected(),
fin_interest(),
fin_net_present_value(),
fin_option(),
fin_percent(),
fin_ticker(),
fin_valuation(),
rad2deg(),
umxBrownie()
Examples
deg2rad(180) == pi # TRUE!
dl_from_dropbox
Description
Download a file from Dropbox, given either the url, or the name and key
Usage
dl_from_dropbox(x, key = NULL)
Arguments
x |
Either the file name, or full dropbox URL (see example below) |
key |
the code after s/ and before the file name in the dropbox url |
Details
Improvements would include error handling...
Value
None
References
- https://thebiobucket.blogspot.kr/2013/04/download-files-from-dropbox.html
See Also
Other File Functions:
umx,
umx_file_load_pseudo(),
umx_make_sql_from_excel(),
umx_move_file(),
umx_open(),
umx_rename_file(),
umx_write_to_clipboard()
Examples
## Not run:
dl_from_dropbox("https://dl.dropboxusercontent.com/s/7kauod48r9cfhwc/tinytwinData.rda")
dl_from_dropbox("tinytwinData.rda", key = "7kauod48r9cfhwc")
## End(Not run)
Twin data for Direction of causation modelling
Description
A dataset containing indicators for two traits varA and varB, each measured in MZ and DZ twins.
Usage
data(docData)
Format
A data frame 6 manifests for each of two twins in 1400 families of MZ and DZ twins
Details
It is designed to show off umxDoC() testing the hypothesis varA causes varB, varB causes varA, both cause each other.
-
zygosity "MZFF", "DZFF", "MZMM", or "DZMM"
-
varA1_T1 Twin one's manifest 1 for varA
-
varA2_T1 Twin one's manifest 2 for varA
-
varA3_T1 Twin one's manifest 3 for varA
-
varB1_T1 Twin one's manifest 1 for varB
-
varB2_T1 Twin one's manifest 2 for varB
-
varB3_T1 Twin one's manifest 3 for varB
-
varA1_T2 Twin two's manifest 1 for varA
-
varA2_T2 Twin two's manifest 2 for varA
-
varA3_T2 Twin two's manifest 3 for varA
-
varB1_T2 Twin two's manifest 1 for varB
-
varB2_T2 Twin two's manifest 2 for varB
-
varB3_T2 Twin two's manifest 3 for varB
References
N.A. Gillespie and N.G. Martin (2005). Direction of Causation Models. In Encyclopedia of Statistics in Behavioral Science, 1, 496–499. Eds. Brian S. Everitt & David C. Howell
See Also
Other datasets:
Fischbein_wt,
GFF,
iqdat,
umx,
us_skinfold_data
Examples
data(docData)
str(docData)
mzData = subset(docData, zygosity %in% c("MZFF", "MZMM"))
dzData = subset(docData, zygosity %in% c("DZFF", "DZMM"))
par(mfrow = c(1, 2)) # 1 rows and 3 columns
plot(varA1_T2 ~varA1_T1, ylim = c(-4, 4), data = mzData, main="MZ")
tmp = round(cor.test(~varA1_T1 + varA1_T2, data = mzData)$estimate, 2)
text(x=-4, y=3, labels = paste0("r = ", tmp))
plot(varA1_T2 ~varA1_T1, ylim = c(-4, 4), data = dzData, main="DZ")
tmp = round(cor.test(~varA1_T1 + varA1_T2, data = dzData)$estimate, 2)
text(x=-4, y=3, labels = paste0("r = ", tmp))
par(mfrow = c(1, 1)) # back to as it was
Extract AIC from MxModel
Description
Returns the AIC for an OpenMx model. Original Author: Brandmaier
Usage
## S3 method for class 'MxModel'
extractAIC(fit, scale, k, ...)
Arguments
fit |
an fitted |
scale |
not used |
k |
not used |
... |
any other parameters (not used) |
Value
AIC value
See Also
Other Reporting functions:
RMSEA(),
RMSEA.MxModel(),
RMSEA.summary.mxmodel(),
loadings(),
loadings.MxModel(),
residuals.MxModel(),
tmx_show(),
tmx_show.MxMatrix(),
umxCI(),
umxCI_boot(),
umxConfint(),
umxExpCov(),
umxExpMeans(),
umxFitIndices(),
umxRotate()
Examples
## Not run:
require(umx)
data(demoOneFactor)
manifests = names(demoOneFactor)
m1 = umxRAM("One Factor", data = demoOneFactor, type = "cov",
umxPath("G", to = manifests),
umxPath(var = manifests),
umxPath(var = "G", fixedAt = 1)
)
extractAIC(m1)
# -2.615998
AIC(m1)
## End(Not run)
Calculate Compound Annual Growth Rate (CAGR)
Description
Calculates the constant, period-over-period growth rate required for an investment to grow from a beginning value to an ending value over a specified number of periods.
The Compound Annual Growth Rate (CAGR) is computed as: CAGR = (End value/Start value)^(1/t) - 1
Where t is the number of years (periods).
Usage
fin_CAGR(beginningValue, endingValue, numYears, digits = 3)
Arguments
beginningValue |
Starting value of investment |
endingValue |
Ending value of investment |
numYears |
Number of periods (e.g., years) elapsing from begin to end |
digits |
rounding the returned value (default = 3) |
Value
A numeric value representing the Compound Annual Growth Rate as a decimal (e.g., 0.096 for 9.6
Note
This function includes input validation and will 'stop()' with an error if any inputs are non-numeric or non-positive.
Examples
# --- Basic Usage ---
rate = fin_CAGR(beginningValue = 100, endingValue = 190, numYears = 7)
print(rate)
# --- Formatting as Percentage ---
percent = paste0(round(rate * 100, 2), "%")
print(percent)
# --- Example with a Loss ---
fin_CAGR(100, 50, 5)
## Not run:
# --- Examples of what will fail ---
fin_CAGR(0, 100, 5) # Error: Inputs must be positive
fin_CAGR(100, 150, -1) # Error: Inputs must be positive
fin_CAGR("100", 150, 5) # Error: All inputs must be numeric
## End(Not run)
NZ FIF Tax Offset & NAV Neutrality Calculator
Description
NZ FIF Tax Offset & NAV Neutrality Calculator
Usage
fin_FIF(portfolioValue, marginRate, expectedReturn, taxRate, fifRate = 0.05)
Arguments
portfolioValue |
Total opening value of the portfolio on April 1st. |
marginRate |
The annual interest rate on the IBKR margin loan (e.g., 0.06). |
expectedReturn |
The expected annual growth of the asset (e.g., 0.11 for QQQ). |
taxRate |
The user's marginal tax rate (e.g., 0.39 or .3 (blended)). |
fifRate |
The FIF deemed rate of return (standard is 0.05). |
Value
A ggplot object showing the net impact across LTV ratios.
See Also
Other Miscellaneous Functions:
deg2rad(),
fin_JustifiedPE(),
fin_NI(),
fin_StockCAGR(),
fin_carryCost(),
fin_expected(),
fin_interest(),
fin_net_present_value(),
fin_option(),
fin_percent(),
fin_ticker(),
fin_valuation(),
rad2deg(),
umxBrownie()
Examples
# Example Usage:
# 2026 Strategy: $500k Portfolio, 6.5% IBKR Rate, 12% Expected Return, 39% Tax
fin_FIF(portfolioValue = .5e6, marginRate = 0.065, expectedReturn = 0.12, taxRate = 0.39)
Justified P/E Ratio
Description
Compute the Justified P/E of a stock. Justified P/E = ( (DPS / EPS) * (1 + g)) / (k - g) DPS is the dividend per share, EPS is the earnings per share, g is the sustainable growth rate, and k is the required rate of return.
Usage
fin_JustifiedPE(
Dividend = 0.02,
EPS = 1,
growthRate = 0.08,
discountRate = 0.12,
basePE = 20,
yrs = 10
)
Arguments
Dividend |
The dividend. |
EPS |
The Earnings per Share. |
growthRate |
The growth rate. |
discountRate |
Your chosen discount rate. |
basePE |
The base PE. |
yrs |
Years. |
Value
A PE that is justified for this stock.
See Also
Other Miscellaneous Functions:
deg2rad(),
fin_FIF(),
fin_NI(),
fin_StockCAGR(),
fin_carryCost(),
fin_expected(),
fin_interest(),
fin_net_present_value(),
fin_option(),
fin_percent(),
fin_ticker(),
fin_valuation(),
rad2deg(),
umxBrownie()
Examples
# fin_JustifiedPE(Dividend= .8, EPS = 2, growthRate = .06, discountRate = .1)
Compute NI given annual Earnings.
Description
Employees pay contributions at 12%% on annual earnings between GBP 9,568 and GBP 50,270. Above that you pay at 2%%. Employers pay at 13.8%% on all annual earnings of more than GBP 8,840, although there are different thresholds for those under the age of 21 and for apprentices under the age of 25.
Usage
fin_NI(annualEarnings, symbol = "£")
Arguments
annualEarnings |
Employee annual earnings. |
symbol |
Currency symbol to embed in the result. |
Value
NI
References
See Also
Other Miscellaneous Functions:
deg2rad(),
fin_FIF(),
fin_JustifiedPE(),
fin_StockCAGR(),
fin_carryCost(),
fin_expected(),
fin_interest(),
fin_net_present_value(),
fin_option(),
fin_percent(),
fin_ticker(),
fin_valuation(),
rad2deg(),
umxBrownie()
Examples
fin_NI(42e3)
fin_NI(142000)
Compute the CAGR of a stock
Description
fin_StockCAGR uses stock info from Yahoo to work out the CAGR over time.
Usage
fin_StockCAGR(priceSeries, from = "1900-01-01")
Arguments
priceSeries |
A price series using yahoo |
from |
The date in the series to start from (blank = all) |
Value
value
See Also
Other Miscellaneous Functions:
deg2rad(),
fin_FIF(),
fin_JustifiedPE(),
fin_NI(),
fin_carryCost(),
fin_expected(),
fin_interest(),
fin_net_present_value(),
fin_option(),
fin_percent(),
fin_ticker(),
fin_valuation(),
rad2deg(),
umxBrownie()
Examples
## Not run:
libs(c("quantmod", "ggplot2", "scales", "lubridate"))
getSymbols(c("NVDA"), from = "2010-01-01", to = Sys.Date())
startDate = "2016-01-01"
nvdaCagr = fin_StockCAGR(NVDA, startDate)
## End(Not run)
Work the carry cost of a house
Description
fin_carryCost uses the purchase price, holding expenses, appreciation, and opportunity cost to compute a carrying cost for a house purchase.
Usage
fin_carryCost(
property_cost,
appreciation = 0.02,
QQQ = 0.14,
rent_saved = 0.04,
interest = 0.06,
rates = 5000,
insurance = 2000,
maintenance = 0.015,
years = 5
)
Arguments
property_cost |
Purchase price |
appreciation |
rate of property increase |
QQQ |
Opportunity cost of leaving money in the markets |
rent_saved |
But now you have to rent somewhere |
interest |
Cost of borrowing |
rates |
Council |
insurance |
The cost of property owners insurance |
maintenance |
New kitchen roof etc. |
years |
Holding time. |
Value
value
See Also
Other Miscellaneous Functions:
deg2rad(),
fin_FIF(),
fin_JustifiedPE(),
fin_NI(),
fin_StockCAGR(),
fin_expected(),
fin_interest(),
fin_net_present_value(),
fin_option(),
fin_percent(),
fin_ticker(),
fin_valuation(),
rad2deg(),
umxBrownie()
Examples
fin_carryCost(property_cost=1.2e6)
fin_carryCost(property_cost=1.1e6, appreciation = .035, QQQ=.15, years=10)
Compute the future value and gain of an investment
Description
fin_expected takes a current and fair value, as well as a cost of capital, and returns the expected gain.
Usage
fin_expected(
current = 89,
fair = 140,
ticker = "NVDA",
capital = 0.15,
verb = FALSE
)
Arguments
current |
The current market value of the instrument |
fair |
The user's estimated fair value. |
ticker |
A label for printing |
capital |
The cost of capital (defaults to .15) |
verb |
Verbose or concise (FALSE) |
Value
expected gain
See Also
Other Miscellaneous Functions:
deg2rad(),
fin_FIF(),
fin_JustifiedPE(),
fin_NI(),
fin_StockCAGR(),
fin_carryCost(),
fin_interest(),
fin_net_present_value(),
fin_option(),
fin_percent(),
fin_ticker(),
fin_valuation(),
rad2deg(),
umxBrownie()
Examples
fin_expected(114,fair=140, ticker="NVDA", capital=.15, verb=TRUE)
# NVDA return = 41 %
# delta (fair-current)= $ 26
# growth = $ 21
# expected gain = $ 47
# future value (final) = $ 161
fin_expected(24, 130, ticker="SMMT")
# SMMT return = 523 %
fin_expected(24, 75, ticker="SMMT", verb=TRUE)
# SMMT return = 259 %
# delta (fair-current)= $ 51
# growth = $ 11.25
# expected gain = $ 62.25
# future value (final) = $ 86.25
fin_expected(750, 1000, ticker="LLY", verb=TRUE)
# LLY return = 53 %
# delta (fair-current)= $ 250
# growth = $ 150
# expected gain = $ 400
# future value (final) = $ 1150
Compute the value of a principal & annual deposits at a compound interest over a number of years
Description
Allows you to determine the final value of an initial principal (with optional
periodic deposits), over a number of years (yrs) at a given rate of interest.
Principal and deposits are optional. You control compounding periods each year (n) and whether deposits occur at the beginning or end of the year.
The function outputs a nice table of annual returns, formats the total using a user-settable currency symbol. Can also report using a web table.
notes: Graham valuation: fair P/E = 9 + (1.5 * growth%). e.g. $INTEL fair P/E = 9+.53 = 10.5 up to 9+210 = 29 Can move the weighting between a conservative .5 and an optimistic 2 (in terms of how long the growth will last and how low the hurdle rate is)
Usage
fin_interest(
principal = 100,
deposits = 0,
inflate = 0,
interest = 0.05,
yrs = 10,
final = NULL,
n = 12,
when = "beginning",
symbol = NULL,
largest_with_cents = 0,
baseYear = as.numeric(format(Sys.time(), "%Y")),
table = TRUE,
report = c("markdown", "html"),
deflate = TRUE
)
Arguments
principal |
The initial investment at time 0 (default 100) |
deposits |
Optional periodic additional investment each year. |
inflate |
How much to inflate deposits over time (default 0) |
interest |
Annual interest rate (default .05) |
yrs |
Duration of the investment (default 10). |
final |
if set (default = NULL), returns the rate required to turn principal into final after yrs (principal defaults to 1) |
n |
Compounding intervals per year (default 12 (monthly), use 365 for daily) |
when |
Deposits made at the "beginning" (of each year) or "end" |
symbol |
Currency symbol to embed in the result. |
largest_with_cents |
Default = 0 |
baseYear |
Default = current year (for table row labels) |
table |
Whether to print a table of annual returns (default TRUE) |
report |
"markdown" or "html", |
deflate |
Final capital is inflation adjusted when inflation is non zero (default TRUE). |
Value
Value of balance after yrs of investment.
References
See Also
Other Miscellaneous Functions:
deg2rad(),
fin_FIF(),
fin_JustifiedPE(),
fin_NI(),
fin_StockCAGR(),
fin_carryCost(),
fin_expected(),
fin_net_present_value(),
fin_option(),
fin_percent(),
fin_ticker(),
fin_valuation(),
rad2deg(),
umxBrownie()
Examples
## Not run:
# 1. Value of a principal after yrs years at 5% return, compounding monthly.
# Report in browser as a nice table of annual returns and formatted totals.
fin_interest(principal = 5000, interest = 0.05, rep= "html")
## End(Not run)
# Report as a nice markdown table
fin_interest(principal = 5000, interest = 0.05, yrs = 10)
umx_set_dollar_symbol("$")
# 2 What rate is needed to increase principal to final value in yrs time?
fin_interest(1, final = 1.4, yrs=5)
fin_interest(principal = 50, final=200, yrs = 5)
# 3. What's the value of deposits of $100/yr after 10 years at 7% return?
fin_interest(0, deposits = 100, interest = 0.07, yrs = 10, n = 12)
# 4. What's the value of $20k + $100/yr over 10 years at 7% return?
fin_interest(principal= 20e3, deposits= 100, interest= .07, yrs= 10, symbol="$")
# 5. What is $10,000 invested at the end of each year for 5 years at 6%?
fin_interest(deposits = 10e3, interest = 0.06, yrs = 5, n=1, when= "end")
# 6. What will $20k be worth after 10 years at 15% annually (n=1)?
fin_interest(deposits=20e3, interest = 0.15, yrs = 10, n=1, baseYear=1)
# $466,986
# manual equivalent
sum(20e3*(1.15^(10:1))) # 466985.5
# 7. Annual (rather than monthly) compounding (n=1)
fin_interest(deposits = 100, interest = 0.07, yrs = 10, n=1)
# 8 Interest needed to increase principal to final value in yrs time.
fin_interest(principal = 100, final=200, yrs = 5)
Compute the net present value of a future income stream
Description
fin_valuation uses the revenue, operating margin, expenses and PE to compute a market capitalization.
Better to use a more powerful online site.
Usage
fin_net_present_value(
income = 27000,
discount_rate = 0.05,
periods = 25,
symbol = umx_set_dollar_symbol(silent = TRUE)
)
Arguments
income |
Value of expected recurring payment |
discount_rate |
Percent return to discount against (.05 = 5%) |
periods |
How many periods the stream delivers, e.g., 25 years of pension. |
symbol |
Currency symbol to use |
Details
Revenue stream is discounted back to a present day cash amount which is equivalent.
Value
value
See Also
Other Miscellaneous Functions:
deg2rad(),
fin_FIF(),
fin_JustifiedPE(),
fin_NI(),
fin_StockCAGR(),
fin_carryCost(),
fin_expected(),
fin_interest(),
fin_option(),
fin_percent(),
fin_ticker(),
fin_valuation(),
rad2deg(),
umxBrownie()
Examples
fin_net_present_value(27e3, .05, 25)
Teaching function for options
Description
fin_option is a teaching function for understanding vega etc.
Usage
fin_option(premium = 134, strike = 200, stock = 304, delta = 0.85, years = 1.8)
Arguments
premium |
Cost to buy |
strike |
the strike price |
stock |
the current price |
delta |
the delta |
years |
how far in time the LEAP ends. |
Value
value
See Also
Other Miscellaneous Functions:
deg2rad(),
fin_FIF(),
fin_JustifiedPE(),
fin_NI(),
fin_StockCAGR(),
fin_carryCost(),
fin_expected(),
fin_interest(),
fin_net_present_value(),
fin_percent(),
fin_ticker(),
fin_valuation(),
rad2deg(),
umxBrownie()
Examples
fin_option(premium = 134, strike = 200, stock= 304)
Compute the percent change needed to return to the original value after percent off (or on).
Description
Determine the percent change needed to "undo" an initial percent change. Has a plot function as well. If an amount of $100 has 20% added, what percent do we need to drop it by to return to the original value?
fin_percent(20) yields $100 increased by 20% = $120 (Percent to reverse = -17%)
Usage
fin_percent(
percent,
value = 100,
symbol = "$",
digits = 2,
plot = TRUE,
logY = TRUE
)
Arguments
percent |
Change in percent (enter 10 for 10%, not 0.1) |
value |
Principal |
symbol |
value units (default = "$") |
digits |
Rounding of results (default 2 places) |
plot |
Whether to plot the result (default TRUE) |
logY |
Whether to plot y axis as log (TRUE) |
Value
new value and change required to return to baseline.
See Also
Other Miscellaneous Functions:
deg2rad(),
fin_FIF(),
fin_JustifiedPE(),
fin_NI(),
fin_StockCAGR(),
fin_carryCost(),
fin_expected(),
fin_interest(),
fin_net_present_value(),
fin_option(),
fin_ticker(),
fin_valuation(),
rad2deg(),
umxBrownie()
Examples
# Percent needed to return to original value after 10% taken off
fin_percent(-10)
# Percent needed to return to original value after 10% added on
fin_percent(10)
# Percent needed to return to original value after 50% off 34.50
fin_percent(-50, value = 34.5)
Open a ticker in yahoo finance.
Description
Open a stock ticker, currently in yahoo finance
Usage
fin_ticker(ticker = "INTC")
Arguments
ticker |
A stock symbol to look up, e.g., "OXY" |
Value
Open a ticker in a finance site online
See Also
Other Miscellaneous Functions:
deg2rad(),
fin_FIF(),
fin_JustifiedPE(),
fin_NI(),
fin_StockCAGR(),
fin_carryCost(),
fin_expected(),
fin_interest(),
fin_net_present_value(),
fin_option(),
fin_percent(),
fin_valuation(),
rad2deg(),
umxBrownie()
Examples
# Open $INTC in yahoo finance.
## Not run:
fin_ticker("INTC")
## End(Not run)
Work the valuation of a company
Description
fin_valuation uses the revenue, operating margin, expenses and PE to compute a market capitalization.
Better to use a more powerful online site.
Usage
fin_valuation(
revenue = 6e+06 * 30000,
opmargin = 0.08,
expenses = 0.2,
PE = 30,
symbol = "$",
use = c("B", "M")
)
Arguments
revenue |
Revenue of the company |
opmargin |
Margin on operating revenue |
expenses |
Additional fixed costs |
PE |
of the company |
symbol |
Currency |
use |
reporting values in "B" (billion) or "M" (millions) |
Details
Revenue is multiplied by opmargin to get a gross profit. From this the proportion specified in expenses is subtracted
and the resulting earnings turned into a price via the PE
Value
value
See Also
Other Miscellaneous Functions:
deg2rad(),
fin_FIF(),
fin_JustifiedPE(),
fin_NI(),
fin_StockCAGR(),
fin_carryCost(),
fin_expected(),
fin_interest(),
fin_net_present_value(),
fin_option(),
fin_percent(),
fin_ticker(),
rad2deg(),
umxBrownie()
Examples
fin_valuation(rev=7e9, opmargin=.1, PE=33)
# Market cap = $18,480,000,000
# (Based on PE= 33, operating Income of $0.70 B, and net income =$0.56B
Geometric Mean
Description
The Geometric mean is the nth-root of the product of n input values.
Common uses include computing economic utility. For example, the geometric mean utility of
c(1, 2, 10) is
(1 * 2 * 10)^\frac{1}{3}
= 2.7 not 4.3 (the arithmetic mean of utility).
Usage
geometric_mean(x, na.rm = c(TRUE, FALSE))
Arguments
x |
A vector of values. |
na.rm |
remove NAs by default. |
Value
Geometric mean of x
References
See Also
Other Miscellaneous Stats Functions:
FishersMethod(),
SE_from_p(),
harmonic_mean(),
oddsratio(),
reliability(),
umx,
umxCov2cor(),
umxHetCor(),
umxParan(),
umxWeightedAIC(),
umx_apply(),
umx_cor(),
umx_means(),
umx_r_test(),
umx_round(),
umx_scale(),
umx_var()
Examples
geometric_mean(c(50, 100))
# For a given sum, geometric mean is maximised when all values are equal:
geometric_mean(c(75,75))
v = c(1, 149); c(sum(v), geometric_mean(v), mean(v), median(v))
# 150.00000 12.20656 75.00000 75.00000
# Underlying logic
sqrt(50 * 100)
# Alternate form using logs
exp(mean(log(c(50 *100))))
# Reciprocal duality
1/geometric_mean(c(100, 50))
geometric_mean(c(1/100, 1/50))
Add a fit statistic to a ggplot
Description
Add a fit statistic to a ggplot
Usage
ggAddR(model, effect = NA, xloc = 8, yloc = 10)
Arguments
model |
a statistical model which contains a fit measure. |
effect |
optional hard coded fit/effect. |
xloc |
x location of R. |
yloc |
y location of R. |
Value
plot
See Also
Other Plotting functions:
plot.MxLISRELModel(),
plot.MxModel(),
plot.MxModelTwinMaker(),
umx,
umxPlot(),
umxPlotACE(),
umxPlotACEcov(),
umxPlotACEv(),
umxPlotCP(),
umxPlotDoC(),
umxPlotFun(),
umxPlotGxE(),
umxPlotGxEbiv(),
umxPlotIP(),
umxPlotPredict(),
umxPlotSexLim(),
umxPlotSimplex()
Examples
## Not run:
m1 = lm(mpg ~ wt, data = mtcars)
p = ggplot2::ggplot(data = mtcars, aes(x = wt, y = mpg))+ geom_point() +geom_smooth()+
ggAddR(m1, effect = NA, xloc=2, yloc= 10); p
## End(Not run)
Harmonic Mean
Description
The harmonic mean is the reciprocal of the arithmetic mean of the reciprocals of the input values. Common uses include computing the mean of ratios, for instance the average P/E ratio in a portfolio. Also it is the correct mean for averaging speeds weighted for distance.
Usage
harmonic_mean(x, weights = NULL, na.rm = c(TRUE, FALSE))
Arguments
x |
A vector of values to take the harmonic mean for |
weights |
Optional vector of weights. |
na.rm |
remove NAs (default = TRUE). |
Value
Harmonic mean of x
References
See Also
Other Miscellaneous Stats Functions:
FishersMethod(),
SE_from_p(),
geometric_mean(),
oddsratio(),
reliability(),
umx,
umxCov2cor(),
umxHetCor(),
umxParan(),
umxWeightedAIC(),
umx_apply(),
umx_cor(),
umx_means(),
umx_r_test(),
umx_round(),
umx_scale(),
umx_var()
Examples
# Harmonic means are suitable for ratios
tmp = c(33/1, 23/1)
harmonic_mean(tmp)
geometric_mean(tmp)
mean(tmp)
# Example with weights
harmonic_mean(c(33/1, 23/1), weights= c(.2, .8))
# If Jack travels outbound at 1 mph, and returns at 10 miles an hour, what is his average speed?
harmonic_mean(c(1,10)) # 1.81 mph
Install OpenMx, with choice of builds
Description
You can install OpenMx, including the latest NPSOL-enabled build of OpenMx. Options are:
"NPSOL": Install from our repository (default): This is where we maintain binaries supporting parallel processing and NPSOL.
"travis": Install the latest travis built (MacOS only).
"CRAN": Install from CRAN.
"open travis build page": Open the list of travis builds in a browser window.
Usage
install.OpenMx(
loc = c("NPSOL", "travis", "CRAN", "open travis build page", "UVa"),
url = NULL,
lib,
repos = getOption("repos")
)
Arguments
loc |
Version to get default is "NPSOL". "travis" (latest build),CRAN, list of builds. |
url |
Custom URL. On Mac, set this to "Finder" and the package selected in the Finder will be installed. |
lib |
Where to install the package. |
repos |
Which repository to use (ignored currently). |
Value
None
References
See Also
Other Miscellaneous Utility Functions:
libs(),
qm(),
umx,
umxLav2RAM(),
umxModelNames(),
umxRAM2Lav(),
umxVersion(),
umx_array_shift(),
umx_find_object(),
umx_lower.tri(),
umx_msg(),
umx_open_CRAN_page(),
umx_pad(),
umx_print(),
umx_wide2long(),
umx_wide4lmer()
Examples
## Not run:
install.OpenMx() # gets the NPSOL version
install.OpenMx("NPSOL") # gets the NPSOL version explicitly
install.OpenMx("CRAN") # Get the latest CRAN version
install.OpenMx("open travis build page") # Open web page of travis builds
## End(Not run)
Twin data: IQ measured longitudinally across 4 ages.
Description
Measures of IQ across four ages in 261 pairs of identical twins and 301 pairs of fraternal (DZ) twins. (see details). It is used as data for the [umxSimplex()] examples.
Usage
data(iqdat)
Format
A data frame with 562 rows (twin families). Nine measures on each twin.
Details
zygosity Zygosity (MZ or DZ)
IQ_age1_T1 T1 IQ measured at age 1
IQ_age2_T1 T1 IQ measured at age 2
IQ_age3_T1 T1 IQ measured at age 3
IQ_age4_T1 T1 IQ measured at age 4
IQ_age1_T2 T2 IQ measured at age 1
IQ_age2_T2 T2 IQ measured at age 2
IQ_age3_T2 T2 IQ measured at age 3
IQ_age4_T2 T2 IQ measured at age 4
References
Boomsma, D. I., Martin, N. G., & Molenaar, P. C. (1989). Factor and simplex models for repeated measures: application to two psychomotor measures of alcohol sensitivity in twins. *Behavior Genetics*, **19**, 79-96. Retrieved from <https://www.ncbi.nlm.nih.gov/pubmed/2712815>
See Also
[umxSimplex()]
Other datasets:
Fischbein_wt,
GFF,
docData,
umx,
us_skinfold_data
Examples
## Not run:
data(iqdat)
str(iqdat)
par(mfrow = c(1, 3)) # 1 rows and 3 columns
plot(IQ_age4_T1 ~ IQ_age4_T2, ylim = c(50, 150), data = subset(iqdat, zygosity == "MZ"))
plot(IQ_age4_T1 ~ IQ_age4_T2, ylim = c(50, 150), data = subset(iqdat, zygosity == "DZ"))
plot(IQ_age1_T1 ~ IQ_age4_T2, data = subset(iqdat, zygosity == "MZ"))
par(mfrow = c(1, 1)) # back to as it was
## End(Not run)
load libraries
Description
libs allows loading multiple libraries in one call
Usage
libs(..., force.update = FALSE)
Arguments
... |
library names as strings, e.g. "pwr" |
force.update |
install.package even if present (to get new version) FALSE |
Value
nothing.
See Also
Other Miscellaneous Utility Functions:
install.OpenMx(),
qm(),
umx,
umxLav2RAM(),
umxModelNames(),
umxRAM2Lav(),
umxVersion(),
umx_array_shift(),
umx_find_object(),
umx_lower.tri(),
umx_msg(),
umx_open_CRAN_page(),
umx_pad(),
umx_print(),
umx_wide2long(),
umx_wide4lmer()
Examples
## Not run:
libs("car")
libs(c("OpenMx", "car"))
libs(OpenMx, car)
remove.packages()
## End(Not run)
loadings Generic loadings function to extract factor loadings from exploratory or confirmatory factor analyses.
Description
See loadings.MxModel to access the loadings of OpenMx EFA models.
Usage
loadings(x, ...)
Arguments
x |
an object from which to get loadings |
... |
additional parameters |
Details
Base loadings handles factanal() objects.
Value
matrix of loadings
References
See Also
Other Reporting functions:
RMSEA(),
RMSEA.MxModel(),
RMSEA.summary.mxmodel(),
extractAIC.MxModel(),
loadings.MxModel(),
residuals.MxModel(),
tmx_show(),
tmx_show.MxMatrix(),
umxCI(),
umxCI_boot(),
umxConfint(),
umxExpCov(),
umxExpMeans(),
umxFitIndices(),
umxRotate()
Extract factor loadings from an EFA (factor analysis).
Description
loadings extracts the factor loadings from an EFA (factor analysis) model. It behaves equivalently to stats::loadings, returning the loadings from an EFA (factor analysis). However it does not store the rotation matrix.
Usage
## S3 method for class 'MxModel'
loadings(x, ...)
Arguments
x |
A RAM model from which to get loadings. |
... |
Other parameters (currently unused) |
Value
loadings matrix
References
See Also
Other Reporting functions:
RMSEA(),
RMSEA.MxModel(),
RMSEA.summary.mxmodel(),
extractAIC.MxModel(),
loadings(),
residuals.MxModel(),
tmx_show(),
tmx_show.MxMatrix(),
umxCI(),
umxCI_boot(),
umxConfint(),
umxExpCov(),
umxExpMeans(),
umxFitIndices(),
umxRotate()
Examples
## Not run:
myVars = c("mpg", "disp", "hp", "wt", "qsec")
m1 = umxEFA(name = "test", factors = 2, data = mtcars[, myVars])
loadings(m1)
## End(Not run)
Succinctly select complete rows from a dataframe
Description
Succinctly select complete rows from a dataframe.
Usage
noNAs(df, rows = NULL, cols = NULL, drop = TRUE)
Arguments
df |
an |
rows |
Rows to keep (optional, incomplete rows still discarded) |
cols |
Cols to keep |
drop |
Whether to return a vector when only 1 column is selected (default TRUE) |
Value
Complete rows and (optionally) selected columns
See Also
Other Data Functions:
prolific_anonymize(),
prolific_check_ID(),
prolific_read_demog(),
umx,
umxFactor(),
umxHetCor(),
umx_as_numeric(),
umx_cont_2_quantiles(),
umx_lower2full(),
umx_make_MR_data(),
umx_make_TwinData(),
umx_make_fake_data(),
umx_make_raw_from_cov(),
umx_merge_randomized_columns(),
umx_polychoric(),
umx_polypairwise(),
umx_polytriowise(),
umx_read_lower(),
umx_rename(),
umx_reorder(),
umx_score_scale(),
umx_select_valid(),
umx_stack(),
umx_strings2numeric()
Examples
tmp = mtcars
tmp[2,1] = NA
noNAs(tmp, cols="mpg")
noNAs(tmp, cols="mpg", drop = FALSE)
noNAs(tmp) # no Mazda RX4 Wag
Compute odds ratio (OR)
Description
Returns the odds in each group, and the odds ratio. Takes the cases (n) and total N as a list of two numbers for each of two groups.
Usage
oddsratio(grp1 = c(n = 3, N = 10), grp2 = c(n = 1, N = 10), alpha = 0.05)
Arguments
grp1 |
either odds for group 1, or cases and total N , e.g c(n=3, N=10) |
grp2 |
either odds for group 2, or cases and total N , e.g c(n=1, N=20) |
alpha |
for CI (default = 0.05) |
Details
Returns a list of odds1, odds2, and OR + CI. Has a pretty-printing method so displays as:
Group 1 odds = 0.43
Group 2 odds = 0.11
OR = 3.86 CI95[0.160, 3.64]
Value
List of odds in group 1 and group2, and the resulting OR and CI
References
See Also
Other Miscellaneous Stats Functions:
FishersMethod(),
SE_from_p(),
geometric_mean(),
harmonic_mean(),
reliability(),
umx,
umxCov2cor(),
umxHetCor(),
umxParan(),
umxWeightedAIC(),
umx_apply(),
umx_cor(),
umx_means(),
umx_r_test(),
umx_round(),
umx_scale(),
umx_var()
Examples
oddsratio(grp1 = c(1, 10), grp2 = c(3, 10))
oddsratio(grp1 = 0.111, grp2 = 0.429)
oddsratio(grp1 = c(3, 10), grp2 = c(1, 10))
oddsratio(grp1 = c(3, 10), grp2 = c(1, 10), alpha = .01)
Create and display a graphical path diagram for a LISREL model.
Description
plot.MxLISRELModel produces SEM diagrams using [DiagrammeR::DiagrammeR() to create the image.
Usage
## S3 method for class 'MxLISRELModel'
plot(
x = NA,
std = FALSE,
fixed = TRUE,
means = TRUE,
digits = 2,
file = "name",
labels = c("none", "labels", "both"),
resid = c("circle", "line", "none"),
strip_zero = TRUE,
...
)
Arguments
x |
A LISREL |
std |
Whether to standardize the model (default = FALSE). |
fixed |
Whether to show fixed paths (defaults to TRUE) |
means |
Whether to show means or not (default = TRUE) |
digits |
The number of decimal places to add to the path coefficients |
file |
The name of the dot file to write: NA = none; "name" = use the name of the model |
labels |
Whether to show labels on the paths. both will show both the parameter and the label. ("both", "none" or "labels") |
resid |
How to show residuals and variances default is "circle". Options are "line" & "none" |
strip_zero |
Whether to strip the leading "0" and decimal point from parameter estimates (default = TRUE) |
... |
Optional parameters |
Details
Note: By default, plots open in your browser (or plot pane if using RStudio).
Opening in an external editor/app
The underlying format is graphviz.
If you use umx_set_plot_format("graphviz"), figures will open in a graphviz helper app (if installed).
If you use graphviz, we try and use that app, but YOU HAVE TO INSTALL IT!
On MacOS, you may need to associate the ‘.gv’ extension with your graphviz app. Find the .gv file made by plot, get info (cmd-I), then choose “open with”, select graphviz.app (or OmniGraffle professional), then set “change all”.
The commercial application “OmniGraffle” is great for editing these images.
References
See Also
-
umx_set_plot_format(),umx_set_auto_plot(),umx_set_plot_format(),plot.MxModel(),umxPlotACE(),umxPlotCP(),umxPlotIP(),umxPlotGxE()
Other Plotting functions:
ggAddR(),
plot.MxModel(),
plot.MxModelTwinMaker(),
umx,
umxPlot(),
umxPlotACE(),
umxPlotACEcov(),
umxPlotACEv(),
umxPlotCP(),
umxPlotDoC(),
umxPlotFun(),
umxPlotGxE(),
umxPlotGxEbiv(),
umxPlotIP(),
umxPlotPredict(),
umxPlotSexLim(),
umxPlotSimplex()
Examples
# plot()
# TODO get LISREL example model
# Figure out how to map its matrices to plot. Don't do without establishing demand.
Create and display a graphical path diagram for a model.
Description
plot() produces SEM diagrams in graphviz format, and relies on DiagrammeR::DiagrammeR() to create the image.
Usage
## S3 method for class 'MxModel'
plot(
x = NA,
std = FALSE,
fixed = TRUE,
means = TRUE,
digits = 2,
file = "name",
labels = c("none", "labels", "both"),
resid = c("circle", "line", "none"),
strip_zero = FALSE,
splines = c("TRUE", "FALSE", "compound", "ortho", "polyline"),
min = NULL,
same = NULL,
max = NULL,
...
)
Arguments
x |
An |
std |
Whether to standardize the model (default = FALSE). |
fixed |
Whether to show fixed paths (defaults to TRUE) |
means |
Whether to show means or not (default = TRUE) |
digits |
The number of decimal places to add to the path coefficients |
file |
The name of the dot file to write: NA = none; "name" = use the name of the model |
labels |
Whether to show labels on the paths. "none", "labels", or "both" (parameter + label). |
resid |
How to show residuals and variances default is "circle". Options are "line" & "none" |
strip_zero |
Whether to strip the leading "0" and decimal point from parameter estimates (default = FALSE) |
splines |
Whether to allow lines to curve: defaults to "TRUE" (nb: some models look better with "FALSE") |
min |
optional list of objects to group at the top of the plot. Default (NULL) chooses automatically. |
same |
optional list of objects to group at the same rank in the plot. Default (NULL) chooses automatically. |
max |
optional list of objects to group at the bottom of the plot. Default (NULL) chooses automatically. |
... |
Optional parameters |
Details
Note: DiagrammeR::DiagrammeR() is supported out of the box. By default, plots open in your browser. Other options include pdf SVG etc.
If you use umx_set_plot_format("graphviz"), graphs will open in a graphviz helper app (if installed).
The commercial application “OmniGraffle” is great for editing these images.
On unix and windows, plot() will create a pdf and open it in your default pdf reader.
If you use graphviz, we try and use that app, but YOU HAVE TO INSTALL IT!
MacOS note: On Mac, we will try and open an app: you may need to associate the ‘.gv’ extension with the graphviz app. Find the .gv file made by plot, get info (cmd-I), then choose “open with”, select graphviz.app (or OmniGraffle professional), then set “change all”.
References
See Also
Other Plotting functions:
ggAddR(),
plot.MxLISRELModel(),
plot.MxModelTwinMaker(),
umx,
umxPlot(),
umxPlotACE(),
umxPlotACEcov(),
umxPlotACEv(),
umxPlotCP(),
umxPlotDoC(),
umxPlotFun(),
umxPlotGxE(),
umxPlotGxEbiv(),
umxPlotIP(),
umxPlotPredict(),
umxPlotSexLim(),
umxPlotSimplex()
Examples
## Not run:
require(umx)
data(demoOneFactor)
manifests = names(demoOneFactor)
m1 = umxRAM("One Factor", data = demoOneFactor, type = "cov",
umxPath("G", to = manifests),
umxPath(var = manifests),
umxPath(var = "G", fixedAt = 1)
)
plot(m1)
plot(m1, std = TRUE, resid = "line", digits = 3, strip_zero = FALSE)
# ============================================================
# = With a growth model, demonstrate splines= false to force =
# = straight lines, and move "rank" of intercept object =
# ============================================================
m1 = umxRAM("grow", data = myGrowthMixtureData,
umxPath(var = manifests, free = TRUE),
umxPath(means = manifests, fixedAt = 0),
umxPath(v.m. = c("int","slope")),
umxPath("int", with = "slope"),
umxPath("int", to = manifests, fixedAt = 1),
umxPath("slope", to = manifests, arrows = 1, fixedAt = c(0,1,2,3,4))
)
plot(m1, means=FALSE, strip=TRUE, splines="FALSE", max="int")
## End(Not run) # end dontrun
Create and display a graphical path diagram for a path-based twin model.
Description
Assumes the model has a group called "MZ" inside.
Usage
## S3 method for class 'MxModelTwinMaker'
plot(
x = NA,
std = FALSE,
fixed = TRUE,
means = TRUE,
oneTwin = TRUE,
sep = "_T",
digits = 2,
file = "name",
labels = c("none", "labels", "both"),
resid = c("circle", "line", "none"),
strip_zero = FALSE,
splines = TRUE,
min = NULL,
same = NULL,
max = NULL,
...
)
Arguments
x |
A |
std |
Whether to standardize the model (default = FALSE) |
fixed |
Whether to show fixed paths (defaults to TRUE) |
means |
Whether to show means or not (default = TRUE) |
oneTwin |
(whether to plot a pair of twins, or just one (default = TRUE) |
sep |
The separator for twin variables ("_T") |
digits |
The number of decimal places to add to the path coefficients |
file |
The name of the dot file to write: NA = none; "name" = use the name of the model |
labels |
Whether to show labels on the paths. "none", "labels", or "both" (parameter + label). |
resid |
How to show residuals and variances default is "circle". Options are "line" & "none" |
strip_zero |
Whether to strip the leading "0" and decimal point from parameter estimates (default = FALSE) |
splines |
Whether to allow lines to curve: defaults to TRUE (nb: some models look better with FALSE) |
min |
optional list of objects to group at the top of the plot. Default (NULL) chooses automatically. |
same |
optional list of objects to group at the same rank in the plot. Default (NULL) chooses automatically. |
max |
optional list of objects to group at the bottom of the plot. Default (NULL) chooses automatically. |
... |
Optional parameters |
Details
If you use umx_set_plot_format("graphviz"), they will open in a graphviz helper app (if installed).
The commercial application “OmniGraffle” is great for editing these images.
On unix and windows, plot() will create a pdf and open it in your default pdf reader.
See Also
Other Plotting functions:
ggAddR(),
plot.MxLISRELModel(),
plot.MxModel(),
umx,
umxPlot(),
umxPlotACE(),
umxPlotACEcov(),
umxPlotACEv(),
umxPlotCP(),
umxPlotDoC(),
umxPlotFun(),
umxPlotGxE(),
umxPlotGxEbiv(),
umxPlotIP(),
umxPlotPredict(),
umxPlotSexLim(),
umxPlotSimplex()
Examples
## Not run:
require(umx)
#
# =====================
# = Make an ACE model =
# =====================
# 1. Clean data: Add separator and scale
data(twinData)
tmp = umx_make_twin_data_nice(data=twinData, sep="", zygosity="zygosity", numbering=1:2)
tmp = umx_scale_wide_twin_data(varsToScale= c("wt", "ht"), sep= "_T", data= tmp)
mzData = subset(tmp, zygosity %in% c("MZFF", "MZMM"))
dzData = subset(tmp, zygosity %in% c("DZFF", "DZMM"))
# 2. Define paths: You only need the paths for one person:
paths = c(
umxPath(v1m0 = c("a1", 'c1', "e1")),
umxPath(means = c("wt")),
umxPath(c("a1", 'c1', "e1"), to = "wt", values=.2)
)
m1 = umxTwinMaker("test", paths, mzData = mzData, dzData= dzData)
plot(m1, std= TRUE, means= FALSE)
plot(m1, means=FALSE, std=TRUE, strip=TRUE, splines="FALSE", max="intercept")
## End(Not run) # end dontrun
# =================
# = An ACEv model =
# =================
# Not complete
paths = c(
umxPath(v1m0 = c("A1", 'C1', "E1")),
umxPath(v1m0 = c("A2", 'C2', "E2")),
umxPath(v.m0 = c("l1", 'l2')),
umxPath(v.m. = c("wt", "ht")),
umxPath(c("A1", 'C1', "E1"), to = "l1", values= .2),
umxPath(c("A2", 'C2', "E2"), to = "l2", values= .2),
umxPath(c("l1", 'l2'), to = c("wt", "ht"), values= .2)
)
Plot a percent change graph
Description
Plot method for "percent" objects: e.g. fin_percent().
Usage
## S3 method for class 'percent'
plot(x, ...)
Arguments
x |
percent object. |
... |
further arguments passed to or from other methods. |
Value
invisible
See Also
Examples
# Percent needed to return to original value after 10% off
fin_percent(-10)
# Percent needed to return to original value after 10% on
tmp = fin_percent(10)
plot(tmp)
# Percent needed to return to original value after 50% off 34.50
fin_percent(-50, value = 34.5, logY = FALSE)
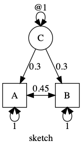
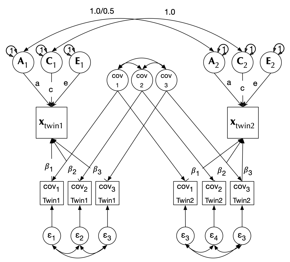
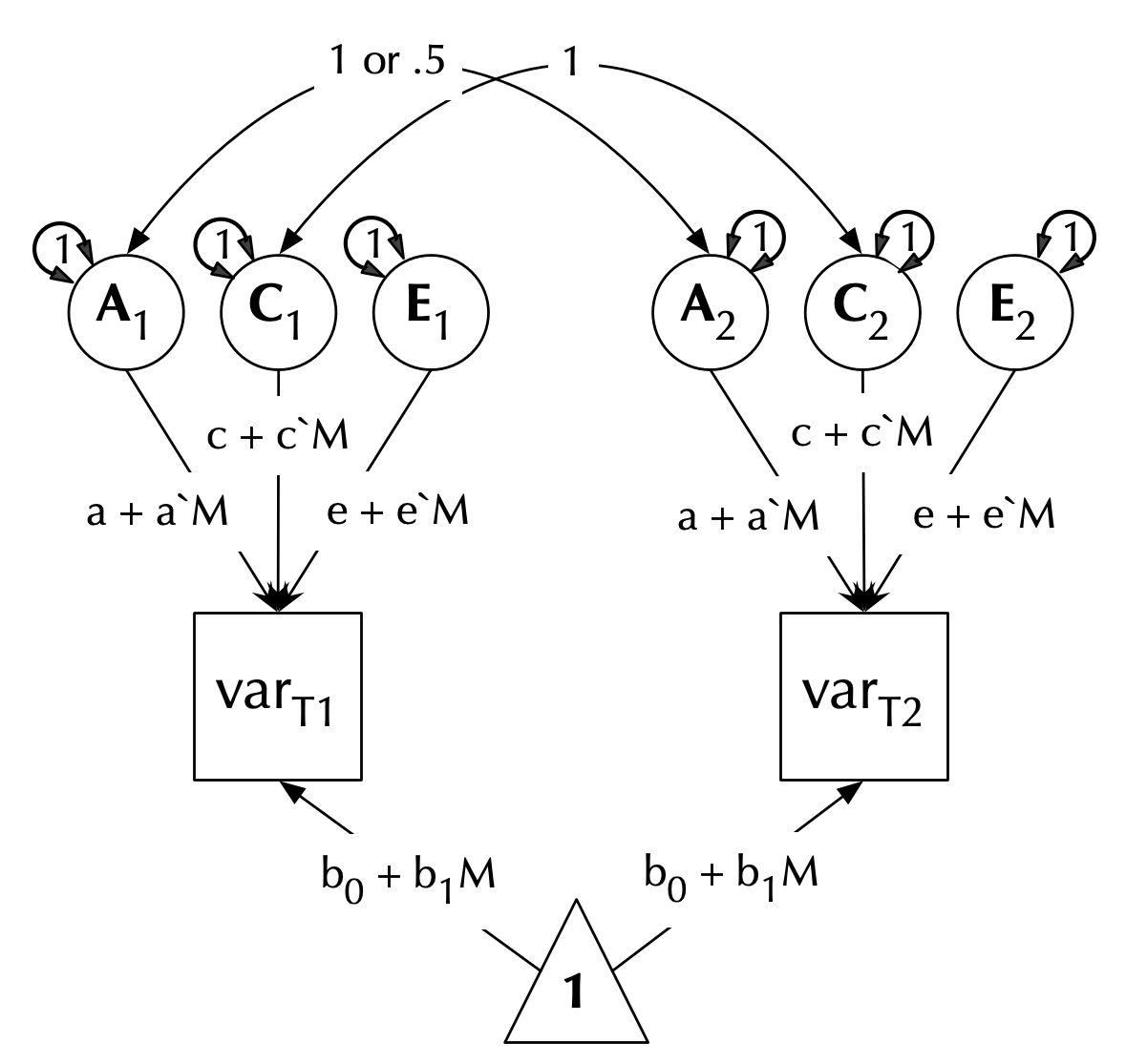
Test the power of an ACE model to detect paths of interest.
Description
power.ACE.test simulates a univariate ACE model. It
computes power to detect dropping one or more paths (a, c, or a after dropping c), specified in drop=.
The interface and functionality of this service are experimental and subject to change.
Usage
power.ACE.test(
AA = 0.5,
CC = 0,
EE = NULL,
DD = NULL,
update = c("a", "c", "a_after_dropping_c", "d"),
value = 0,
n = NULL,
MZ_DZ_ratio = 1,
sig.level = 0.05,
power = 0.8,
method = c("ncp", "empirical"),
search = FALSE,
tryHard = c("yes", "no", "ordinal", "search"),
digits = 2,
optimizer = NULL,
nSim = 4000
)
Arguments
AA |
Additive genetic variance (Default .5) |
CC |
Shared environment variance (Default 0) |
EE |
Unique environment variance. Leave NULL (default) to compute an amount summing to 1. |
DD |
Dominance Is set (default= NULL) compute an ADE rather than ACE model (DZr=.25) |
update |
Component to drop (Default "a", i.e., drop a) |
value |
Value to set dropped path to (Default 0) |
n |
If provided, solve at the given number of MZ+DZ pairs (Default NULL) |
MZ_DZ_ratio |
MZ pairs per DZ pair (Default 1 = equal numbers.) |
sig.level |
alpha (p-value) Default = 0.05 |
power |
Default = .8 (80 percent power, equal to 1 - Type II rate) |
method |
How to estimate power: Default = use non-centrality parameter ("ncp"). Alternative is "empirical" |
search |
Whether to return a search across power or just a point estimate (Default FALSE = point) |
tryHard |
Whether to tryHard to find a solution (default = "yes", alternatives are "no"...) |
digits |
Rounding for reporting parameters (default 2) |
optimizer |
If set, will switch the optimizer. |
nSim |
Total number of pairs to simulate in the models (default = 4000) |
Details
Statistical power is the proportion of studies that, over the long run, one should expect to yield a statistically
significant result given certain study characteristics such as sample size (N), the expected effect size (\beta),
and the criterion for statistical significance (\alpha).
(with nMZpairs= 2000 and MZ_DZ_ratio*nMZpairs DZ twins.
A typical target for power is 80%. Much as the accepted critical p-value is .05, this has emerged as a trade off, in this case of resources required for more powerful studies against the cost of missing a true effect. People interested in truth discourage running studies with low power: A study with 20 percent power will fail to detect real effects 80% of the time. But even with zero power, the Type-I error rate remains a nominal 5% (and with any researcher degrees of freedom, perhaps much more than that). Low powered research, then, fails to detect true effects, and generates support for random false theories about as often. This sounds silly, but empirical rates are often as low as 20% (Button, et al., 2013).
Illustration of \alpha, \beta, and power (1-\beta):
Value
OpenMx::mxPower() object
References
Visscher, P.M., Gordon, S., Neale, M.C. (2008). Power of the classical twin design revisited: II detection of common environmental variance. Twin Res Hum Genet, 11: 48-54. doi:10.1375/twin.11.1.48.
Button, K. S., Ioannidis, J. P., Mokrysz, C., Nosek, B. A., Flint, J., Robinson, E. S., and Munafo, M. R. (2013). Power failure: why small sample size undermines the reliability of neuroscience. Nature Reviews Neuroscience, 14, 365-376. doi:10.1038/nrn3475
See Also
Other Twin Modeling Functions:
umx,
umxACE(),
umxACEcov(),
umxACEv(),
umxCP(),
umxDiffMZ(),
umxDiscTwin(),
umxDoC(),
umxDoCp(),
umxGxE(),
umxGxE_window(),
umxGxEbiv(),
umxIP(),
umxMRDoC(),
umxReduce(),
umxReduceACE(),
umxReduceGxE(),
umxRotate.MxModelCP(),
umxSexLim(),
umxSimplex(),
umxSummarizeTwinData(),
umxSummaryACE(),
umxSummaryACEv(),
umxSummaryDoC(),
umxSummaryGxEbiv(),
umxSummarySexLim(),
umxSummarySimplex(),
umxTwinMaker()
Examples
# =====================================================
# = N for .8 power to detect a^2 = .5 equal MZ and DZ =
# =====================================================
power.ACE.test(AA = .5, CC = 0, update = "a")
# Suggests n = 84 MZ and 94 DZ pairs.
## Not run:
# ================================
# = Show power across range of N =
# ================================
power.ACE.test(AA= .5, CC= 0, update = "a", search = TRUE)
# Salutary note: You need well fitting models with correct betas in the data
# for power to be valid.
# tryHard helps ensure this, as does the default nSim= 4000 pair data.
# Power is important to get right, so I recommend using tryHard = "yes" (the default)
# =====================
# = Power to detect C =
# =====================
# 102 of each of MZ and DZ pairs for 80% power (default).
power.ACE.test(AA= .5, CC= .3, update = "c")
# ==========================================
# = Set 'a' to a fixed, but non-zero value =
# ==========================================
power.ACE.test(update= "a", value= sqrt(.2), AA= .5, CC= 0)
# ========================================
# = Drop More than one parameter (A & C) =
# ========================================
# E vs AE: the hypothesis that twins show no familial similarity.
power.ACE.test(update = "a_after_dropping_c", AA= .5, CC= .3)
# ===================================================
# = More power to detect A > 0 when more C present =
# ===================================================
power.ACE.test(update = "a", AA= .5, CC= .0)
power.ACE.test(update = "a", AA= .5, CC= .3)
# ====================================================
# = More power to detect C > 0 when more A present? =
# ====================================================
power.ACE.test(update = "c", AA= .0, CC= .5)
power.ACE.test(update = "c", AA= .3, CC= .5)
# ===================================
# = Power with more DZs or more MZs =
# ===================================
# Power about the same: total pairs with 2 MZs per DZ
power.ACE.test(MZ_DZ_ratio= 2/1, update= "a", AA= .3, CC= 0, method="ncp", tryHard="yes")
power.ACE.test(MZ_DZ_ratio= 1/2, update= "a", AA= .3, CC= 0, method="ncp", tryHard="yes")
power.ACE.test(update= "a", AA= .3, CC= 0, method="ncp", tryHard="yes")
# =====================================
# = Compare ncp and empirical methods =
# =====================================
power.ACE.test(update= "a", AA= .5, CC= 0, method = "ncp")
# method = "ncp": For 80% power, you need 166 MZ and 166 DZ pairs
power.ACE.test(update= "a", AA= .5, CC= 0, method= "empirical")
# method= "empirical": For 80% power, you need 154 MZ and 154 DZ pairs
# ====================
# = Show off options =
# ====================
# 1. tryHard
power.ACE.test(update = "a", AA= .5, CC= 0, tryHard= "no")
# 2. toggle optimizer
power.ACE.test(update= "a", AA= .5, CC= 0, optimizer= "SLSQP")
# 3. You can raise or lower the number of pairs used in the true model
# by varying nSim (twin pairs in the simulated data).
power.ACE.test(update = "a", AA= .5, CC= 0, nSim= 20)
## End(Not run)
Print a RMSEA object
Description
Print method for "RMSEA" objects: e.g. RMSEA().
Usage
## S3 method for class 'RMSEA'
print(x, ...)
Arguments
x |
RMSEA object. |
... |
further arguments passed to or from other methods. |
Value
invisible
See Also
Examples
## Not run:
data(demoOneFactor)
manifests = names(demoOneFactor)
m1 = umxRAM("One Factor", data = demoOneFactor, type= "cov",
umxPath("G", to = manifests),
umxPath(var = manifests),
umxPath(var = "G", fixedAt = 1.0)
)
tmp = summary(m1)
RMSEA(tmp)
## End(Not run)
Print a scale "oddsratio" object
Description
Print method for the oddsratio() function.
Usage
## S3 method for class 'oddsratio'
print(x, digits = 3, ...)
Arguments
x |
A |
digits |
The rounding precision. |
... |
further arguments passed to or from other methods. |
Value
invisible oddsratio object (x).
See Also
Examples
oddsratio(grp1 = c(1, 10), grp2 = c(3, 10))
oddsratio(grp1 = c(3, 10), grp2 = c(1, 10))
oddsratio(grp1 = c(3, 10), grp2 = c(1, 10), alpha = .01)
Print a percent object
Description
Print method for "percent" objects: e.g. fin_percent().
Usage
## S3 method for class 'percent'
print(x, ...)
Arguments
x |
percent object. |
... |
further arguments passed to or from other methods. |
Value
invisible
See Also
Examples
# Percent needed to return to original value after 10% off
fin_percent(-10)
# Percent needed to return to original value after 10% on
fin_percent(10)
# Percent needed to return to original value after 50% off 34.50
fin_percent(-50, value = 34.5)
Print a scale "reliability" object
Description
Print method for the reliability() function.
Usage
## S3 method for class 'reliability'
print(x, digits = 4, ...)
Arguments
x |
A |
digits |
The rounding precision. |
... |
further arguments passed to or from other methods |
Value
invisible reliability object (x)
See Also
Examples
# treat vehicle aspects as items of a test
data(mtcars)
reliability(cov(mtcars))
Clean up a prolific file for sharing by removing anonymity-compromising columns.
Description
prolific.ac IDs and other columns like IP and lat/long might compromise
subject anonymity when shared.
prolific_anonymize replaces PIDs with a simple numeric sequence, preserving
repeated measures in long data, and removing other columns.
You can delete additional columns by adding them to extraColumns. It is ideal for use
when sharing data to https://researchbox.org which enforces anonymization.
Usage
prolific_anonymize(
df = NULL,
PID = "PID",
alsoDrop = NA,
baseOffset = 10000,
extraColumns = "deprecated"
)
Arguments
df |
Existing datafile to anonymize. |
PID |
The prolific ID col name to anonymize |
alsoDrop |
Any extra columns to delete (default NA) |
baseOffset |
The numeric to start renumbering PIDs from (default = 1e4) |
extraColumns |
A deprecated synonym for alsoDrop |
Value
References
See Also
Other Data Functions:
noNAs(),
prolific_check_ID(),
prolific_read_demog(),
umx,
umxFactor(),
umxHetCor(),
umx_as_numeric(),
umx_cont_2_quantiles(),
umx_lower2full(),
umx_make_MR_data(),
umx_make_TwinData(),
umx_make_fake_data(),
umx_make_raw_from_cov(),
umx_merge_randomized_columns(),
umx_polychoric(),
umx_polypairwise(),
umx_polytriowise(),
umx_read_lower(),
umx_rename(),
umx_reorder(),
umx_score_scale(),
umx_select_valid(),
umx_stack(),
umx_strings2numeric()
Examples
## Not run:
tmp = prolific_anonymize(df, PID = "PID")
## End(Not run)
Return PIDs in df
Description
Participants may time-out on Prolific, but still complete on Qualtrics. This identifies them.
Usage
prolific_check_ID(IDs, df, IDcol = "PROLIFIC_PID")
Arguments
IDs |
Timed-out (or other) IDs to look for. |
df |
to search. |
IDcol |
Name of prolific ID column (default PROLIFIC_PID) |
Value
- list of IDs in the dataframe
See Also
- [prolific_read_demog()], [prolific_anonymize()], [umx_merge_randomized_columns()] # [prolific_check_ID()]
Other Data Functions:
noNAs(),
prolific_anonymize(),
prolific_read_demog(),
umx,
umxFactor(),
umxHetCor(),
umx_as_numeric(),
umx_cont_2_quantiles(),
umx_lower2full(),
umx_make_MR_data(),
umx_make_TwinData(),
umx_make_fake_data(),
umx_make_raw_from_cov(),
umx_merge_randomized_columns(),
umx_polychoric(),
umx_polypairwise(),
umx_polytriowise(),
umx_read_lower(),
umx_rename(),
umx_reorder(),
umx_score_scale(),
umx_select_valid(),
umx_stack(),
umx_strings2numeric()
Examples
# IDs = c("59d0ec2446447f00011edb063","5a08c9a7f2e3460001edb063f0254")
# prolific_check_ID(IDs, df)
Read and optionally merge demographics file from prolific academic
Description
prolific academic provides a demographics file. This reads it and merges with your data using PID and participant_id
Usage
prolific_read_demog(
file,
base = "",
df = NULL,
by.df = "PROLIFIC_PID",
by.demog = "Participant.id",
age = "age",
sex = "Gender",
vars = NULL,
all.df = TRUE,
all.demog = FALSE,
verbose = FALSE
)
Arguments
file |
Path to demographics file. |
base |
Optional path to folder, in which case 'file' is just filename. |
df |
Existing datafile to merge demographics into (optional) |
by.df |
The ID name in existing df (default = "PROLIFIC_PID") |
by.demog |
The ID name in the prolific demographics file (default = "Participant id" was |
age |
Name of age var in demographics file ("age") |
sex |
Name of sex var in demographics file ("Sex") |
vars |
Additional vars to keep from demographics file (WAS age & Sex) |
all.df |
Whether to keep all lines of df (default = TRUE) |
all.demog |
Whether to keep all lines (people) in the demographics file (default = FALSE) |
verbose |
Print variable names found in the file. |
Value
References
See Also
Other Data Functions:
noNAs(),
prolific_anonymize(),
prolific_check_ID(),
umx,
umxFactor(),
umxHetCor(),
umx_as_numeric(),
umx_cont_2_quantiles(),
umx_lower2full(),
umx_make_MR_data(),
umx_make_TwinData(),
umx_make_fake_data(),
umx_make_raw_from_cov(),
umx_merge_randomized_columns(),
umx_polychoric(),
umx_polypairwise(),
umx_polytriowise(),
umx_read_lower(),
umx_rename(),
umx_reorder(),
umx_score_scale(),
umx_select_valid(),
umx_stack(),
umx_strings2numeric()
Examples
## Not run:
fp = "~/Desktop/prolific_export_5f20c3e662e3b6407dcd37a5.csv"
df = prolific_read_demog(fp, sex = "Gender", age = "Age", df = df)
tmp = prolific_read_demog(fp, by.df = "PROLIFIC_PID", vars=c("Ethnicity.simplified"))
## End(Not run)
qm
Description
Quickmatrix function
Usage
qm(..., rowMarker = "|")
Arguments
... |
the components of your matrix |
rowMarker |
mark the end of each row |
Value
- matrix
See Also
Other Miscellaneous Utility Functions:
install.OpenMx(),
libs(),
umx,
umxLav2RAM(),
umxModelNames(),
umxRAM2Lav(),
umxVersion(),
umx_array_shift(),
umx_find_object(),
umx_lower.tri(),
umx_msg(),
umx_open_CRAN_page(),
umx_pad(),
umx_print(),
umx_wide2long(),
umx_wide4lmer()
Examples
# simple example
qm(0, 1 |
2, NA)
## Not run:
# clever example
M1 = M2 = diag(2)
qm(M1,c(4,5) | c(1,2),M2 | t(1:3))
## End(Not run)
Convert Radians to Degrees
Description
Just a helper to multiply radians by 180 and divide by \pi to get degrees.
note: R's trig functions, e.g. sin() use Radians for input!
There are 2\pi radians in a circle.
1 Rad = 180/\pi degrees = ~ 57.296 degrees.
Usage
rad2deg(rad)
Arguments
rad |
The value in Radians you wish to convert |
Value
value in degrees
References
https://en.wikipedia.org/wiki/Radian
See Also
Other Miscellaneous Functions:
deg2rad(),
fin_FIF(),
fin_JustifiedPE(),
fin_NI(),
fin_StockCAGR(),
fin_carryCost(),
fin_expected(),
fin_interest(),
fin_net_present_value(),
fin_option(),
fin_percent(),
fin_ticker(),
fin_valuation(),
umxBrownie()
Examples
rad2deg(pi) #180 degrees
Report coefficient alpha (reliability)
Description
Compute and report Coefficient alpha (extracted from Rcmdr to avoid its dependencies)
Usage
reliability(S)
Arguments
S |
A square, symmetric, numeric covariance matrix |
Value
None
References
- <https://cran.r-project.org/package=Rcmdr>
See Also
- [umx::print.reliability()],
Other Miscellaneous Stats Functions:
FishersMethod(),
SE_from_p(),
geometric_mean(),
harmonic_mean(),
oddsratio(),
umx,
umxCov2cor(),
umxHetCor(),
umxParan(),
umxWeightedAIC(),
umx_apply(),
umx_cor(),
umx_means(),
umx_r_test(),
umx_round(),
umx_scale(),
umx_var()
Examples
# treat car data as items of a test
data(mtcars)
reliability(cov(mtcars))
Get residuals from an MxModel
Description
Return the residuals() from an OpenMx RAM model. You can format these (with digits), and suppress small values.
Usage
## S3 method for class 'MxModel'
residuals(object, digits = 2, suppress = NULL, reorder = NULL, ...)
Arguments
object |
An fitted |
digits |
round to how many digits (default = 2) |
suppress |
smallest deviation to print out (default = NULL = show all) |
reorder |
optionally reorder the variables in the residuals matrix to show patterns |
... |
Optional parameters |
Value
matrix of residuals
References
See Also
Other Reporting functions:
RMSEA(),
RMSEA.MxModel(),
RMSEA.summary.mxmodel(),
extractAIC.MxModel(),
loadings(),
loadings.MxModel(),
tmx_show(),
tmx_show.MxMatrix(),
umxCI(),
umxCI_boot(),
umxConfint(),
umxExpCov(),
umxExpMeans(),
umxFitIndices(),
umxRotate()
Examples
## Not run:
require(umx)
data(demoOneFactor)
manifests = names(demoOneFactor)
m1 = umxRAM("One Factor", data = demoOneFactor, type = "cov",
umxPath("G", to = manifests),
umxPath(var = manifests),
umxPath(var = "G", fixedAt = 1.0)
)
# ===================================
# = Show the residuals of the model =
# ===================================
residuals(m1)
# | |x1 |x2 |x3 |x4 |x5 |
# |:--|:----|:-----|:----|:-----|:--|
# |x1 |. |. |0.01 |. |. |
# |x2 |. |. |0.01 |-0.01 |. |
# |x3 |0.01 |0.01 |. |. |. |
# |x4 |. |-0.01 |. |. |. |
# |x5 |. |. |. |. |. |
# [1] "nb: You can zoom in on bad values with, e.g. suppress = .01, which
# will hide values smaller than this. Use digits = to round"
residuals(m1, digits = 3)
residuals(m1, digits = 3, suppress = .005)
# residuals are returned as an invisible object you can capture in a variable
a = residuals(m1); a
## End(Not run)
Graphical display of genotypic effects.
Description
tmx_genotypic_effect allows you to explore the concept of genotypic effect at a locus. With it,
you can interactively explore the effects of allele frequency, additive variance, and
dominance.
This function lets you explore the simplest two–allele system (B and b), with three possible
genotypes, BB, Bb, and bb.
The point between the two homozygotes is m – the mean effect of the homozygous genotypes.
Parameter a is half the measured phenotypic difference between the homozygotes BB and bb.
It corresponds to the additive effect of each additional B allele, relative to the bb phenotype.
Parameter d is the deviation of the heterozygote Bb phenotype from the homozygote mid-point m.
It corresponds to the non-additive (dominance) effect of the B allele. The heterozygote phenotype
may lie on either side of m and the sign of d will vary accordingly.
Old system from book ed 2:
Adapted from Mather and Jinks, 1977, p. 32). See book issue old-style nomenclature https://github.com/tbates/BGBook/issues/23
u = Frequency of the dominant allele (now = p).
v = Frequency of the recessive allele (now = q).
m = midpoint between the two homozygotes
d = half the difference between the two homozygote (now a)
h = deviation of the heterozygote from m (now = d)
New system:
u and v -> p and q
d and h -> a and d
See BGBook issue 23
Usage
tmx_genotypic_effect(p = 0.75, q = (1 - p), a = 0.5, d = 0, m = 0, show = TRUE)
Arguments
p |
The frequency of the B allele (Default .5) |
q |
The frequency of the b allele (Default 1-p) |
a |
Half the difference between the two homozygote phenotypes (Default .5) |
d |
The deviation of the heterozygote from m (Default 0) |
m |
The value of the midpoint between the homozygotes (Default 0) |
show |
Whether to draw the plot or just return it (Default = TRUE) |
Value
optional plot
References
Neale, M. C. (2005). Quantitative Genetics. In Encyclopedia of Life Sciences. New York: John Wiley & Sons, Ltd. pdf
See Also
Other Teaching and testing Functions:
tmx_is.identified(),
umx
Examples
library(umx);
# =========================
# = Pure additivity: d= 0 =
# =========================
tmx_genotypic_effect(p = .5, a = 1, d = 0, m = 0, show = TRUE);
# =============================
# = Complete dominance: a=d=1 =
# =============================
tmx_genotypic_effect(p = .5, q =.5, a = 1, d = 1, m = 0, show = TRUE);
# ===========================
# = Over dominance: a< d =1 =
# ===========================
tmx_genotypic_effect(p = .5, q =.5, a =.5, d = 1, m = 0)
p = tmx_genotypic_effect(p = .5, q = .5, a = 1, d = .5, m = 0, show = TRUE);
# p = p + ggplot2::geom_point()
# p + ggplot2::geom_text(hjust = 0, nudge_x = 0.05, label= "x")
# ggsave(paste0(base, "c03_genotypic_effect_by_gene_dose.pdf"), width = 4.6, height = 4.6)
Test if a factor model is identified
Description
Test if a factor model is identified by establishing if the number of variables is equal too or grater than
the number of model parameters. See also OpenMx::mxCheckIdentification() for checking actual models.
Usage
tmx_is.identified(nVariables, nFactors)
Arguments
nVariables |
the number of variables measured. |
nFactors |
the number of factors posited. |
Value
Binary
References
See Also
Other Teaching and testing Functions:
tmx_genotypic_effect(),
umx
Examples
tmx_is.identified(nVariables = 2, nFactors = 1) # FALSE
tmx_is.identified(nVariables = 3, nFactors = 1) # TRUE
tmx_is.identified(nVariables = 4, nFactors = 2) # FALSE
tmx_is.identified(nVariables = 5, nFactors = 2) # TRUE
Show matrices of models in a easy-to-learn-from format.
Description
Show matrices of models in a easy-to-learn-from format.
Usage
tmx_show(
x,
what = c("values", "free", "labels", "nonzero_or_free"),
show = c("free", "fixed", "all"),
matrices = c("S", "A", "M"),
digits = 2,
report = c("html", "markdown"),
na.print = "",
zero.print = ".",
html_font = NULL,
style = c("paper", "material_dark", "classic", "classic_2", "minimal", "material"),
bootstrap_options = c("hover", "bordered", "condensed", "responsive"),
lightable_options = "striped",
freeColor = c("black", "#AAAAAA")
)
Arguments
x |
an object e.g. |
what |
legal options are "values" (default), "free", or "labels"). |
show |
filter on what to show c("all", "free", "fixed"). |
matrices |
to show (default is c("S", "A")). "thresholds" in beta. |
digits |
precision to report. Default = round to 2 decimal places. |
report |
How to report the results. "html" = open in browser. |
na.print |
How to display NAs (default = "") |
zero.print |
How to display 0 values (default = ".") |
html_font |
Default is null. Set (e.g. "Optima") to override the style's default font. |
style |
The style for the table (Defaults to "paper". Other options are "material_dark", "classic", "classic_2", "minimal", "material") |
bootstrap_options |
border etc. Defaults to c("hover", "bordered", "condensed", "responsive") |
lightable_options |
Default is "striped" |
freeColor |
Default is "black" for free, fixed is gray "#AAAAAA" |
Value
None
See Also
Other Reporting functions:
RMSEA(),
RMSEA.MxModel(),
RMSEA.summary.mxmodel(),
extractAIC.MxModel(),
loadings(),
loadings.MxModel(),
residuals.MxModel(),
tmx_show.MxMatrix(),
umxCI(),
umxCI_boot(),
umxConfint(),
umxExpCov(),
umxExpMeans(),
umxFitIndices(),
umxRotate()
Show matrices of models in a easy-to-learn-from format.
Description
Show matrices of models in a easy-to-learn-from format.
Usage
## S3 method for class 'MxMatrix'
tmx_show(
x,
what = c("values", "free", "labels", "nonzero_or_free"),
show = c("free", "fixed", "all"),
matrices = c("S", "A", "M"),
digits = 2,
report = c("html", "markdown"),
na.print = "",
zero.print = ".",
html_font = NULL,
style = c("paper", "material_dark", "classic", "classic_2", "minimal", "material"),
bootstrap_options = c("hover", "bordered", "condensed", "responsive"),
lightable_options = "striped",
freeColor = c("green", "red")
)
Arguments
x |
an object e.g. |
what |
legal options are "values" (default), "free", or "labels"). |
show |
filter on what to show c("all", "free", "fixed"). |
matrices |
to show (default is c("S", "A")). "thresholds" in beta. |
digits |
precision to report. Default = round to 2 decimal places. |
report |
How to report the results. "html" = open in browser. |
na.print |
How to display NAs (default = "") |
zero.print |
How to display 0 values (default = ".") |
html_font |
Default is null. Set (e.g. "Optima") to override the style's default font. |
style |
The style for the table (Defaults to "paper". Other options are "material_dark", "classic", "classic_2", "minimal", "material") |
bootstrap_options |
border etc. Defaults to c("hover", "bordered", "condensed", "responsive") |
lightable_options |
Default is "striped" |
freeColor |
Default is green free red fixed. |
Value
None
See Also
Other Reporting functions:
RMSEA(),
RMSEA.MxModel(),
RMSEA.summary.mxmodel(),
extractAIC.MxModel(),
loadings(),
loadings.MxModel(),
residuals.MxModel(),
tmx_show(),
umxCI(),
umxCI_boot(),
umxConfint(),
umxExpCov(),
umxExpMeans(),
umxFitIndices(),
umxRotate()
Examples
## Not run:
nameStr = c('x1', 'x2', 'g')
amat = mxMatrix(type='Full', name='demo', nrow=2, ncol=3,
values=c(0, 0, 1,
0, 0, 0),
labels=c(NA , NA, 'alice',
"bob", NA, 'bob'),
free=c(TRUE, FALSE, TRUE,
TRUE, TRUE , TRUE),
byrow=TRUE, dimnames=list(nameStr[1:2], nameStr)
)
amat
tmx_show(amat, freeColor = c("green","red")) #green=#26D71E red=#D7261E
tmx_show(amat, report = "markdown")
tmx_show(amat, "labels", report = "markdown")
tmx_show(amat, "labels", report = "markdown", show= "all")
tmx_show(amat, na.print = "NA")
tmx_show(amat, zero.print = "0.00", freeColor = c("green","red"))
tmx_show(amat, style = "classic_2")
tmx_show(amat, lightable_options = "hover")
## End(Not run)
Show matrices of RAM models in a easy-to-learn-from format.
Description
A great way to learn about models is to look at the matrix contents. tmx_show is designed to
do this in a way that makes it easy to process for users: The matrix contents are formatted as
tables, and can even be displayed as tables in a web browser.
Usage
## S3 method for class 'MxModel'
tmx_show(
x,
what = c("values", "free", "labels", "nonzero_or_free"),
show = c("free", "fixed", "all"),
matrices = c("S", "A", "M"),
digits = 2,
report = c("html", "markdown"),
na.print = "",
zero.print = ".",
html_font = NULL,
style = c("paper", "material_dark", "classic", "classic_2", "minimal", "material"),
bootstrap_options = c("hover", "bordered", "condensed", "responsive"),
lightable_options = "striped",
freeColor = c("black", "#AAAAAA")
)
Arguments
x |
an object e.g. |
what |
legal options are "values" (default), "free", or "labels"). |
show |
filter on what to show c("all", "free", "fixed"). |
matrices |
to show (default is c("S", "A")). "thresholds" in beta. |
digits |
precision to report. Default = round to 2 decimal places. |
report |
How to report the results. "html" = open in browser. |
na.print |
How to display NAs (default = "") |
zero.print |
How to display 0 values (default = ".") |
html_font |
Default is null. Set (e.g. "Optima") to override the style's default font. |
style |
The style for the table (Defaults to "paper". Other options are "material_dark", "classic", "classic_2", "minimal", "material") |
bootstrap_options |
border etc. Defaults to c("hover", "bordered", "condensed", "responsive") |
lightable_options |
Default is "striped" |
freeColor |
Default is "black" for free, fixed is gray "#AAAAAA" |
Details
The user can select which matrices to view, whether to show values, free, and/or labels, and the precision of rounding.
Value
None
References
See Also
Other Teaching and Testing functions:
umxDiagnose(),
umxPower()
Examples
## Not run:
require(umx)
data(demoOneFactor)
manifests = names(demoOneFactor)
m1 = umxRAM("tmx_sh", data = demoOneFactor, type = "cov",
umxPath("G", to = manifests),
umxPath(var = manifests),
umxPath(var = "G", fixedAt = 1)
)
# =============================================
# = Show smart table on the web (the default) =
# =============================================
tmx_show(m1, report = "html")
tmx_show(m1, what = "free", matrices = "thresholds")
tmx_show(m1, zero.print = "-")
tmx_show(m1, report = "markdown")
tmx_show(m1, digits = 3, report = "markdown")
tmx_show(m1, matrices = "S", report = "markdown")
tmx_show(m1, what = "free" , report = "markdown")
tmx_show(m1, what = "labels", report = "markdown")
tmx_show(m1, what = "free", matrices = "A", report= "markdown")
## End(Not run)
Deprecated. May already stop() code and ask to be updated. May be dropped entirely in future.
Description
xmuMakeThresholdsMatrices should be replaced with umxThresholdMatrix()
umxTryHard is deprecated: use umxRun() instead
stringToMxAlgebra is deprecated: please use umx_string_to_algebra() instead
genEpi_EvalQuote is deprecated: please use OpenMx::mxEvalByName() instead
umxReportCIs is deprecated: please use umxCI() instead
replace umxReportFit with umxSummary()
Replace umxGraph_RAM with plot()
Replace tryHard with OpenMx::mxTryHard()
Replace standardizeRAM with umx_standardize()
Arguments
... |
the old function's parameters (now stripped out to avoid telling people how to do it the wrong way :-) |
References
Build and run a 2-group Cholesky ACE twin model (univariate or multivariate)
Description
Implementing a core task in twin modeling, umxACE models the genetic and environmental structure of one or more phenotypes (measured variables) using the Cholesky ACE model (Neale and Cardon, 1996).
Classical twin modeling uses the genetic and environmental differences among pairs of mono-zygotic (MZ) and di-zygotic (DZ) twins reared together.
umxACE implements a 2-group model to capture these data and represent the phenotypic variance as a sum of Additive genetic,
unique environmental (E) and, optionally, either common or shared-environment (C) or
non-additive genetic effects (D).
The following figure shows the ACE model for one variable "x" as a path diagram:
umxACE allows multivariate analyses, and this brings us to the Cholesky part of the model.
The Cholesky decomposition creates as many latent A (and C and E) latent variables as there are phenotypes, and, moving from left to right, decomposes the variance in each phenotype into successively restricted factors. The following figure shows the multivariate ACE model for three variables:
In this ACE model of three phenotypes, the expected variance-covariance matrix of the original data
is the product of each lower Cholesky and its transform (i.e., A = a %*% t(a) summed for A+C+E.
This lower-triangle decomposition feature of the Cholesky yields a model which is certain to both account for all the variance (with some restrictions) in the data and be solvable.
This figure also contains the key to understanding how to modify models that umxACE produces
using umxModify() to drop paths by label like "a_r1c1". n.b.: Read the "Matrices and Labels in ACE model" section in details below...
NOTE: Scroll down to details for how to use the function, a figure and multiple examples.
Usage
umxACE(
name = "ACE",
selDVs,
selCovs = NULL,
dzData = NULL,
mzData = NULL,
sep = NULL,
data = NULL,
zyg = "zygosity",
type = c("Auto", "FIML", "cov", "cor", "WLS", "DWLS", "ULS"),
numObsDZ = NULL,
numObsMZ = NULL,
boundDiag = 0,
allContinuousMethod = c("cumulants", "marginals"),
autoRun = getOption("umx_auto_run"),
intervals = FALSE,
tryHard = c("no", "yes", "ordinal", "search"),
optimizer = NULL,
residualizeContinuousVars = FALSE,
nSib = 2,
dzAr = 0.5,
dzCr = 1,
weightVar = NULL,
equateMeans = TRUE,
addStd = TRUE,
addCI = TRUE
)
Arguments
name |
The name of the model (defaults to"ACE"). |
selDVs |
The variables to include from the data: preferably, just "dep" not c("dep_T1", "dep_T2"). |
selCovs |
(optional) covariates to include from the data (do not include sep in names) |
dzData |
The DZ dataframe. |
mzData |
The MZ dataframe. |
sep |
The separator in twin variable names, often "_T", e.g. "dep_T1". Simplifies selDVs. |
data |
If provided, dzData and mzData are treated as levels of zyg to select() MZ and DZ data sets (default = NULL) |
zyg |
If data provided, this column is used to select rows by zygosity (Default = "zygosity") |
type |
Analysis method one of c("Auto", "FIML", "cov", "cor", "WLS", "DWLS", "ULS") |
numObsDZ |
Number of DZ twins: Set this if you input covariance data. |
numObsMZ |
Number of MZ twins: Set this if you input covariance data. |
boundDiag |
Numeric lbound for diagonal of the a, c, and e matrices. Defaults to 0 since umx version 1.8 |
allContinuousMethod |
"cumulants" or "marginals". Used in all-continuous WLS data to determine if a means model needed. |
autoRun |
Whether to run the model (default), or just to create it and return without running. |
intervals |
Whether to run mxCI confidence intervals (default = FALSE) |
tryHard |
Default ('no') uses normal mxRun. "yes" uses mxTryHard. Other options: "ordinal", "search" |
optimizer |
Optionally set the optimizer (default NULL does nothing). |
residualizeContinuousVars |
Not yet implemented. |
nSib |
Number of siblings in a family (default - 2). "3" = extra sib. |
dzAr |
The DZ genetic correlation (defaults to .5, vary to examine assortative mating). |
dzCr |
The DZ "C" correlation (defaults to 1: set to .25 to make an ADE model). |
weightVar |
If provided, a vector objective will be used to weight the data. (default = NULL). |
equateMeans |
Whether to equate the means across twins (defaults to TRUE). |
addStd |
Whether to add the algebras to compute a std model (defaults to TRUE). |
addCI |
Whether to add intervals to compute CIs (defaults to TRUE). |
Details
Covariates
umxACE handles covariates by modelling them in the means.
On the plus side, there is no distributional assumption for this method. A downside of this approach is that all
covariates must be non-NA, thus dropping any rows where one or more covariates are missing.
This can waste data. See also umx_residualize()).
Data Input The function flexibly accepts raw data, and also summary covariance data (in which case the user must also supple numbers of observations for the two input data sets).
The type parameter can select how you want the model data treated.
"FIML" is the normal treatment. "cov" and "cor" will turn raw data into cor data for analysis, or
check that you've provided cor data as input.
Types "WLS", "DWLS", and "ULS" will process raw data into WLS data of these types.
The default, "Auto" will treat data as the type they are provided as.
Ordinal Data In an important capability, the model transparently handles ordinal (binary or multi-level ordered factor data) inputs, and can handle mixtures of continuous, binary, and ordinal data in any combination. An experimental feature is under development to allow Tobit modeling.
The function also supports weighting of individual data rows. In this case, the model is estimated for each row individually, then each row likelihood is multiplied by its weight, and these weighted likelihoods summed to form the model-likelihood, which is to be minimized. This feature is used in the non-linear GxE model functions.
Additional features The umxACE function supports varying the DZ genetic association (defaulting to .5) to allow exploring assortative mating effects, as well as varying the DZ “C” factor from 1 (the default for modeling family-level effects shared 100% by twins in a pair), to .25 to model dominance effects.
Matrices and Labels in ACE model
Matrices 'a', 'c', and 'e' contain the path loadings of the Cholesky ACE factor model.
So, labels relevant to modifying the model are of the form "a_r1c1", "c_r1c1" etc.
Variables are in rows, and factors are in columns. So to drop the influence of factor 2 on variable 3, you would say:
m2 = umxModify(m1, update = "c_r3c2")
Less commonly-modified matrices are the mean matrix expMean. This has 1 row, and the columns are laid out for
each variable for twin 1, followed by each variable for twin 2.
So, in a model where the means for twin 1 and twin 2 had been equated (set = to T1), you could make them independent again with this script:
m1$top$expMean$labels[1, 4:6] = c("expMean_r1c4", "expMean_r1c5", "expMean_r1c6")
note: Only one of C or D may be estimated simultaneously. This restriction reflects the lack of degrees of freedom to simultaneously model C and D with only MZ and DZ twin pairs (Eaves et al. 1978, p267).
Value
-
OpenMx::mxModel()of subclass mxModel.ACE
References
Eaves, L. J., Last, K. A., Young, P. A., & Martin, N. G. (1978). Model-fitting approaches to the analysis of human behaviour. Heredity, 41, 249-320. doi:10.1038/hdy.1978.101
See Also
Other Twin Modeling Functions:
power.ACE.test(),
umx,
umxACEcov(),
umxACEv(),
umxCP(),
umxDiffMZ(),
umxDiscTwin(),
umxDoC(),
umxDoCp(),
umxGxE(),
umxGxE_window(),
umxGxEbiv(),
umxIP(),
umxMRDoC(),
umxReduce(),
umxReduceACE(),
umxReduceGxE(),
umxRotate.MxModelCP(),
umxSexLim(),
umxSimplex(),
umxSummarizeTwinData(),
umxSummaryACE(),
umxSummaryACEv(),
umxSummaryDoC(),
umxSummaryGxEbiv(),
umxSummarySexLim(),
umxSummarySimplex(),
umxTwinMaker()
Examples
require(umx)
# ============================
# = How heritable is height? =
# ============================
# 1. Height in meters has a tiny variance, and this makes optimising hard.
# We'll scale it by 10x to make the Optimizer's task easier.
data(twinData) # ?twinData from Australian twins.
twinData[, c("ht1", "ht2")] = twinData[, c("ht1", "ht2")] * 10
# 2. Make mz & dz data.frames (no need to select variables: umx will do this)
mzData = twinData[twinData$zygosity %in% "MZFF", ]
dzData = twinData[twinData$zygosity %in% "DZFF", ]
# 3. Built & run the model, controlling for age in the means model
m1 = umxACE(selDVs = "ht", selCovs = "age", sep = "", dzData = dzData, mzData = mzData)
# sidebar: umxACE figures out variable names using sep:
# e.g. selVars = "wt" + sep= "_T" -> "wt_T1" "wt_T2"
umxSummary(m1, std = FALSE) # un-standardized
# tip 1: set report = "html" and umxSummary prints the table to your browser!
# tip 2: plot works for umx: Get a figure of the model and parameters
# plot(m1) # Also, look at the options for ?plot.MxModel.
# ===========================================
# = Test ADE, AE, CE, E, and generate table =
# ===========================================
umxReduce(m1, report="html", silent= TRUE)
# ============================
# = Model, with 2 covariates =
# ============================
# Create another covariate: cohort
twinData$cohort1 = twinData$cohort2 =twinData$part
mzData = twinData[twinData$zygosity %in% "MZFF", ]
dzData = twinData[twinData$zygosity %in% "DZFF", ]
# 1. def var approach
m2 = umxACE(selDVs = "ht", selCovs = c("age", "cohort"), sep = "", dzData = dzData, mzData = mzData)
# 2. Residualized approach: remove height variance accounted-for by age.
FFdata = twinData[twinData$zygosity %in% c("MZFF", "DZFF"), ]
FFdata = umx_residualize("ht", "age", suffixes = 1:2, data = FFdata)
mzData = FFdata[FFdata$zygosity %in% "MZFF", ]
dzData = FFdata[FFdata$zygosity %in% "DZFF", ]
m3 = umxACE(selDVs = "ht", sep = "", dzData = dzData, mzData = mzData)
# =============================================================
# = ADE: Evidence for dominance ? (DZ correlation set to .25) =
# =============================================================
m2 = umxACE(selDVs = "ht", sep = "", dzData = dzData, mzData = mzData, dzCr = .25)
umxCompare(m2, m1) # ADE is better
umxSummary(m2, comparison = m1)
# nb: Although summary is smart enough to print d, the underlying
# matrices are still called a, c & e.
# tip: try umxReduce(m1) to automatically build and compare ACE, ADE, AE, CE
# including conditional probabilities!
# ===================================================
# = WLS example using diagonal weight least squares =
# ===================================================
m3 = umxACE(selDVs = "ht", sep = "", dzData = dzData, mzData = mzData,
type = "DWLS", allContinuousMethod='marginals'
)
# ==============================
# = Univariate model of weight =
# ==============================
# Things to note:
# 1. Weight has a large variance, and this makes solution finding very hard.
# Here, we residualize the data for age, which also scales weight and height.
data(twinData)
tmp = umx_residualize(c("wt", "ht"), cov = "age", suffixes= c(1, 2), data = twinData)
mzData = tmp[tmp$zygosity %in% "MZFF", ]
dzData = tmp[tmp$zygosity %in% "DZFF", ]
# tip: You might also want transform variables
# tmp = twinData$wt1[!is.na(twinData$wt1)]
# car::powerTransform(tmp, family="bcPower"); hist(tmp^-0.6848438)
# twinData$wt1 = twinData$wt1^-0.6848438
# twinData$wt2 = twinData$wt2^-0.6848438
# 4. note: the default boundDiag = 0 lower-bounds a, c, and e at 0.
# Prevents mirror-solutions. If not desired: set boundDiag = NULL.
m2 = umxACE(selDVs = "wt", dzData = dzData, mzData = mzData, sep = "", boundDiag = NULL)
# A short cut (which is even shorter for "_T" twin data with "MZ"/"DZ" data in zygosity column is:
m1 = umxACE(selDVs = "wt", sep = "", data = twinData,
dzData = c("DZMM", "DZFF", "DZOS"), mzData = c("MZMM", "MZFF"))
# | | a1|c1 | e1|
# |:--|----:|:--|----:|
# |wt | 0.93|. | 0.38|
# tip: umx_make_twin_data_nice() will make data into this nice format for you!
# ======================
# = MODEL MODIFICATION =
# ======================
# We can modify this model, e.g. test shared environment.
# Set comparison to modify, and show effect in one step.
m2 = umxModify(m1, update = "c_r1c1", name = "no_C", comparison = TRUE)
#*tip* call umxModify(m1) with no parameters, and it will print the labels available to fix!
# nb: You can see parameters of any model with parameters(m1)
# =========================================================
# = Well done! Now you can make modify twin models in umx =
# =========================================================
# =====================================
# = Bivariate height and weight model =
# =====================================
data(twinData)
# We'll scale height (ht1 and ht2) and weight
twinData = umx_scale_wide_twin_data(data = twinData, varsToScale = c("ht", "wt"), sep = "")
mzData = twinData[twinData$zygosity %in% c("MZFF", "MZMM"),]
dzData = twinData[twinData$zygosity %in% c("DZFF", "DZMM", "DZOS"), ]
m1 = umxACE(selDVs = c("ht", "wt"), sep = '', dzData = dzData, mzData = mzData)
umxSummary(m1)
# ===================
# = Ordinal example =
# ===================
# Prep data
require(umx)
data(twinData)
# Cut BMI column to form ordinal obesity variables
obLevels = c('normal', 'overweight', 'obese')
cuts = quantile(twinData[, "bmi1"], probs = c(.5, .2), na.rm = TRUE)
twinData$obese1=cut(twinData$bmi1, breaks=c(-Inf,cuts,Inf), labels=obLevels)
twinData$obese2=cut(twinData$bmi2, breaks=c(-Inf,cuts,Inf), labels=obLevels)
# Make the ordinal variables into umxFactors
ordDVs = c("obese1", "obese2")
twinData[, ordDVs] = umxFactor(twinData[, ordDVs])
mzData = twinData[twinData$zygosity %in% "MZFF", ]
dzData = twinData[twinData$zygosity %in% "DZFF", ]
# Model and summary!
m1 = umxACE(selDVs = "obese", dzData = dzData, mzData = mzData, sep = '')
# And controlling age (otherwise manifests appearance as latent C)
m1 = umxACE(selDVs = "obese", selCov= "age", dzData = dzData, mzData = mzData, sep = '')
# umxSummary(m1)
# ============================================
# = Bivariate continuous and ordinal example =
# ============================================
data(twinData)
twinData= umx_scale_wide_twin_data(data=twinData,varsToScale="wt",sep= "")
# Cut BMI column to form ordinal obesity variables
obLevels = c('normal', 'overweight', 'obese')
cuts = quantile(twinData[, "bmi1"], probs = c(.5, .2), na.rm = TRUE)
twinData$obese1=cut(twinData$bmi1,breaks=c(-Inf,cuts,Inf),labels=obLevels)
twinData$obese2=cut(twinData$bmi2,breaks=c(-Inf,cuts,Inf),labels=obLevels)
# Make the ordinal variables into mxFactors
ordDVs = c("obese1", "obese2")
twinData[, ordDVs] = umxFactor(twinData[, ordDVs])
mzData = twinData[twinData$zygosity %in% "MZFF",]
dzData = twinData[twinData$zygosity %in% "DZFF",]
mzData = mzData[1:80,] # just top 80 so example runs in a couple of secs
dzData = dzData[1:80,]
m1 = umxACE(selDVs= c("wt","obese"), dzData= dzData, mzData= mzData, sep='')
# And controlling age
m1 = umxACE(selDVs = c("wt","obese"), selCov= "age", dzData = dzData, mzData = mzData, sep = '')
# =======================================
# = Mixed continuous and binary example =
# =======================================
require(umx)
data(twinData)
twinData= umx_scale_wide_twin_data(data= twinData,varsToScale= "wt", sep="")
# Cut to form category of 20% obese subjects
# and make into mxFactors (ensure ordered is TRUE, and require levels)
obLevels = c('normal', 'obese')
cuts = quantile(twinData[, "bmi1"], probs = .2, na.rm = TRUE)
twinData$obese1= cut(twinData$bmi1, breaks=c(-Inf,cuts,Inf), labels=obLevels)
twinData$obese2= cut(twinData$bmi2, breaks=c(-Inf,cuts,Inf), labels=obLevels)
ordDVs = c("obese1", "obese2")
twinData[, ordDVs] = umxFactor(twinData[, ordDVs])
selDVs = c("wt", "obese")
mzData = twinData[twinData$zygosity %in% "MZFF",]
dzData = twinData[twinData$zygosity %in% "DZFF",]
m1 = umxACE(selDVs = selDVs, dzData = dzData, mzData = mzData, sep = '')
umxSummary(m1)
# ==============
# = Two binary =
# ==============
require(umx)
data(twinData)
htLevels = c('short', 'tall')
obLevels = c('normal', 'obese')
cuts = quantile(twinData[, "bmi1"], probs = .2, na.rm = TRUE)
twinData$obese1= cut(twinData$bmi1, breaks=c(-Inf,cuts,Inf), labels=obLevels)
twinData$obese2= cut(twinData$bmi2, breaks=c(-Inf,cuts,Inf), labels=obLevels)
ordDVs = c("obese1", "obese2")
twinData[, ordDVs] = umxFactor(twinData[, ordDVs])
twinData$short1 = cut(twinData$ht1, breaks=c(-Inf,1.6,Inf), labels=htLevels)
twinData$short2 = cut(twinData$ht2, breaks=c(-Inf,1.6,Inf), labels=htLevels)
ordDVs = c("short1", "short2")
twinData[, ordDVs] = umxFactor(twinData[, ordDVs])
mzData = twinData[twinData$zygosity %in% "MZFF",]
dzData = twinData[twinData$zygosity %in% "DZFF",]
m1 = umxACE(selDVs = c("short", "obese"), dzData = dzData, mzData = mzData, sep = '')
# ===================================
# Example with covariance data only =
# ===================================
require(umx)
data(twinData)
twinData= umx_scale_wide_twin_data(data=twinData, varsToScale= "wt", sep="")
selDVs = c("wt1", "wt2")
mz = cov(twinData[twinData$zygosity %in% "MZFF", selDVs], use = "complete")
dz = cov(twinData[twinData$zygosity %in% "DZFF", selDVs], use = "complete")
m1 = umxACE(selDVs=selDVs, dzData=dz, mzData=mz, numObsDZ=569, numObsMZ=351)
umxSummary(m1)
plot(m1)
Run a Cholesky with covariates that are random (in the expected covariance matrix)
Description
Often, researchers include covariates in 2-group Cholesky umxACE() twin models.
The umxACEcov 'random' option models the covariates in the expected covariance matrix, thus allowing
all data to be preserved. The downside is that this method has a strong assumption
of multivariate normality. Covariates like age, which are perfectly correlated in twins cannot be used.
Covariates like sex, which are ordinal, violate the normality assumption.
Binary and ordinal covariates like sex also violate the normality assumption. Which is most of the use cases :-(.
Usage
umxACEcov(
name = "ACEcov",
selDVs,
selCovs,
dzData,
mzData,
sep = NULL,
type = c("Auto", "FIML", "cov", "cor", "WLS", "DWLS", "ULS"),
allContinuousMethod = c("cumulants", "marginals"),
dzAr = 0.5,
dzCr = 1,
addStd = TRUE,
addCI = TRUE,
boundDiag = 0,
equateMeans = TRUE,
bVector = FALSE,
autoRun = getOption("umx_auto_run"),
tryHard = c("no", "yes", "ordinal", "search"),
optimizer = NULL
)
Arguments
name |
The name of the model (defaults to"ACE"). |
selDVs |
The variables to include from the data (do not include sep). |
selCovs |
The covariates to include from the data (do not include sep). |
dzData |
The DZ dataframe. |
mzData |
The MZ dataframe. |
sep |
Separator text between basename for twin variable names. Often "_T". Used to expand selDVs into full column names, i.e., "dep" –> c("dep_T1", "dep_T2"). |
type |
Analysis method one of c("Auto", "FIML", "cov", "cor", "WLS", "DWLS", "ULS") |
allContinuousMethod |
"cumulants" or "marginals". Used in all-continuous WLS data to determine if a means model needed. |
dzAr |
The DZ genetic correlation (defaults to .5, vary to examine assortative mating). |
dzCr |
The DZ "C" correlation (defaults to 1: set to .25 to make an ADE model). |
addStd |
Whether to add the algebras to compute a std model (defaults to TRUE). |
addCI |
Whether to add intervals to compute CIs (defaults to TRUE). |
boundDiag |
= Whether to bound the diagonal of the a, c, and e matrices. |
equateMeans |
Whether to equate the means across twins (defaults to TRUE). |
bVector |
Whether to compute row-wise likelihoods (defaults to FALSE). |
autoRun |
Whether to run the model (default), or just to create it and return without running. |
tryHard |
Default ('no') uses normal mxRun. "yes" uses mxTryHard. Other options: "ordinal", "search" |
optimizer |
optionally set the optimizer. Default (NULL) does nothing. |
Details
The following figure shows how the ACE model with random covariates appears as a path diagram:
Value
-
OpenMx::mxModel()of subclass mxModel.ACEcov
References
Neale, M. C., & Martin, N. G. (1989). The effects of age, sex, and genotype on self-report drunkenness following a challenge dose of alcohol. Behavior Genetics, 19, 63-78. doi:10.1007/BF01065884.
Schwabe, I., Boomsma, D. I., Zeeuw, E. L., & Berg, S. M. (2015). A New Approach to Handle Missing Covariate Data in Twin Research : With an Application to Educational Achievement Data. Behavior Genetics, 46, 583-95. doi:10.1007/s10519-015-9771-1.
See Also
Other Twin Modeling Functions:
power.ACE.test(),
umx,
umxACE(),
umxACEv(),
umxCP(),
umxDiffMZ(),
umxDiscTwin(),
umxDoC(),
umxDoCp(),
umxGxE(),
umxGxE_window(),
umxGxEbiv(),
umxIP(),
umxMRDoC(),
umxReduce(),
umxReduceACE(),
umxReduceGxE(),
umxRotate.MxModelCP(),
umxSexLim(),
umxSimplex(),
umxSummarizeTwinData(),
umxSummaryACE(),
umxSummaryACEv(),
umxSummaryDoC(),
umxSummaryGxEbiv(),
umxSummarySexLim(),
umxSummarySimplex(),
umxTwinMaker()
Examples
## Not run:
# ============================================
# = BMI, can't use Age as a random covariate =
# ============================================
require(umx)
data(twinData)
# Replicate age to age1 & age2
twinData$age1 = twinData$age2 = twinData$age
mzData = subset(twinData, zygosity == "MZFF")
dzData = subset(twinData, zygosity == "DZFF")
# =====================================================================
# = Trying to use identical var (like age) as a random cov is ILLEGAL =
# =====================================================================
m1 = umxACEcov(selDVs = "bmi", selCovs = "age", dzData = dzData, mzData = mzData, sep = "")
# ========================================================
# = Use an lm-based age-residualisation approach instead =
# ========================================================
resid_data = umx_residualize("bmi", "age", suffixes = 1:2, twinData)
mzData = subset(resid_data, zygosity == "MZFF")
dzData = subset(resid_data, zygosity == "DZFF")
m2 = umxACE("resid", selDVs = "bmi", dzData = dzData, mzData = mzData, sep = "")
# Univariate BMI without covariate of age for comparison
mzData = subset(twinData, zygosity == "MZFF")
dzData = subset(twinData, zygosity == "DZFF")
m3 = umxACE("raw_bmi", selDVs = "bmi", dzData = dzData, mzData = mzData, sep = "")
# ===========================================================================
# = A bivariate example (need a dataset with a VIABLE COVARIATE to do this) =
# ===========================================================================
selDVs = "wt" # Set the DVs
selCovs = "ht" # Set the COV
selVars = umx_paste_names(selDVs, covNames = selCovs, sep = "", sep = 1:2)
mzData = subset(twinData, zygosity == "MZFF")
dzData = subset(twinData, zygosity == "DZFF")
m1 = umxACEcov(selDVs = selDVs, selCovs = selCovs,
dzData = dzData, mzData = mzData, sep = "", autoRun = TRUE
)
## End(Not run)
Build and run 2-group uni- or multi-variate ACE models based on VARIANCE (not paths).
Description
A common task in twin modeling involves using the genetic and environmental differences
between large numbers of pairs of mono-zygotic (MZ) and di-zygotic (DZ) twins reared together
to model the genetic and environmental structure of one, or, typically, several phenotypes.
umxACEv directly estimates variance components (rather than paths, which
are then squared to produce variance and therefore cannot be negative). It offers better power,
correct Type I error and un-biased estimates (with no zero-bound for the variances) as a saturated model.
(Verhulst et al, 2019).
The ACE variance-based model decomposes phenotypic variance into additive genetic (A), unique environmental (E) and, optionally, either common environment (shared-environment, C) or non-additive genetic effects (D). Scroll down to details for how to use the function, a figure and multiple examples.
The following figure shows the A components of a trivariate ACEv model:
NOTE: This function does not use the Cholesky decomposition. Instead it directly models variance.
This ensures unbiased type-I error rates. It means that occasionally
estimates of variance may be negative. This should be used as an occasion to inspect you model
choices and data. umxACEv can be used as a base model to validate the ACE Cholesky model,
a core model in behavior genetics (Neale and Cardon, 1992).
Usage
umxACEv(
name = "ACEv",
selDVs,
selCovs = NULL,
sep = NULL,
dzData,
mzData,
dzAr = 0.5,
dzCr = 1,
type = c("Auto", "FIML", "cov", "cor", "WLS", "DWLS", "ULS"),
allContinuousMethod = c("cumulants", "marginals"),
data = NULL,
zyg = "zygosity",
weightVar = NULL,
numObsDZ = NULL,
numObsMZ = NULL,
addStd = TRUE,
addCI = TRUE,
boundDiag = NULL,
equateMeans = TRUE,
bVector = FALSE,
autoRun = getOption("umx_auto_run"),
tryHard = c("no", "yes", "ordinal", "search"),
optimizer = NULL,
nSib = 2
)
Arguments
name |
The name of the model (defaults to"ACE"). |
selDVs |
The variables to include from the data: preferably, just "dep" not c("dep_T1", "dep_T2"). |
selCovs |
(optional) covariates to include from the data (do not include sep in names) |
sep |
The separator in twin var names, often "_T" in vars like "dep_T1". Simplifies selDVs. |
dzData |
The DZ dataframe. |
mzData |
The MZ dataframe. |
dzAr |
The DZ genetic correlation (defaults to .5, vary to examine assortative mating). |
dzCr |
The DZ "C" correlation (defaults to 1: set to .25 to make an ADE model). |
type |
Analysis method one of c("Auto", "FIML", "cov", "cor", "WLS", "DWLS", "ULS"). |
allContinuousMethod |
"cumulants" or "marginals". Used in all-continuous WLS data to determine if a means model needed. |
data |
If provided, dzData and mzData are treated as valid levels of zyg to select() data sets (default = NULL) |
zyg |
If data provided, this column is used to select rows by zygosity (Default = "zygosity") |
weightVar |
= If provided, a vector objective will be used to weight the data. (default = NULL). |
numObsDZ |
= Number of DZ twins: Set this if you input covariance data. |
numObsMZ |
= Number of MZ twins: Set this if you input covariance data. |
addStd |
Whether to add the algebras to compute a std model (defaults to TRUE). |
addCI |
Whether to add intervals to compute CIs (defaults to TRUE). |
boundDiag |
= Numeric lbound for diagonal of the a, c, and e matrices. Default = NULL (no bound) |
equateMeans |
Whether to equate the means across twins (defaults to TRUE). |
bVector |
Whether to compute row-wise likelihoods (defaults to FALSE). |
autoRun |
Whether to run the model (default), or just to create it and return without running. |
tryHard |
Default ('no') uses normal mxRun. "yes" uses mxTryHard. Other options: "ordinal", "search" |
optimizer |
Optionally set the optimizer (default NULL does nothing). |
nSib |
Number of sibs, default is 2. Working on 3 :-) |
Details
Data Input The function flexibly accepts raw data, and also summary covariance data (in which case the user must also supple numbers of observations for the two input data sets).
Ordinal Data In an important capability, the model transparently handles ordinal (binary or multi-level ordered factor data) inputs, and can handle mixtures of continuous, binary, and ordinal data in any combination.
The function also supports weighting of individual data rows. In this case, the model is estimated for each row individually, then each row likelihood is multiplied by its weight, and these weighted likelihoods summed to form the model-likelihood, which is to be minimized. This feature is used in the non-linear GxE model functions.
Additional features The umxACEv function supports varying the DZ genetic association (defaulting to .5) to allow exploring assortative mating effects, as well as varying the DZ “C” factor from 1 (the default for modeling family-level effects shared 100% by twins in a pair), to .25 to model dominance effects.
note: Only one of C or D may be estimated simultaneously. This restriction reflects the lack of degrees of freedom to simultaneously model C and D with only MZ and DZ twin pairs (Eaves et al. 1978 p267).
Value
-
OpenMx::mxModel()subclassmxModelACEv
References
Verhulst, B., Prom-Wormley, E., Keller, M., Medland, S., & Neale, M. C. (2019). Type I Error Rates and Parameter Bias in Multivariate Behavioral Genetic Models. Behav Genet, 49, 99-111. doi:10.1007/s10519-018-9942-y Eaves, L. J., Last, K. A., Young, P. A., & Martin, N. G. (1978). Model-fitting approaches to the analysis of human behaviour. Heredity, 41, 249-320. doi:10.1038/hdy.1978.101
See Also
Other Twin Modeling Functions:
power.ACE.test(),
umx,
umxACE(),
umxACEcov(),
umxCP(),
umxDiffMZ(),
umxDiscTwin(),
umxDoC(),
umxDoCp(),
umxGxE(),
umxGxE_window(),
umxGxEbiv(),
umxIP(),
umxMRDoC(),
umxReduce(),
umxReduceACE(),
umxReduceGxE(),
umxRotate.MxModelCP(),
umxSexLim(),
umxSimplex(),
umxSummarizeTwinData(),
umxSummaryACE(),
umxSummaryACEv(),
umxSummaryDoC(),
umxSummaryGxEbiv(),
umxSummarySexLim(),
umxSummarySimplex(),
umxTwinMaker()
Examples
## Not run:
# ==============================
# = Univariate model of weight =
# ==============================
require(umx)
data(twinData) # ?twinData from Australian twins.
# Things to note: ACE model of weight will return a NEGATIVE variance in C.
# This is exactly why we have ACEv! It suggests we need a different model
# In this case: ADE.
# Other things to note:
# 1. umxACEv can figure out variable names: provide "sep", and selVars.
# Function generates: "wt" -> "wt1" "wt2"
# 2. umxACEv picks the variables it needs from the data.
mzData = twinData[twinData$zygosity %in% "MZFF", ]
dzData = twinData[twinData$zygosity %in% "DZFF", ]
m1 = umxACEv(selDVs = "wt", sep = "", dzData = dzData, mzData = mzData)
# A short cut (which is even shorter for "_T" twin data with "MZ"/"DZ" data in zygosity column is:
m1 = umxACEv(selDVs = "wt", sep = "", dzData = "MZFF", mzData = "DZFF", data = twinData)
# ========================================================
# = Evidence for dominance ? (DZ correlation set to .25) =
# ========================================================
m2 = umxACEv("ADE", selDVs = "wt", sep = "", dzData = dzData, mzData = mzData, dzCr = .25)
# note: the underlying matrices are still called A, C, and E.
# I catch this in the summary table, so columns are labeled A, D, and E.
# However, currently, the plot will say A, C, E.
# We can modify this model, dropping dominance component (still called C),
# and see a comparison:
m3 = umxModify(m2, update = "C_r1c1", comparison = TRUE, name="AE")
# =========================================================
# = Well done! Now you can make modify twin models in umx =
# =========================================================
# ============================
# = How heritable is height? =
# ============================
#
# Note: Height has a small variance. umx can typically picks good starts,
# but scaling is advisable.
#
require(umx)
# Load data and rescale height to cm (var in m too small)
data(twinData) # ?twinData from Australian twins.
twinData[,c("ht1", "ht2")]= twinData[,c("ht1", "ht2")]*100
mzData = twinData[twinData$zygosity %in% "MZFF", ]
dzData = twinData[twinData$zygosity %in% "DZFF", ]
m1 = umxACEv(selDVs = "ht", sep = "", dzData = dzData, mzData = mzData)
umxSummary(m1, std = FALSE) # unstandardized
plot(m1)
# tip: with report = "html", umxSummary can print the table to your browser!
# tip: You can turn off auto-plot with umx_set_auto_plot(FALSE)
# ========================================================
# = Evidence for dominance ? (DZ correlation set to .25) =
# ========================================================
m2 = umxACEv("ADE", selDVs = "ht", dzCr = .25, sep="", dzData = dzData, mzData = mzData)
umxCompare(m2, m1) # Is ADE better?
umxSummary(m2, comparison = m1) # nb: though this is ADE, matrices are still called A,C,E
# We can modify this model, dropping shared environment, and see a comparison:
m3 = umxModify(m2, update = "C_r1c1", comparison = TRUE, name = "AE")
# =====================================
# = Bivariate height and weight model =
# =====================================
data(twinData)
twinData[,c("ht1", "ht2")]= twinData[,c("ht1", "ht2")]*100
mzData = twinData[twinData$zygosity %in% c("MZFF", "MZMM"), ]
dzData = twinData[twinData$zygosity %in% c("DZFF", "DZMM", "DZOS"), ]
m1 = umxACEv(selDVs = c("ht", "wt"), sep = '', dzData = dzData, mzData = mzData)
# ===================
# = Ordinal example =
# ===================
require(umx)
data(twinData)
# Cut bmi column to form ordinal obesity variables
cutPoints = quantile(twinData[, "bmi1"], probs = c(.5, .2), na.rm = TRUE)
obesityLevels = c('normal', 'overweight', 'obese')
twinData$obese1 = cut(twinData$bmi1, breaks = c(-Inf, cutPoints, Inf), labels = obesityLevels)
twinData$obese2 = cut(twinData$bmi2, breaks = c(-Inf, cutPoints, Inf), labels = obesityLevels)
# Make the ordinal variables into mxFactors (ensure ordered is TRUE, and require levels)
twinData[, c("obese1", "obese2")] = umxFactor(twinData[, c("obese1", "obese2")])
mzData = twinData[twinData$zygosity %in% "MZFF", ]
dzData = twinData[twinData$zygosity %in% "DZFF", ]
m2 = umxACEv(selDVs = "obese", dzData = dzData, mzData = mzData, sep = '')
# FYI: Show mz, dz, and t1 and t2 have the same levels!
str(mzData)
# ============================================
# = Bivariate continuous and ordinal example =
# ============================================
data(twinData)
# Cut bmi column to form ordinal obesity variables
ordDVs = c("obese1", "obese2")
obesityLevels = c('normal', 'overweight', 'obese')
cutPoints = quantile(twinData[, "bmi1"], probs = c(.5, .2), na.rm = TRUE)
twinData$obese1 = cut(twinData$bmi1, breaks = c(-Inf, cutPoints, Inf), labels = obesityLevels)
twinData$obese2 = cut(twinData$bmi2, breaks = c(-Inf, cutPoints, Inf), labels = obesityLevels)
# Make the ordinal variables into ordered mxFactors
twinData[, ordDVs] = umxFactor(twinData[, ordDVs])
# umxACEv can trim out unused variables on its own
mzData = twinData[twinData$zygosity %in% "MZFF", ]
dzData = twinData[twinData$zygosity %in% "DZFF", ]
m1 = umxACEv(selDVs = c("wt", "obese"), dzData = dzData, mzData = mzData, sep = '')
plot(m1)
# =======================================
# = Mixed continuous and binary example =
# =======================================
require(umx)
data(twinData)
# Cut to form category of 20% obese subjects
# and make into mxFactors (ensure ordered is TRUE, and require levels)
cutPoints = quantile(twinData[, "bmi1"], probs = .2, na.rm = TRUE)
obesityLevels = c('normal', 'obese')
twinData$obese1 = cut(twinData$bmi1, breaks = c(-Inf, cutPoints, Inf), labels = obesityLevels)
twinData$obese2 = cut(twinData$bmi2, breaks = c(-Inf, cutPoints, Inf), labels = obesityLevels)
ordDVs = c("obese1", "obese2")
twinData[, ordDVs] = umxFactor(twinData[, ordDVs])
selDVs = c("wt", "obese")
mzData = twinData[twinData$zygosity %in% "MZFF", ]
dzData = twinData[twinData$zygosity %in% "DZFF", ]
m1 = umxACEv(selDVs = selDVs, dzData = dzData, mzData = mzData, sep = '')
umxSummary(m1)
# ===================================
# Example with covariance data only =
# ===================================
require(umx)
data(twinData)
selDVs = c("wt")
mz = cov(twinData[twinData$zygosity %in% "MZFF", tvars(selDVs, "")], use = "complete")
dz = cov(twinData[twinData$zygosity %in% "DZFF", tvars(selDVs, "")], use = "complete")
m1 = umxACEv(selDVs = selDVs, sep= "", dzData = dz, mzData= mz, numObsDZ= 569, numObsMZ= 351)
umxSummary(m1, std = FALSE)
## End(Not run)
Creates nicely formatted journal-style summaries of models, p-values, data-frames and much more.
Description
umxAPA creates APA-style reports from a range of statistical models, or to summarize data. I wrote it to suit me.
Nice alternatives include jtools::summ.
Example functionality includes:
Given an
stats::lm()model,umxAPAwill return a formatted effect, including 95% CI. e.g.:umxAPA(lm(mpg~wt, data=mtcars), "wt")yields:\beta= -5.34 [-6.48, -4.20], p < 0.001. here "wt" restricts the output to just the named effect.-
umxAPAalso supportst.test(),stats::glm(),cor.test(), and others as I need them. Get a CI from
obj=betaand se=se :umxAPA(-0.30, .03)returns\beta= -0.3 [-0.36, -0.24]Back out an SE from
\betaand CI:umxAPA(-0.030, c(-0.073, 0.013))returns\beta= -0.03, se = 0.02Given only a number as obj, will be treated as a p-value, and returned in APA format.
Given a dataframe,
umxAPAwill return a table of correlations with means and SDs in the last row. e.g.:umxAPA(mtcars[,c("cyl", "wt", "mpg", )]yields:cyl wt mpg cyl 1 0.78 -0.85 wt 0.78 1 -0.87 mpg -0.85 -0.87 1 mean_sd 6.19 (1.79) 3.22 (0.98) 20.09 (6.03)
Usage
umxAPA(
obj = .Last.value,
se = NULL,
p = NULL,
std = FALSE,
digits = 2,
use = "complete",
min = 0.001,
addComparison = NA,
report = c("markdown", "html", "none", "expression"),
lower = TRUE,
test = c("Chisq", "LRT", "Rao", "F", "Cp"),
SEs = TRUE,
means = TRUE,
suffix = "",
cols = NA
)
Arguments
obj |
A model (e.g. |
se |
If obj is a beta, se treated as standard-error (returning a CI). If obj is a model, used to select effect of interest (blank for all effects). Finally, set se to the CI c(lower, upper), to back out the SE. |
p |
If obj is a beta, use p-value to compute SE (returning a CI). |
std |
Whether to report std betas (re-runs model on standardized data). |
digits |
How many digits to round output. |
use |
If obj is a data.frame, how to handle NAs (default = "complete") |
min |
For a p-value, the smallest value to report numerically (default .001) |
addComparison |
For a p-value, whether to add "</=" default (NA) adds "<" if necessary |
report |
What to return (default = 'markdown'). Use 'html' to open a web table. none doesn't print. expression can contain |
lower |
Whether to not show the lower triangle of correlations for a data.frame (Default TRUE) |
test |
If obj is a glm, which test to use to generate p-values options = "Chisq", "LRT", "Rao", "F", "Cp" |
SEs |
Whether or not to show correlations with their SE (Default TRUE) |
means |
Whether or not to show means in a correlation table (Default TRUE) |
suffix |
A string to append to the result. Mostly used with report = "expression" |
cols |
Optional, pass in a list of column names when using umxAPA with a dataframe input. |
Value
string
References
See Also
Other Reporting Functions:
umx,
umxFactorScores(),
umxGetLatents(),
umxGetManifests(),
umxGetModel(),
umxGetParameters(),
umxParameters(),
umx_aggregate(),
umx_time()
Examples
# ========================================
# = Report lm (regression/anova) results =
# ========================================
umxAPA(lm(mpg ~ wt + disp, mtcars)) # Report all parameters
umxAPA(lm(mpg ~ wt + disp, mtcars), "wt") # Just effect of weight
umxAPA(lm(mpg ~ wt + disp, mtcars), std = TRUE) # Standardize model!
###############
# GLM example #
###############
df = mtcars
df$mpg_thresh = 0
df$mpg_thresh[df$mpg > 16] = 1
m1 = glm(mpg_thresh ~ wt + gear,data = df, family = binomial)
umxAPA(m1)
###############
# A t-Test #
###############
umxAPA(t.test(x = 1:10, y = c(7:20)))
umxAPA(t.test(extra ~ group, data = sleep))
# ======================================================
# = Summarize DATA FRAME: Correlations + Means and SDs =
# ======================================================
umxAPA(mtcars[,1:3])
umxAPA(mtcars[,1:3], digits = 3)
umxAPA(mtcars[,1:3], lower = FALSE)
## Not run:
umxAPA(mtcars[,1:3], report = "html")
## End(Not run)
# ==========================================
# = CONFIDENCE INTERVAL from effect and se =
# ==========================================
umxAPA(.4, .3) # parameter 2 interpreted as SE
# Input beta and CI, and back out the SE
umxAPA(-0.030, c(-0.073, 0.013), digits = 3)
# ====================
# = Format a p-value =
# ====================
umxAPA(.0182613) # 0.02
umxAPA(.00018261) # < 0.001
umxAPA(.00018261, addComparison = FALSE) # 0.001
# ========================
# = Report a correlation =
# ========================
data(twinData)
tmp = subset(twinData, zygosity %in% c("MZFF", "MZMM"))
m1 = cor.test(~ wt1 + wt2, data = tmp)
umxAPA(m1)
A simple wrapper for mxAlgebra with name as the first parameter for more readable compact code.
Description
umxAlgebra is a wrapper for mxAlgebra which has the name parameter first in order.
Usage
umxAlgebra(
name = NA,
expression,
dimnames = NA,
...,
joinKey = as.character(NA),
joinModel = as.character(NA),
verbose = 0L,
initial = matrix(as.numeric(NA), 1, 1),
recompute = c("always", "onDemand"),
fixed = "deprecated_use_recompute"
)
Arguments
name |
The name of the algebra (Default = NA). Note the different order compared to mxAlgebra! |
expression |
The algebra |
dimnames |
Dimnames of the algebra |
... |
Other parameters |
joinKey |
See mxAlgebra documentation |
joinModel |
See mxAlgebra documentation |
verbose |
Quiet or informative |
initial |
See mxAlgebra documentation |
recompute |
See mxAlgebra documentation |
fixed |
= See mxAlgebra documentation |
Value
See Also
Other Advanced Model Building Functions:
umx,
umxFixAll(),
umxJiggle(),
umxRun(),
umxThresholdMatrix(),
umxUnexplainedCausalNexus(),
xmuLabel(),
xmuValues()
Examples
## Not run:
A = umxMatrix("A", "Full", nrow = 3, ncol = 3, values=2)
B = umxAlgebra("B", A)
C = umxAlgebra(A + B, name = "C")
D = umxAlgebra(sin(C), name = "D")
m1 = mxRun(mxModel("AlgebraExample", A, B, C, D ))
mxEval(D, m1)
x = umxAlgebra("circ", expression = 2 * pi)
class(x$formula)
x = mxAlgebra(name = "circ", 2 * pi)
class(x$formula) # "call"
## End(Not run)
A recipe Easter-egg for umx
Description
How to cook steak.
Usage
umxBrownie()
Details
Equipment matters. You should buy a heavy cast-iron skillet, and a digital internal thermometer. Preferably cook over a gas flame.
note: Cheaper cuts like blade steak can come out fine.
See Also
Other Miscellaneous Functions:
deg2rad(),
fin_FIF(),
fin_JustifiedPE(),
fin_NI(),
fin_StockCAGR(),
fin_carryCost(),
fin_expected(),
fin_interest(),
fin_net_present_value(),
fin_option(),
fin_percent(),
fin_ticker(),
fin_valuation(),
rad2deg()
Examples
umxBrownie()
Add (and, optionally, run) confidence intervals to a structural model.
Description
umxCI adds OpenMx::mxCI() calls for requested (default all) parameters in a model,
runs these CIs if necessary, and reports them in a neat summary.
Usage
umxCI(
model = NULL,
which = c("ALL", NA, "list of your making"),
remove = FALSE,
run = c("no", "yes", "if necessary", "show"),
interval = 0.95,
type = c("both", "lower", "upper"),
regex = NULL,
showErrorCodes = TRUE
)
Arguments
model |
The |
which |
What CIs to add: c("ALL", NA, "list of your making") |
remove |
= FALSE (if set, removes existing specified CIs from the model) |
run |
Whether or not to compute the CIs. Valid values = "no" (default), "yes", "if necessary". 'show' means print the intervals if computed, or list their names if not. |
interval |
The interval for newly added CIs (defaults to 0.95) |
type |
The type of CI (defaults to "both", options are "lower" and "upper") |
regex |
Add CIs for labels matching this regular expression (over-rides which) |
showErrorCodes |
Whether to show errors (default == TRUE) |
Details
umxCI also reports if any problems were encountered. The codes are standard OpenMx errors and warnings
1: The final iterate satisfies the optimality conditions to the accuracy requested, but the sequence of iterates has not yet converged. NPSOL was terminated because no further improvement could be made in the merit function (Mx status GREEN)
2: The linear constraints and bounds could not be satisfied. The problem has no feasible solution.
3: The nonlinear constraints and bounds could not be satisfied. The problem may have no feasible solution.
4: The major iteration limit was reached (Mx status BLUE).
6: The model does not satisfy the first-order optimality conditions to the required accuracy, and no improved point for the merit function could be found during the final linesearch (Mx status RED)
7: The function derivatives returned by funcon or funobj appear to be incorrect.
9: An input parameter was invalid.
If run = "no", the function simply adds the CI requests, but returns the model without running them.
Value
References
See Also
Other Reporting functions:
RMSEA(),
RMSEA.MxModel(),
RMSEA.summary.mxmodel(),
extractAIC.MxModel(),
loadings(),
loadings.MxModel(),
residuals.MxModel(),
tmx_show(),
tmx_show.MxMatrix(),
umxCI_boot(),
umxConfint(),
umxExpCov(),
umxExpMeans(),
umxFitIndices(),
umxRotate()
Examples
## Not run:
require(umx)
data(demoOneFactor)
manifests = names(demoOneFactor)
m1 = umxRAM("One Factor", data = demoOneFactor, type = "cov",
umxPath("G", to = manifests),
umxPath(var = manifests),
umxPath(var = "G", fixedAt = 1)
)
m1$intervals # none yet - empty list()
m1 = umxCI(m1)
m1$intervals # $G_to_x1...
m1 = umxCI(m1, remove = TRUE) # remove CIs from the model and return it
m1$intervals # none again
# Add CIs by name
parameters(m1, patt="_with_")
m1 = umxCI(m1, which = "x1_with_x1")
m1 = umxCI(m1, which = c("x1_with_x1", "x2_with_x2"))
m1 = umxCI(m1, regex = "x1_with_", run= "yes")
# lbound estimate ubound lbound Code ubound Code
# x1_with_x1 0.036 0.041 0.047 0 0
# ========================
# = A twin model example =
# ========================
data(twinData)
mzData = subset(twinData, zygosity == "MZFF")
dzData = subset(twinData, zygosity == "DZFF")
m1 = umxACE(selDVs = c("bmi1","bmi2"), dzData = dzData, mzData = mzData)
umxCI(m1, run = "show") # show what will be requested
umxCI(m1, run = "yes") # actually compute the CIs
# Don't force update of CIs, but if they were just added, then calculate them
umxCI(m1, run = "if necessary")
m1 = umxCI(m1, remove = TRUE) # remove them all
m1$intervals # none!
# Show what parameters are available to get CIs on
umxParameters(m1)
# Request a CI by label:
m1 = umxCI(m1, which = "a_r1c1", run = "yes")
## End(Not run)
umxCI_boot
Description
Compute boot-strapped Confidence Intervals for parameters in an OpenMx::mxModel()
The function creates a sampling distribution for parameters by repeatedly drawing samples
with replacement from your data and then computing the statistic for each redrawn sample.
Usage
umxCI_boot(
model,
rawData = NULL,
type = c("par.expected", "par.observed", "empirical"),
std = TRUE,
rep = 1000,
conf = 95,
dat = FALSE,
digits = 3
)
Arguments
model |
is an optimized mxModel |
rawData |
is the raw data matrix used to estimate model |
type |
is the kind of bootstrap you want to run. "par.expected" and "par.observed" use parametric Monte Carlo bootstrapping based on your expected and observed covariance matrices, respectively. "empirical" uses empirical bootstrapping based on rawData. |
std |
specifies whether you want CIs for unstandardized or standardized parameters (default: std = TRUE) |
rep |
is the number of bootstrap samples to compute (default = 1000). |
conf |
is the confidence value (default = 95) |
dat |
specifies whether you want to store the bootstrapped data in the output (useful for multiple analyses, such as mediation analysis) |
digits |
rounding precision |
Value
expected covariance matrix
See Also
Other Reporting functions:
RMSEA(),
RMSEA.MxModel(),
RMSEA.summary.mxmodel(),
extractAIC.MxModel(),
loadings(),
loadings.MxModel(),
residuals.MxModel(),
tmx_show(),
tmx_show.MxMatrix(),
umxCI(),
umxConfint(),
umxExpCov(),
umxExpMeans(),
umxFitIndices(),
umxRotate()
Examples
## Not run:
require(umx)
data(demoOneFactor)
manifests = names(demoOneFactor)
m1 = umxRAM("One Factor", data = demoOneFactor, type = "cov",
umxPath("G", to = manifests),
umxPath(var = manifests),
umxPath(var = "G", fixedAt = 1.0)
)
umxCI_boot(m1, type = "par.expected")
## End(Not run)
Runs cross-lagged panel models
Description
One way of assessing causal relationships is by introducing time into the analyses.
umxCLPM implements three cross-lagged panel models (CLPM) from the literature.
The first is the classic CLPM from Heise (1969), the second is the CLPM from Hamaker et al. (2015), and
the third is the CLPM from STARTS (1995).
You simply pass the number of waves and the data set along with the model you wish to run.
Sketch mode is available; if you pass column names to data, a model object is returned for manipulation later.
Usage
umxCLPM(
data = NULL,
waves,
name = NULL,
model = c("Hamaker2015", "Heise1969", "STARTS1995", "IV_RI_CLPM"),
counts = NULL,
summary = !umx_set_silent(silent = TRUE),
autoRun = getOption("umx_auto_run"),
tryHard = c("no", "yes", "ordinal", "search"),
verbose = FALSE,
batteries = c("scale", "ordinaloptim"),
std = FALSE,
ivs = NULL,
defn = NULL,
defto = NULL,
type = c("Auto", "FIML", "cov", "cor", "WLS", "DWLS", "ULS"),
allContinuousMethod = c("cumulants", "marginals")
)
Arguments
data |
Data frame for the analysis. |
waves |
Number of waves of data. |
name |
The name of the model (defaults to "Heise1969", "Hamaker2015", "STARTS1995" or "IV_RI_CLPM"). |
model |
Model type ("Hamaker2015", "Heise1969", "STARTS1995", or "IV_RI_CLPM"). |
counts |
Optional vector of count data columns. |
summary |
Logical indicating whether to show a summary (default: TRUE if silent is not set). |
autoRun |
Logical indicating whether to run the model (default to getOption("umx_auto_run")). |
tryHard |
Method for fitting the model ("no", "yes", "ordinal", "search"). |
verbose |
Logical to control verbose output (default: FALSE). |
batteries |
A character vector of pre-processing options ("scale", "ordinaloptim", "thresholds"). |
std |
Logical indicating whether to standardize the output (default: FALSE). |
ivs |
Optional vector of instrumental variable column names. |
defn |
Optional definition variable. |
defto |
Optional variable to which to define. |
type |
The method for handling missing data ("Auto", "FIML", "cov", "cor", "WLS", "DWLS", "ULS"). |
allContinuousMethod |
Method for handling continuous data ("cumulants", "marginals"). |
Value
An OpenMx model object.
References
Kenny, D.A., & Zautra, A. (1995). The trait-state-error model for multiwave data. Journal of Consulting and Clinical Psychology, 63, 52–59. doi:10.1037/0022-006X.63.1.52 Hamaker E.L., Kuiper R.M., & Grasman R. (2015). A critique of the cross-lagged panel model. Psychological Methods, 20, 102–116. doi:10.1037/a0038889 Heise D. R. (1970). Causal inference from panel data. Sociological Methodology, 2, 3–27. doi:10.2307/270780
Examples
## Not run:
# ================
# = 1. Load Data =
# ================
data(docData)
dt <- docData[2:9]
# ============================
# = 2. Make a CLPM model =
# ============================
hamaker <- umxCLPM(waves = 4, name = "mymodel", model = "Hamaker2015", data = dt)
## End(Not run)
umxCP: Build and run a Common Pathway twin model
Description
Make a 2-group Common Pathway twin model.
The common-pathway model (aka "psychometric model" (McArdle and Goldsmith, 1990) provides a powerful tool
for theory-based testing of genetic and environmental differences. It proposes that A, C, and E components
act on a latent substrate (organ, mental mechanism etc.) and this is manifested in the measured phenotypes.
umxCP supports this with pairs of mono-zygotic (MZ) and di-zygotic (DZ) twins reared together
to model the genetic and environmental structure of multiple phenotypes
(measured behaviors).
Common-pathway path diagram:
As can be seen, each phenotype also by default has A, C, and E influences specific to that phenotype.
Features include the ability to include more than one common pathway, to use ordinal data.
note: The function umx_set_optimization_options() allows users to see and set mvnRelEps and mvnMaxPointsA
mvnRelEps defaults to .005. For ordinal models, you might find that '0.01' works better.
Usage
umxCP(
name = "CP",
selDVs,
selCovs = NULL,
dzData = NULL,
mzData = NULL,
sep = NULL,
nFac = 1,
type = c("Auto", "FIML", "cov", "cor", "WLS", "DWLS", "ULS"),
data = NULL,
zyg = "zygosity",
allContinuousMethod = c("cumulants", "marginals"),
correlatedACE = FALSE,
dzAr = 0.5,
dzCr = 1,
autoRun = getOption("umx_auto_run"),
tryHard = c("yes", "no", "ordinal", "search"),
optimizer = NULL,
equateMeans = TRUE,
weightVar = NULL,
bVector = FALSE,
boundDiag = 0,
addStd = TRUE,
addCI = TRUE,
numObsDZ = NULL,
numObsMZ = NULL,
freeLowerA = FALSE,
freeLowerC = FALSE,
freeLowerE = FALSE,
correlatedA = "deprecated"
)
Arguments
name |
The name of the model (defaults to "CP"). |
selDVs |
The variables to include. omit sep in selDVs, i.e., just "dep" not c("dep_T1", "dep_T2"). |
selCovs |
basenames for covariates |
dzData |
The DZ dataframe. |
mzData |
The MZ dataframe. |
sep |
(required) The suffix for twin 1 and twin 2, often "_T". |
nFac |
How many common factors (default = 1) |
type |
One of "Auto", "FIML", "cov", "cor", "WLS", "DWLS", "ULS" |
data |
If provided, dzData and mzData are treated as valid levels of zyg to select() data sets (default = NULL) |
zyg |
If data provided, this column is used to select rows by zygosity (Default = "zygosity") |
allContinuousMethod |
"cumulants" or "marginals". Used in all-continuous WLS data to determine if a means model needed. |
correlatedACE |
DON'T USE THIS! Allows correlations between the factors built by each of the a, c, and e matrices. Default = FALSE. |
dzAr |
The DZ genetic correlation (defaults to .5, vary to examine assortative mating). |
dzCr |
The DZ "C" correlation (defaults to 1: set to .25 to make an ADE model). |
autoRun |
Whether to run the model (default), or just to create it and return without running. |
tryHard |
Default ("yes") uses mxTryHard, "no" uses normal mxRun. Other options: "ordinal", "search" |
optimizer |
optionally set the optimizer (default NULL does nothing). |
equateMeans |
Whether to equate the means across twins (defaults to TRUE). |
weightVar |
If provided, a vector objective will be used to weight the data. (default = NULL). |
bVector |
Whether to compute row-wise likelihoods (defaults to FALSE). |
boundDiag |
= Numeric lbound for diagonal of the a_cp, c_cp, & e_cp matrices. Set = NULL to ignore. |
addStd |
Whether to add the algebras to compute a std model (defaults to TRUE). |
addCI |
Whether to add the interval requests for CIs (defaults to TRUE). |
numObsDZ |
= not yet implemented: Ordinal Number of DZ twins: Set this if you input covariance data. |
numObsMZ |
= not yet implemented: Ordinal Number of MZ twins: Set this if you input covariance data. |
freeLowerA |
(ignore): Whether to leave the lower triangle of A free (default = FALSE). |
freeLowerC |
(ignore): Whether to leave the lower triangle of C free (default = FALSE). |
freeLowerE |
(ignore): Whether to leave the lower triangle of E free (default = FALSE). |
correlatedA |
deprecated. |
Details
Like the umxACE() model, the CP model decomposes phenotypic variance
into additive genetic (A), unique environmental (E) and, optionally, either
common or shared-environment (C) or non-additive genetic effects (D).
Unlike the Cholesky, these factors do not act directly on the phenotype. Instead latent A, C, and E influences impact on one or more latent factors which in turn account for variance in the phenotypes (see Figure).
Data Input Currently, the umxCP function accepts only raw data. This may change in future versions.
Ordinal Data
In an important capability, the model transparently handles ordinal (binary or multi-level ordered factor data) inputs, and can handle mixtures of continuous, binary, and ordinal data in any combination.
Additional features
The umxCP function supports varying the DZ genetic association (defaulting to .5) to allow exploring assortative mating effects, as well as varying the DZ “C” factor from 1 (the default for modeling family-level effects shared 100% by twins in a pair), to .25 to model dominance effects.
Matrices and Labels in CP model
A good way to see which matrices are used in umxCP is to run an example model and plot it.
All the shared matrices are in the model "top".
Matrices top$as, top$cs, and top$es contain the path loadings specific to each variable on their diagonals.
So, to see the 'as' values, labels, or free states, you can say:
m1$top$as$values
m1$top$as$free
m1$top$as$labels
Labels relevant to modifying the specific loadings take the form "as_r1c1", "as_r2c2" etc.
The common-pathway loadings on the factors are in matrices top$a_cp, top$c_cp, top$e_cp.
The common factors themselves are in the matrix top$cp_loadings (an nVar * 1 matrix)
Less commonly-modified matrices are the mean matrix expMean. This has 1 row, and the columns are laid out for each variable for twin 1, followed by each variable for twin 2.
So, in a model where the means for twin 1 and twin 2 had been equated (set = to T1), you could make them independent again with this line:
m1$top$expMean$labels[1,4:6] = c("expMean_r1c4", "expMean_r1c5", "expMean_r1c6")
For a deep-dive, see xmu_make_TwinSuperModel()
Value
References
Martin, N. G., & Eaves, L. J. (1977). The Genetical Analysis of Covariance Structure. Heredity, 38, 79-95.
Kendler, K. S., Heath, A. C., Martin, N. G., & Eaves, L. J. (1987). Symptoms of anxiety and symptoms of depression. Same genes, different environments? Archives of General Psychiatry, 44, 451-457. doi:10.1001/archpsyc.1987.01800170073010.
McArdle, J. J., & Goldsmith, H. H. (1990). Alternative common factor models for multivariate biometric analyses. Behavior Genetics, 20, 569-608. doi:10.1007/BF01065873.
See Also
-
umxSummaryCP(),umxPlotCP(). SeeumxRotate.MxModelCP()to rotate the factor loadings of aumxCP()model. SeeumxACE()for more examples of twin modeling.plot()andumxSummary()work for all twin models, e.g.,umxIP(),umxCP(),umxGxE(), andumxACE().
Other Twin Modeling Functions:
power.ACE.test(),
umx,
umxACE(),
umxACEcov(),
umxACEv(),
umxDiffMZ(),
umxDiscTwin(),
umxDoC(),
umxDoCp(),
umxGxE(),
umxGxE_window(),
umxGxEbiv(),
umxIP(),
umxMRDoC(),
umxReduce(),
umxReduceACE(),
umxReduceGxE(),
umxRotate.MxModelCP(),
umxSexLim(),
umxSimplex(),
umxSummarizeTwinData(),
umxSummaryACE(),
umxSummaryACEv(),
umxSummaryDoC(),
umxSummaryGxEbiv(),
umxSummarySexLim(),
umxSummarySimplex(),
umxTwinMaker()
Examples
## Not run:
# ========================================================
# = Run a 3-factor Common pathway twin model of 6 traits =
# ========================================================
require(umx)
data(GFF)
mzData = subset(GFF, zyg_2grp == "MZ")
dzData = subset(GFF, zyg_2grp == "DZ")
selDVs = c("gff", "fc", "qol", "hap", "sat", "AD")
m1 = umxCP(selDVs = selDVs, sep = "_T", nFac = 3, tryHard = "yes",
dzData = dzData, mzData = mzData)
# Shortcut using "data ="
selDVs = c("gff", "fc", "qol", "hap", "sat", "AD")
m1 = umxCP(selDVs= selDVs, nFac= 3, data=GFF, zyg="zyg_2grp")
# ===================
# = Do it using WLS =
# ===================
m2 = umxCP("new", selDVs = selDVs, sep = "_T", nFac = 3, optimizer = "SLSQP",
dzData = dzData, mzData = mzData, tryHard = "ordinal",
type= "DWLS", allContinuousMethod='marginals'
)
# =================================================
# = Find and test dropping of shared environment =
# =================================================
# Show all labels for C parameters
umxParameters(m1, patt = "^c")
# Test dropping the 9 specific and common-factor C paths
m2 = umxModify(m1, regex = "(cs_.*$)|(c_cp_)", name = "dropC", comp = TRUE)
umxSummaryCP(m2, comparison = m1, file = NA)
umxCompare(m1, m2)
# =======================================
# = Mixed continuous and binary example =
# =======================================
data(GFF)
# Cut to form umxFactor 20% depressed DEP
cutPoints = quantile(GFF[, "AD_T1"], probs = .2, na.rm = TRUE)
ADLevels = c('normal', 'depressed')
GFF$DEP_T1 = cut(GFF$AD_T1, breaks = c(-Inf, cutPoints, Inf), labels = ADLevels)
GFF$DEP_T2 = cut(GFF$AD_T2, breaks = c(-Inf, cutPoints, Inf), labels = ADLevels)
ordDVs = c("DEP_T1", "DEP_T2")
GFF[, ordDVs] = umxFactor(GFF[, ordDVs])
selDVs = c("gff","fc","qol","hap","sat","DEP")
mzData = subset(GFF, zyg_2grp == "MZ")
dzData = subset(GFF, zyg_2grp == "DZ")
# umx_set_optimizer("NPSOL")
# umx_set_optimization_options("mvnRelEps", .01)
m1 = umxCP(selDVs = selDVs, sep = "_T", nFac = 3, dzData = dzData, mzData = mzData)
m2 = umxModify(m1, regex = "(cs_r[3-5]|c_cp_r[12])", name = "dropC", comp= TRUE)
# Do it using WLS
m3 = umxCP(selDVs = selDVs, sep = "_T", nFac = 3, dzData = dzData, mzData = mzData,
tryHard = "ordinal", type= "DWLS")
# TODO umxCPL fix WLS here
# label at row 1 and column 1 of matrix 'top.binLabels'' in model 'CP3fac' : object 'Vtot'
# ==============================
# = Correlated factors example =
# ==============================
# ====================
# = DON'T USE THIS!!! =
# ====================
data(GFF)
mzData = subset(GFF, zyg_2grp == "MZ")
dzData = subset(GFF, zyg_2grp == "DZ")
selDVs = c("gff", "fc", "qol", "hap", "sat", "AD")
m1 = umxCP("base_model", selDVs = selDVs, sep = "_T", correlatedACE = TRUE,
dzData = dzData, mzData = mzData, nFac = 3, tryHard = "yes")
# What are the ace covariance labels? (two ways to get)
umx_lower.tri(m1$top$a_cp$labels)
parameters(m1, patt = "[ace]_cp")
# 1. Now allow a1 and a2 to correlate
m2=umxModify(m1,regex="a_cp_r2c1",name="a2_a1_cov",free=TRUE,tryHard="yes")
umxCompare(m2, m1)
# 2. Drop all (a|c|e) correlations from a model
tmp= namez(umx_lower.tri(m2$top$a_cp$labels), "a_cp", replace= "[ace]_cp")
m3 = umxModify(m2, regex= tmp, comparison = TRUE)
## End(Not run) # end dontrun
Print a comparison table of one or more OpenMx::mxModel()s, formatted nicely.
Description
umxCompare compares two or more OpenMx::mxModel()s. It has several nice features:
It supports direct control of rounding, and reports p-values rounded to APA style.
It reports the table in your preferred format (default is markdown, options include latex).
Table columns are arranged to make for easy comparison for readers.
report = 'inline', will provide an English sentence suitable for a paper.
report = "html" opens a web table in your browser to paste into a word processor.
Note: If you leave comparison blank, it will just give fit info for the base model
Usage
umxCompare(
base = NULL,
comparison = NULL,
all = TRUE,
digits = 3,
report = c("markdown", "html", "inline"),
compareWeightedAIC = FALSE,
silent = FALSE,
file = "tmp.html"
)
Arguments
base |
The base |
comparison |
The model (or list of models) which will be compared for fit with the base model (can be empty) |
all |
Whether to make all possible comparisons if there is more than one base model (defaults to T) |
digits |
rounding for p-values etc. |
report |
"markdown" (default), "inline" (a sentence suitable for inclusion in a paper), or "html". create a web table and open your default browser. (handy for getting tables into Word, and other text systems!) |
compareWeightedAIC |
Show the Wagenmakers AIC weighted comparison (default = FALSE) |
silent |
(don't print, just return the table as a dataframe (default = FALSE) |
file |
file to write html too if report = "html" (defaults to "tmp.html") |
References
See Also
Other Model Summary and Comparison:
umx,
umxEquate(),
umxMI(),
umxReduce(),
umxSetParameters(),
umxSummary()
Examples
## Not run:
require(umx)
data(demoOneFactor)
manifests = names(demoOneFactor)
m1 = umxRAM("One Factor", data = demoOneFactor, type = "cov",
umxPath("G", to = manifests),
umxPath(var = manifests),
umxPath(var = "G", fixedAt = 1)
)
m2 = umxModify(m1, update = "G_to_x2", name = "drop_path_2_x2")
umxCompare(m1, m2)
umxCompare(m1, m2, report = "inline") # Add English-sentence descriptions
umxCompare(m1, m2, report = "html") # Open table in browser
# Two comparison models
m3 = umxModify(m2, update = "G_to_x3", name = "drop_path_2_x2_and_3")
umxCompare(m1, c(m2, m3))
umxCompare(m1, c(m2, m3), compareWeightedAIC = TRUE)
umxCompare(c(m1, m2), c(m2, m3), all = TRUE)
manifests = names(demoOneFactor)
m1 = umxRAM("WLS", data = demoOneFactor, type = "DWLS",
umxPath("G", to = manifests),
umxPath(var = manifests),
umxPath(var = "G", fixedAt = 1)
)
m2 = umxModify(m1, update = "G_to_x2", name = "drop_path_2_x2")
umxCompare(m1, m2)
umxCompare(m1, m2, report = "inline") # Add English-sentence descriptions
umxCompare(m1, m2, report = "html") # Open table in browser
## End(Not run)
Get confidence intervals from a umx model
Description
Implements confidence interval function for umx models.
Usage
umxConfint(
object,
parm = c("existing", "all", "or one or more labels", "smart"),
wipeExistingRequests = TRUE,
level = 0.95,
run = FALSE,
showErrorCodes = FALSE,
optimizer = c("SLSQP", "NPSOL", "CSOLNP", "current")
)
Arguments
object |
An |
parm |
Which parameters to get confidence intervals for. Can be "existing", "all", or one or more parameter names. |
wipeExistingRequests |
Whether to remove existing CIs when adding new ones (ignored if parm = 'existing'). |
level |
The confidence level required (default = .95) |
run |
Whether to run the model (defaults to FALSE) |
showErrorCodes |
(default = FALSE) |
optimizer |
For difficult CIs, trying other optimizers can help! |
Details
Note: By default, requesting new CIs wipes the existing ones. To keep these, set wipeExistingRequests = FALSE.
Because CIs can take time to run, by default only already-computed CIs will be reported. To run new CIs, set run = TRUE .
Note: OpenMx defines a confint function which will return SE-based CIs.
If parm is empty, and run = FALSE, a message will alert you to set run = TRUE.
Value
References
See Also
Other Reporting functions:
RMSEA(),
RMSEA.MxModel(),
RMSEA.summary.mxmodel(),
extractAIC.MxModel(),
loadings(),
loadings.MxModel(),
residuals.MxModel(),
tmx_show(),
tmx_show.MxMatrix(),
umxCI(),
umxCI_boot(),
umxExpCov(),
umxExpMeans(),
umxFitIndices(),
umxRotate()
Examples
## Not run:
require(umx)
data(demoOneFactor)
manifests = names(demoOneFactor)
m1 = umxRAM("OneFactor", data = demoOneFactor, type = "cov",
umxPath(from = "G", to = manifests),
umxPath(var = manifests),
umxPath(var = "G", fixedAt = 1)
)
m1 = umxConfint(m1, run = TRUE) # There are no existing CI requests...
# Add a CI request for "G_to_x1", run, and report. Save with this CI computed
m2 = umxConfint(m1, parm = "G_to_x1", run = TRUE)
# Just print out any existing CIs
umxConfint(m2)
# CI requests added for free matrix parameters. User prompted to set run = TRUE
m3 = umxConfint(m1, "all")
# Run the requested CIs
m3 = umxConfint(m3, run = TRUE)
# Run CIs for free one-headed (asymmetric) paths in RAM model.
# note: Deletes other existing requests,
tmp = umxConfint(m1, parm = "A", run = TRUE)
# Wipe existing CIs, add G_to_x1
tmp = umxConfint(m1, parm = "G_to_x1", run = TRUE, wipeExistingRequests = TRUE)
# For some twin models, a "smart" mode is implemented
# note: only implemented for umxCP so far
m2 = umxConfint(m1, "smart")
## End(Not run)
Convert a covariance matrix into a correlation matrix
Description
A version of cov2cor() that forces upper and lower triangles to be identical (rather than nearly identical)
Usage
umxCov2cor(x)
Arguments
x |
something that cov2cor can work on (matrix, df, etc.) |
Value
A correlation matrix
References
See Also
Other Miscellaneous Stats Functions:
FishersMethod(),
SE_from_p(),
geometric_mean(),
harmonic_mean(),
oddsratio(),
reliability(),
umx,
umxHetCor(),
umxParan(),
umxWeightedAIC(),
umx_apply(),
umx_cor(),
umx_means(),
umx_r_test(),
umx_round(),
umx_scale(),
umx_var()
Examples
umxCov2cor(cov(mtcars[,1:5]))
Diagnose problems in a model - not working!
Description
The goal of this function WILL BE (not currently functional) to diagnose problems in a model and return suggestions to the user. It is a work in progress, and of no use as yet.
Usage
umxDiagnose(model, tryHard = FALSE, diagonalizeExpCov = FALSE)
Arguments
model |
an |
tryHard |
whether I should try and fix it? (defaults to FALSE) |
diagonalizeExpCov |
Whether to diagonalize the ExpCov |
Details
Best diagnostics are:
Observed data variances and means
Expected variances and means
Difference of these?
Try
* diagonalizeExpCov diagonal
* umx_is_ordered()
Tricky, but reporting variances and standardized thresholds is ideal. Guidance is to start with unit variances and thresholds within +/- 2 SD of the mean. Like %p option in Classic Mx.
Value
helpful messages and perhaps a modified model
References
See Also
Other Teaching and Testing functions:
tmx_show.MxModel(),
umxPower()
Examples
## Not run:
require(umx)
data(demoOneFactor)
manifests = names(demoOneFactor)
m1 = umxRAM("OneFactor", data = demoOneFactor, type= "cov",
umxPath("G", to = manifests),
umxPath(var = manifests),
umxPath(var = "G", fixedAt = 1)
)
m1 = mxRun(m1)
umxSummary(m1, std = TRUE)
umxDiagnose(m1)
## End(Not run)
MZ differences method for testing evidence for causality.
Description
umxDiffMZ implements the simple twin1-twin2 based correlation method, e.g. De Moor (2008), in which MZ differences
on a variable x asserted to be causal of an outcome variable y are tested for association with differences on y.
The logic of the design is shown below:
Usage
umxDiffMZ(
x,
y,
data,
sep = "_T",
mzZygs = c("MZFF", "MZMM"),
zyg = "zygosity",
labxy = c(-1.2, 1.8),
xylim = c(NA, NA),
digits = 2
)
Arguments
x |
Presumed causal variable, e.g. "effort" |
y |
Presumed caused outcome, e.g. "score" |
data |
Dataframe containing the twin data. |
sep |
The separator "_T" used to make twin var names from x and y. |
mzZygs |
The MZ zygosity codes c("MZFF", "MZMM") |
zyg |
The column containing "zygosity" data |
labxy |
Where to locate the R2 label (default = c(x=-2,y=3)) |
xylim |
= clip x any axes to range, e.g c(-3,-3) |
digits |
Rounding for beta (def2) |
Details
Example output is shown below, with the fitted line and fit inscribed. The plot is just a ggplot2 graph that is returned and can be edited and formatted.
For a more sophisticated linear mixed model approach, see umxDiscTwin().
Value
Graph for decorating
References
De Moor, M. H., Boomsma, D. I., Stubbe, J. H., Willemsen, G., & de Geus, E. J. (2008). Testing causality in the association between regular exercise and symptoms of anxiety and depression. Archives of General Psychiatry, 65(8), 897-905. doi:10.1001/archpsyc.65.8.897.
See Also
Other Twin Modeling Functions:
power.ACE.test(),
umx,
umxACE(),
umxACEcov(),
umxACEv(),
umxCP(),
umxDiscTwin(),
umxDoC(),
umxDoCp(),
umxGxE(),
umxGxE_window(),
umxGxEbiv(),
umxIP(),
umxMRDoC(),
umxReduce(),
umxReduceACE(),
umxReduceGxE(),
umxRotate.MxModelCP(),
umxSexLim(),
umxSimplex(),
umxSummarizeTwinData(),
umxSummaryACE(),
umxSummaryACEv(),
umxSummaryDoC(),
umxSummaryGxEbiv(),
umxSummarySexLim(),
umxSummarySimplex(),
umxTwinMaker()
Examples
data(twinData)
umxDiffMZ(x="ht", y="wt", labxy = c(-.5, 3), data = twinData, sep = "")
umxDiffMZ(x="ht", y="wt", xylim = c( -2, 2), data = twinData, sep = "")
Intra-pair association in MZ, DZ twin models. (ALPHA quality!)
Description
Testing causal claims is often difficult due to an inability to experimentally randomize traits and situations. A combination of control data and data from twins discordant for the putative causal trait can falsify causal hypotheses.
umxDiscTwin uses nlme::nlme() to compute the beta for x in y ~ x in models either a) Only controlling non-independence,
and b) MZ and DZ subsample models in which the family level of the predictor y is also controlled.
If x is causal, then the effect size of x on y is expected to be equally large in all three samples.
If the population association reflects confounded genes or shared environments,
then the association in MZ twins will reduce to zero/non-significance.
The function uses the nlme::lme() function to compute the effect of the presumed causal variable on the outcome,
controlling, for mid-family score and with random means model using familyID. e.g.:
mzModel = lme(fixed = y ~ x + FamMeanX, random = ~ 1+FamMeanX|FAMID, data = umx_scale(MZ), na.action = "na.omit")
Example output from umxDiscTwin
Usage
umxDiscTwin(
x,
y,
data,
mzZygs = c("MZFF", "MZMM"),
dzZygs = c("DZFF", "DZMM", "DZOS"),
FAMID = "FAMID",
out = c("table", "plot", "model"),
use = "complete.obs",
sep = "_T"
)
Arguments
x |
Cause |
y |
Effect |
data |
dataframe containing MZ and DZ data |
mzZygs |
MZ zygosities c("MZFF", "MZMM") |
dzZygs |
DZ zygosities c("DZFF", "DZMM", "DZOS") |
FAMID |
The column containing family IDs (default = "FAMID") |
out |
Whether to return the table or the ggplot (if you want to decorate it) |
use |
NA handling in corr.test (default= "complete.obs") |
sep |
The separator in twin variable names, default = "_T", e.g. "dep_T1". |
Value
table of results
References
Begg, M. D., & Parides, M. K. (2003). Separation of individual-level and cluster-level covariate effects in regression analysis of correlated data. Stat Med, 22(16), 2591-2602. doi:10.1002/sim.1524
Bergen, S. E., Gardner, C. O., Aggen, S. H., & Kendler, K. S. (2008). Socioeconomic status and social support following illicit drug use: causal pathways or common liability? Twin Res Hum Genet, 11, 266-274. doi:10.1375/twin.11.3.266
McGue, M., Osler, M., & Christensen, K. (2010). Causal Inference and Observational Research: The Utility of Twins. Perspectives on Psychological Science, 5, 546-556. doi:10.1177/1745691610383511
See Also
Other Twin Modeling Functions:
power.ACE.test(),
umx,
umxACE(),
umxACEcov(),
umxACEv(),
umxCP(),
umxDiffMZ(),
umxDoC(),
umxDoCp(),
umxGxE(),
umxGxE_window(),
umxGxEbiv(),
umxIP(),
umxMRDoC(),
umxReduce(),
umxReduceACE(),
umxReduceGxE(),
umxRotate.MxModelCP(),
umxSexLim(),
umxSimplex(),
umxSummarizeTwinData(),
umxSummaryACE(),
umxSummaryACEv(),
umxSummaryDoC(),
umxSummaryGxEbiv(),
umxSummarySexLim(),
umxSummarySimplex(),
umxTwinMaker()
Examples
## Not run:
data(twinData)
# add to test must set FAMID umxDiscTwin(x = "ht", y = "wt", data = twinData, sep="")
tmp = umxDiscTwin(x = "ht", y = "wt", data = twinData, sep="", FAMID = "fam")
print(tmp, digits = 3)
## End(Not run)
Build and run a 2-group Direction of Causation twin models.
Description
Testing causal claims is often difficult due to an inability to conduct experimental randomization of traits and situations to people. When twins are available, even when measured on a single occasion, the pattern of cross-twin cross-trait correlations can (given distinguishable modes of inheritance for the two traits) falsify causal hypotheses.
umxDoC implements a 2-group model to form latent variables for each of two traits, and allows testing whether
trait 1 causes trait 2, vice-versa, or even reciprocal causation.
Using latent variables instead of a manifest measure for testing causation, avoids the bias created by differences in measurement error in which the more reliable measure appears to "cause" the less reliable one (Gillespie and Martin, 2005).
The following figure shows how the DoC model appears as a path diagram (for two latent variables X and Y, each with three indicators). Note: For pedagogical reasons, only the model for 1 twin is shown, and only one DoC pathway drawn.
Usage
umxDoC(
name = "DoC",
var1Indicators,
var2Indicators,
mzData = NULL,
dzData = NULL,
sep = "_T",
causal = TRUE,
autoRun = getOption("umx_auto_run"),
intervals = FALSE,
tryHard = c("no", "yes", "ordinal", "search"),
optimizer = NULL,
data = NULL,
zyg = "zygosity"
)
Arguments
name |
The name of the model (defaults to "DOC"). |
var1Indicators |
variables defining latent trait 1 |
var2Indicators |
variables defining latent trait 2 |
mzData |
The MZ dataframe |
dzData |
The DZ dataframe |
sep |
The separator in twin variable names, default = "_T", e.g. "dep_T1". |
causal |
whether to add the causal paths (default TRUE) |
autoRun |
Whether to run the model (default), or just to create it and return without running. |
intervals |
Whether to run mxCI confidence intervals (default = FALSE) |
tryHard |
Default ('no') uses normal mxRun. "yes" uses mxTryHard. Other options: "ordinal", "search" |
optimizer |
Optionally set the optimizer (default NULL does nothing). |
data |
= NULL If building the MZ and DZ datasets internally from a complete data set. |
zyg |
= "zygosity" (for the data= method of using this function) |
Value
-
OpenMx::mxModel()of subclass MxModelDoC
References
Gillespie, N.A. and Martin, N.G. (2005). Direction of Causation Models. In Encyclopedia of Statistics in Behavioral Science, 1. 496-499. Eds. Brian S. Everitt & David C. Howell.
McGue, M., Osler, M., & Christensen, K. (2010). Causal Inference and Observational Research: The Utility of Twins. Perspectives on Psychological Science, 5, 546-556. doi:10.1177/1745691610383511
Rasmussen, S. H. R., Ludeke, S., & Hjelmborg, J. V. B. (2019). A major limitation of the direction of causation model: non-shared environmental confounding. Twin Res Hum Genet, 22, 1-13. doi:10.1017/thg.2018.67
See Also
Other Twin Modeling Functions:
power.ACE.test(),
umx,
umxACE(),
umxACEcov(),
umxACEv(),
umxCP(),
umxDiffMZ(),
umxDiscTwin(),
umxDoCp(),
umxGxE(),
umxGxE_window(),
umxGxEbiv(),
umxIP(),
umxMRDoC(),
umxReduce(),
umxReduceACE(),
umxReduceGxE(),
umxRotate.MxModelCP(),
umxSexLim(),
umxSimplex(),
umxSummarizeTwinData(),
umxSummaryACE(),
umxSummaryACEv(),
umxSummaryDoC(),
umxSummaryGxEbiv(),
umxSummarySexLim(),
umxSummarySimplex(),
umxTwinMaker()
Examples
## Not run:
# ========================
# = Does Rain cause Mud? =
# ========================
# ================
# = 1. Load Data =
# ================
data(docData)
docData = umx_scale_wide_twin_data(c(var1, var2), docData, sep= "_T")
mzData = subset(docData, zygosity %in% c("MZFF", "MZMM"))
dzData = subset(docData, zygosity %in% c("DZFF", "DZMM"))
# =======================================
# = 2. Define manifests for var 1 and 2 =
# =======================================
var1 = paste0("varA", 1:3)
var2 = paste0("varB", 1:3)
# =======================================================
# = 3. Make the non-causal (Cholesky) and causal models =
# =======================================================
Chol = umxDoC(var1= var1, var2= var2, mzData= mzData, dzData= dzData, causal= FALSE)
# nb: DoC initially has causal paths fixed @0
DoC = umxDoC(var1= var1, var2= var2, mzData= mzData, dzData= dzData, causal= TRUE)
a2b = umxModify(DoC, "a2b", free = TRUE, name = "a2b"); summary(a2b)
b2a = umxModify(DoC, "b2a", free = TRUE, name = "b2a"); summary(b2a)
Recip = umxModify(DoC, c("a2b", "b2a"), free = TRUE, name = "Recip"); summary(Recip)
# Compare fits
umxCompare(Chol, c(a2b, b2a, Recip))
# ==========================================
# = Alternative call with data in one file =
# ==========================================
data(docData)
docData = umx_scale_wide_twin_data(c(var1, var2), docData, sep= "_T")
DoC = umxDoC(var1= paste0("varA", 1:3), var2= paste0("varB", 1:3),
mzData= c("MZFF", "MZMM"), dzData= c("DZFF", "DZMM"), data = docData
)
## End(Not run)
Make a direction of causation model based on umxPath statements
Description
Makes a direction of causation model with umxPath() statements
Usage
umxDoCp(
var1Indicators,
var2Indicators,
mzData = NULL,
dzData = NULL,
sep = "_T",
causal = TRUE,
name = "DoC",
autoRun = getOption("umx_auto_run"),
intervals = FALSE,
tryHard = c("no", "yes", "ordinal", "search"),
optimizer = NULL
)
Arguments
var1Indicators |
The indicators of trait 1 |
var2Indicators |
The indicators of trait 2 |
mzData |
The MZ twin dataframe |
dzData |
The DZ twin dataframe |
sep |
(Default "_T") |
causal |
(Default TRUE) |
name |
= "DoC" |
autoRun |
Default: getOption("umx_auto_run")_ |
intervals |
Whether to run intervals (Default FALSE) |
tryHard |
Default "no" (valid = "yes", "ordinal", "search") |
optimizer |
Whether to set this for this run (Default no)) |
Details
See also umxDoC()
Value
[A direction of causation model with
umxPath()statements.
See Also
Other Twin Modeling Functions:
power.ACE.test(),
umx,
umxACE(),
umxACEcov(),
umxACEv(),
umxCP(),
umxDiffMZ(),
umxDiscTwin(),
umxDoC(),
umxGxE(),
umxGxE_window(),
umxGxEbiv(),
umxIP(),
umxMRDoC(),
umxReduce(),
umxReduceACE(),
umxReduceGxE(),
umxRotate.MxModelCP(),
umxSexLim(),
umxSimplex(),
umxSummarizeTwinData(),
umxSummaryACE(),
umxSummaryACEv(),
umxSummaryDoC(),
umxSummaryGxEbiv(),
umxSummarySexLim(),
umxSummarySimplex(),
umxTwinMaker()
Examples
## Not run:
# ================
# = 1. Load Data =
# ================
data(docData)
var1 = paste0("varA", 1:3)
var2 = paste0("varB", 1:3)
tmp = umx_scale_wide_twin_data(varsToScale= c(var1, var2), sep= "_T", data= docData)
mzData = subset(docData, zygosity %in% c("MZFF", "MZMM"))
dzData = subset(docData, zygosity %in% c("DZFF", "DZMM"))
m1 = umxDoCp(var1, var2, mzData= mzData, dzData= dzData, sep = "_T", causal= TRUE)
## End(Not run)
FIML-based Exploratory Factor Analysis (EFA)
Description
Perform full-information maximum-likelihood factor analysis on a data matrix.
Usage
umxEFA(
x = NULL,
factors = NULL,
data = NULL,
scores = c("none", "ML", "WeightedML", "Regression"),
minManifests = NA,
rotation = c("varimax", "promax", "none"),
return = c("model", "loadings"),
report = c("markdown", "html"),
summary = FALSE,
name = "efa",
digits = 2,
tryHard = c("no", "yes", "ordinal", "search"),
n.obs = NULL,
covmat = NULL
)
Arguments
x |
Either 1: data, 2: Right-hand-side ~ formula , 3: Vector of variable names, or 4: Name for the model. |
factors |
Either number of factors to request or a vector of factor names. |
data |
A dataframe you are modeling. |
scores |
Type of scores to produce, if any. The default is none, "Regression" gives Thompson's scores. Other options are 'ML', 'WeightedML', Partial matching allows these names to be abbreviated. |
minManifests |
The least number of variables required to return a score for a participant (Default = NA). |
rotation |
A rotation to perform on the loadings (default = "varimax" (orthogonal)) |
return |
by default, the resulting MxModel is returned. Say "loadings" to get a fact.anal object. |
report |
Report as markdown to the console, or open a table in browser ("html") |
summary |
run |
name |
A name for your model (default = efa) |
digits |
rounding (default = 2) |
tryHard |
Default ('no') uses normal mxRun. "yes" uses mxTryHard. Other options: "ordinal", "search" |
n.obs |
Number of observations in if covmat provided (default = NA) |
covmat |
Covariance matrix of data you are modeling (not implemented) |
Details
As in factanal(), you need only specify the number of factors and offer up
some manifest data, e.g:
umxEFA(factors = 2, data = mtcars)
Equivalently, you can also give a list of factor names:
umxEFA(factors = c("g", "v"), data = mtcars)
The factor model is implemented as a structural equation model, e.g.
You can request scores from the model. Unlike factanal, these can cope with missing data.
You can also rotate the factors using any rotation function.
In an EFA, all items may load on all factors.
Should work with rotations provided in libs("GPArotation") and libs("psych"), e.g.,
Orthogonal: "varimax", "quartimax", "bentlerT", "equamax", "varimin", "geominT" and "bifactor" Oblique: "Promax", "promax", "oblimin", "simplimax", "bentlerQ", "geominQ", "biquartimin" and "cluster"
For identification we need m2 degrees of freedom. We get m(m+1)/2 from fixing factor variances to 1 and covariances to 0. We get another m(m-1)/2 degrees of freedom by fixing the upper-right hand corner of the factor loadings component of the A matrix at 0.
To aid optimization, manifest residual variances are lbounded at 0.
EFA reports standardized loadings: to do this, we scale the data.
note: Bear in mind that factor scores are indeterminate (can be rotated to an infinity of equivalent solutions).
Thanks to @ConorDolan for code implementing the rotation matrix and other suggestions!
Value
References
Hendrickson, A. E. and White, P. O. (1964). Promax: a quick method for rotation to orthogonal oblique structure. British Journal of Statistical Psychology, 17, 65–70. doi:10.1111/j.2044-8317.1964.tb00244.x.
Kaiser, H. F. (1958). The varimax criterion for analytic rotation in factor analysis. Psychometrika, 23, 187–200. doi:10.1007/BF02289233.
See Also
Other Super-easy helpers:
umx,
umxTwoStage()
Examples
## Not run:
myVars = c("mpg", "disp", "hp", "wt", "qsec")
m1 = umxEFA(mtcars[, myVars], factors = 2, rotation = "promax")
# By default, returns the model
umx_is_MxModel(m1) # TRUE
# The loadings are stashed in the model:
loadings(m1)
# Formula interface in umxEFA
m2 = umxEFA(~ mpg + disp + hp + wt + qsec, factors = 2, rotation = "promax", data = mtcars)
loadings(m2)
# base-R factanal Formula interface for comparison
m2 = factanal(~ mpg + disp + hp + wt + qsec, factors = 2, rotation = "promax", data = mtcars)
loadings(m2)
# Return the loadings object
x = umxEFA(mtcars[, myVars], factors = 2, return = "loadings")
names(x) # "loadings" "rotmat"
# scores requested, so these will be returned
x = umxEFA(name = "score", factors = "g", data = mtcars[, myVars], scores= "Regression")
head(x)
# g
# 1 -0.48059346
# 2 -0.42354000
# 3 -0.87078110
m1 = umxEFA(myVars, factors = 2, data = mtcars, rotation = "promax")
m1 = umxEFA(name = "named", factors = "g", data = mtcars[, myVars])
m1 = umxEFA(name = "by_number", factors = 2, rotation = "promax", data = mtcars[, myVars])
## End(Not run)
umxEquate: Equate two or more paths
Description
In addition to dropping or adding parameters, a second common task in modeling is to equate parameters. umx provides a convenience function to equate parameters by setting one or more parameters (the "slave" set) equal to one or more "master" parameters. These parameters are picked out via their labels, and setting two or more parameters to have the same value is accomplished by setting the slave(s) to have the same label(s) as the master parameters, thus constraining them to take the same value during model fitting.
Usage
umxEquate(
model,
a,
b,
newlabels = NULL,
free = c(TRUE, FALSE, NA),
verbose = FALSE,
name = NULL,
autoRun = FALSE,
tryHard = c("no", "yes", "ordinal", "search"),
comparison = TRUE,
master = NULL,
slave = NULL
)
Arguments
model |
An |
a |
one or more labels to equate with those in the "b" set. |
b |
one or more labels to equate with those in the 'a' set. (if 'newlabels' is NULL, labels will be set to 'a' list). |
newlabels |
(optional) list of new labels for the equated parameters. |
free |
Must the parameter(s) initially be free? (default = TRUE) |
verbose |
Whether to give verbose feedback (default = TRUE) |
name |
name for the returned model (optional: Leave empty to leave name unchanged) |
autoRun |
Whether to run the model (default), or just to create it and return without running. |
tryHard |
Default ('no') uses normal mxRun. "yes" uses mxTryHard. Other options: "ordinal", "search" |
comparison |
Compare the new model to the old (if updating an existing model: default = TRUE) |
master |
synonym for 'a' |
slave |
synonym for 'b' |
Details
note: In addition to using this method to equating parameters, you can also equate one parameter to another by setting its label to the "square bracket" address of the master, e.g. "a[r,c]".
Tip: To find labels of free parameters use umxGetParameters()
with free = TRUE
Tip: To find labels by name, use the regex parameter of umxGetParameters()
Value
References
See Also
Other Model Summary and Comparison:
umx,
umxCompare(),
umxMI(),
umxReduce(),
umxSetParameters(),
umxSummary()
Examples
## Not run:
require(umx)
data(demoOneFactor)
manifests = names(demoOneFactor)
m1 = umxRAM("One Factor", data = demoOneFactor, type = "cov",
umxPath("G", to = manifests),
umxPath(var = manifests),
umxPath(var = "G", fixedAt = 1)
)
# By default, umxEquate just equates master and slave labels: doesn't run model
m2 = umxEquate(m1, a = "G_to_x1", b = "G_to_x2", name = "Eq x1 x2 loadings")
# Set autoRun = TRUE and comparison = TRUE to run and output a comparison
m2 = umxEquate(m1, autoRun = TRUE, comparison = TRUE, name = "Eq_x1_x2",
a = "G_to_x1", b = "G_to_x2"
)
# rename the equated paths
m2 = umxEquate(m1, autoRun = TRUE, comparison = TRUE, name = "Eq_x1_x2",
a = "G_to_x1", b = "G_to_x2", newlabels = c("equated")
)
parameters(m2)
## End(Not run)
Example code from Twin Research and Human Genetics Paper on umx
Description
This is the example code used in our Twin Research and Human Genetics Paper on umx
Usage
umxExamples()
References
Bates, T. C., Neale, M. C., & Maes, H. H. (2019). umx: A library for Structural Equation and Twin Modelling in R. Twin Research and Human Genetics, 22, 27-41. doi:10.1017/thg.2019.2.
See Also
Examples
## Not run:
# ==========================================================================
# = Example code from Twin Research and Human Genetics Paper on umx(model) =
# ==========================================================================
# Installing umx can be done using the R-code:
install.packages("umx")
# load as usual
library("umx")
# The current package version can be shown with:
umxVersion("umx")
# Get the latest NPSOL and multi-core build of OpenMx
install.OpenMx("NPSOL")
# Bleeding edge version of OpenMx for MacOS
install.OpenMx("travis")
# ============
# = CFA Code =
# ============
# Load the umx library (this is assumed in subsequent examples
library("umx")
# Load demo data consisting of 5 correlated variables, x1:x5
data(demoOneFactor)
# Create a list of the manifest variables for use in specifying the model
manifests = paste0("x", 1:5) # 'x1', 'x2', ...'x5'
# Create model cfa1, with name 'CFA', data demoOneFactor, and the CFA paths.
cfa1 = umxRAM("CFA", data = demoOneFactor,
# Create latent variable 'G', with fixed variance of 1 and mean of 0
umxPath(v1m0 = "G"),
# Create 5 manifest variables, x1:x5, with free variance and mean
umxPath(v.m. = manifests),
# Create 1-headed paths from G to each of the manifests
umxPath("G", to = manifests)
)
# ====================
# = Parameter labels =
# ====================
x = xmuLabel(mxMatrix(name="means", "Full", ncol = 2, nrow = 2))
x$labels
# ========
# = Plot =
# ========
plot(cfa1, means = FALSE, fixed = TRUE)
plot(cfa1, std = TRUE, digits = 3, resid= 'line')
m1 = umxRAM("play", data = c("A", "B", "C"),
umxPath(unique.pairs = c("A", "B", "C"))
)
# ==============================================
# = Inspecting model parameters and residuals. =
# ==============================================
# Show parameters, below .1, with label containing `x2'
parameters(cfa1, "above", .5, pattern= "x2")
residuals(cfa1, suppress = .005)
# ==================================
# = Modifying and comparing models =
# ==================================
# Variable names in the Duncan data
dimnames = c("RespOccAsp", "RespEduAsp", "RespParAsp", "RespIQ", "RespSES",
"FrndOccAsp", "FrndEduAsp", "FrndParAsp", "FrndIQ", "FrndSES")
# lower-triangle of correlations among these variables
tmp = c(
0.6247,
0.2137, 0.2742,
0.4105, 0.4043, 0.1839,
0.3240, 0.4047, 0.0489, 0.2220,
0.3269, 0.3669, 0.1124, 0.2903, 0.3054,
0.4216, 0.3275, 0.0839, 0.2598, 0.2786, 0.6404,
0.0760, 0.0702, 0.1147, 0.1021, 0.0931, 0.2784, 0.1988,
0.2995, 0.2863, 0.0782, 0.3355, 0.2302, 0.5191, 0.5007, 0.2087,
0.2930, 0.2407, 0.0186, 0.1861, 0.2707, 0.4105, 0.3607, -0.0438, 0.2950
)
# Use the umx_lower2full function to create a full correlation matrix
duncanCov = umx_lower2full(tmp, diag = FALSE, dimnames = dimnames)
# Turn the duncan data into an mxData object for the model
duncanCov = mxData(duncanCov, type = "cov", numObs = 300)
respondentFormants = c("RespSES", "FrndSES", "RespIQ", "RespParAsp")
friendFormants = c("FrndSES", "RespSES", "FrndIQ", "FrndParAsp")
latentAspiration = c("RespLatentAsp", "FrndLatentAsp")
respondentOutcomeAsp = c("RespOccAsp", "RespEduAsp")
friendOutcomeAsp = c("FrndOccAsp", "FrndEduAsp")
duncan1 = umxRAM("Duncan", data = duncanCov,
# Working from the left of the model, as laid out in the figure, to right...
# 1. Add all distinct paths between variables to allow the
# exogenous manifests to covary with each other.
umxPath(unique.bivariate = c(friendFormants, respondentFormants)),
# 2. Add variances for the exogenous manifests,
# These are assumed to be error-free in this model,
# and are fixed at their known value).
umxPath(var = c(friendFormants, respondentFormants), fixedAt = 1),
# 3. Paths from IQ, SES, and parental aspiration
# to latent aspiration for Respondents:
umxPath(respondentFormants, to = "RespLatentAsp"),
# And same for friends
umxPath(friendFormants, to = "FrndLatentAsp"),
# 4. Add residual variance for the two aspiration latent traits.
umxPath(var = latentAspiration),
# 5. Allow the latent traits each influence the other.
# This is done using fromEach, and the values are
# bounded to improve stability.
# note: Using one-label would equate these 2 influences
umxPath(fromEach = latentAspiration, lbound = 0, ubound = 1),
# 6. Allow latent aspiration to affect respondent's
# occupational & educational aspiration.
# note: firstAt = 1 is used to provide scale to the latent variables.
umxPath("RespLatentAsp", to = respondentOutcomeAsp, firstAt = 1),
# And their friends
umxPath("FrndLatentAsp", to = friendOutcomeAsp, firstAt = 1),
# 7. Finally, on the right hand side of figure, we add
# residual variance for the endogenous manifests.
umxPath(var = c(respondentOutcomeAsp, friendOutcomeAsp))
)
# ====================
# = Modifying models =
# ====================
# Collect a list of paths to drop
pathList = c("RespLatentAsp_to_FrndLatentAsp", "FrndLatentAsp_to_RespLatentAsp")
# Modify the model duncan1, requesting a comparison table:
duncan2 = umxModify(duncan1, update = pathList, name = "No_influence", comparison = TRUE)
# An example using regex, to drop all paths beginning "G_to_"
cfa2 = umxModify(cfa1, regex = "^G_to.*")
# ====================
# = Comparing models =
# ====================
umxCompare(duncan1, duncan2, report = "inline")
# To open the output as an html table in a browser, say:
umxCompare(duncan1, duncan2, report = "html")
# =============================
# = Equating model parameters =
# =============================
parameters(duncan1, pattern = "IQ_to_")
duncan3 = umxModify(duncan1, name = "Equate IQ effect", comparison = TRUE,
master = "RespIQ_to_RespLatentAsp",
update = "FrndIQ_to_FrndLatentAsp"
)
# ================
# = ACE examples =
# ================
require(umx);
# open the built in dataset of Australian height and weight twin data
data("twinData")
selDVs = c("wt")
dz = twinData[twinData$zygosity == "DZFF", ]
mz = twinData[twinData$zygosity == "MZFF", ]
ACE1 = umxACE(selDVs = selDVs, dzData = dz, mzData = mz, sep = "")
ACE2 = umxModify(ACE1, update = "c_r1c1", name = "dropC")
umxSummary(ACE1, std = FALSE, report = 'html', digits = 3, comparison = ACE2)
parameters(ACE1)
ACE2 = umxModify(ACE1, update = "c_r1c1", name = "dropC")
# ================================
# = Example Common Pathway model =
# ================================
# load twin data built into umx
data("twinData")
# Selecting the 'ht' and 'wt' variables
selDVs = c("ht", "wt")
mzData = subset(twinData, zygosity == "MZFF",)
dzData = subset(twinData, zygosity == "DZFF",)
# Run and report a common-pathway model
CP1 = umxCP(selDVs = selDVs, dzData = dzData, mzData = mzData, suffix = "")
paths = c("c_cp_r1c1", "cs_r1c1", "cs_r2c2")
CP2 = umxModify(CP1, update = paths, name = "dropC", comparison = TRUE)
CP2 = umxModify(CP1, regex = "(^cs_)|(^c_cp_)", name = "dropC")
umxSummary(CP2, comparison = CP1)
# ====================================
# = Example Gene x environment model =
# ====================================
data("twinData")
twinData$age1 = twinData$age2 = twinData$age
# Define the DV and definition variables
selDVs = c("bmi1", "bmi2")
selDefs = c("age1", "age2")
selVars = c(selDVs, selDefs)
# Create datasets
mzData = subset(twinData, zygosity == "MZFF")
dzData = subset(twinData, zygosity == "DZFF")
# Build, run and report the GxE model using selected DV and moderator
# umxGxE will remove and report rows with missing data in definition variables.
GE1 = umxGxE(selDVs = selDVs, selDefs = selDefs,
dzData = dzData, mzData = mzData, dropMissingDef = TRUE)
# Shift the legend to the top right
umxSummary(GE1, location = "topright")
# plot standardized and raw output in separate graphs
umxSummary(GE1, separateGraphs = TRUE)
GE2 = umxModify(GE1, update = "am_r1c1", comparison = TRUE)
umxReduce(GE1)
# =================================
# = Example GxE windowed analysis =
# =================================
require(umx);
data("twinData")
mod = "age"
selDVs = c("bmi1", "bmi2")
# select the younger cohort of twins
tmpTwin = twinData[twinData$cohort == "younger", ]
# Drop twins with missing moderator
tmpTwin = tmpTwin[!is.na(tmpTwin[mod]), ]
mzData = subset(tmpTwin, zygosity == "MZFF", c(selDVs, mod))
dzData = subset(tmpTwin, zygosity == "DZFF", c(selDVs, mod))
# toggle autoplot off, so we don't plot every level of the moderator
umx_set_auto_plot(FALSE)
umxGxE_window(selDVs = selDVs, moderator = mod, mzData = mzData, dzData = dzData)
umx_set_auto_plot(TRUE)
## End(Not run)
Get the expected vcov matrix
Description
Extract the expected covariance matrix from an OpenMx::mxModel()
Usage
umxExpCov(object, latents = FALSE, manifests = TRUE, digits = NULL, ...)
Arguments
object |
an |
latents |
Whether to select the latent variables (defaults to TRUE) |
manifests |
Whether to select the manifest variables (defaults to TRUE) |
digits |
precision of reporting. NULL (Default) = no rounding. |
... |
extra parameters (to match |
Value
expected covariance matrix
See Also
Other Reporting functions:
RMSEA(),
RMSEA.MxModel(),
RMSEA.summary.mxmodel(),
extractAIC.MxModel(),
loadings(),
loadings.MxModel(),
residuals.MxModel(),
tmx_show(),
tmx_show.MxMatrix(),
umxCI(),
umxCI_boot(),
umxConfint(),
umxExpMeans(),
umxFitIndices(),
umxRotate()
Examples
## Not run:
require(umx)
data(demoOneFactor)
manifests = names(demoOneFactor)
m1 = umxRAM("One Factor", data = demoOneFactor, type = "cov",
umxPath("G", to = manifests),
umxPath(var = manifests),
umxPath(var = "G", fixedAt = 1)
)#'
vcov(m1) # supplied by OpenMx
umxExpCov(m1, digits = 3)
## End(Not run)
Extract the expected means matrix from an OpenMx::mxModel()
Description
Extract the expected means matrix from an OpenMx::mxModel()
Usage
umxExpMeans(model, manifests = TRUE, latents = NULL, digits = NULL)
Arguments
model |
an |
manifests |
Whether to select the manifest variables (defaults to TRUE) |
latents |
Whether to select the latent variables (defaults to TRUE) |
digits |
precision of reporting. Default (NULL) will not round at all. |
Value
expected means
See Also
Other Reporting functions:
RMSEA(),
RMSEA.MxModel(),
RMSEA.summary.mxmodel(),
extractAIC.MxModel(),
loadings(),
loadings.MxModel(),
residuals.MxModel(),
tmx_show(),
tmx_show.MxMatrix(),
umxCI(),
umxCI_boot(),
umxConfint(),
umxExpCov(),
umxFitIndices(),
umxRotate()
Examples
## Not run:
require(umx)
data(demoOneFactor)
manifests = names(demoOneFactor)
m1 = umxRAM("One Factor", data = demoOneFactor,
umxPath("G", to = manifests),
umxPath(v.m. = manifests),
umxPath(v1m0 = "G")
)
umxExpMeans(m1)
umxExpMeans(m1, digits = 3)
## End(Not run)
umxFactor
Description
A convenient version of OpenMx::mxFactor() supporting the common
case in which the factor levels are those in the variable.
Usage
umxFactor(
x = character(),
levels = NULL,
labels = levels,
exclude = NA,
ordered = TRUE,
collapse = FALSE,
verbose = FALSE,
sep = NA
)
Arguments
x |
A variable to recode as an mxFactor (see |
levels |
(default NULL). Like |
labels |
= levels (see |
exclude |
= NA (see |
ordered |
= TRUE By default return an ordered mxFactor |
collapse |
= FALSE (see |
verbose |
Whether to tell user about such things as coercing to factor |
sep |
If twin data are being used, the string that separates the base from twin index will try and ensure factor levels same across all twins. |
Value
References
See Also
Other Data Functions:
noNAs(),
prolific_anonymize(),
prolific_check_ID(),
prolific_read_demog(),
umx,
umxHetCor(),
umx_as_numeric(),
umx_cont_2_quantiles(),
umx_lower2full(),
umx_make_MR_data(),
umx_make_TwinData(),
umx_make_fake_data(),
umx_make_raw_from_cov(),
umx_merge_randomized_columns(),
umx_polychoric(),
umx_polypairwise(),
umx_polytriowise(),
umx_read_lower(),
umx_rename(),
umx_reorder(),
umx_score_scale(),
umx_select_valid(),
umx_stack(),
umx_strings2numeric()
Examples
umxFactor(letters)
umxFactor(letters, verbose = TRUE) # report coercions
umxFactor(letters, ordered = FALSE) # non-ordered factor like factor(x)
# Dataframe example:
x = umx_factor(mtcars[,c("cyl", "am")], ordered = FALSE); str(x)
# =================
# = Twin example: =
# =================
data(twinData)
tmp = twinData[, c("bmi1", "bmi2")]
tmp$bmi1[tmp$bmi1 <= 22] = 22
tmp$bmi2[tmp$bmi2 <= 22] = 22
# remember to factor _before_ breaking into MZ and DZ groups
x = umxFactor(tmp, sep = ""); str(x)
xmu_check_levels_identical(x, "bmi", sep="")
# Simple example to check behavior
x = round(10 * rnorm(1000, mean = -.2))
y = round(5 * rnorm(1000))
x[x < 0] = 0; y[y < 0] = 0
jnk = umxFactor(x); str(jnk)
df = data.frame(x = x, y = y)
jnk = umxFactor(df); str(jnk)
Return factor scores from a model as an easily consumable dataframe.
Description
umxFactorScores takes a model, and computes factors scores using the selected method (one of 'ML', 'WeightedML', or 'Regression') It is a simple wrapper around mxFactorScores. For missing data, you must specify the least number of variables allowed for a score (subjects with fewer than minManifests will return a score of NA.
Usage
umxFactorScores(
model,
type = c("ML", "WeightedML", "Regression"),
minManifests = NA,
return = c("Scores", "StandardErrors")
)
Arguments
model |
The model from which to generate scores. |
type |
Method of computing the score ('ML', 'WeightedML', or 'Regression'). |
minManifests |
The minimum number of variables not NA to return a score for a participant (Default = ask). |
return |
What to return (defaults to "Scores", which is what most users want, but can return "StandardErrors" on each score. |
Value
dataframe of scores.
References
See Also
Other Reporting Functions:
umx,
umxAPA(),
umxGetLatents(),
umxGetManifests(),
umxGetModel(),
umxGetParameters(),
umxParameters(),
umx_aggregate(),
umx_time()
Examples
## Not run:
m1 = umxEFA(mtcars, factors = 2)
x = umxFactorScores(m1, type = 'Regression', minManifests = 3)
# =========================================================================
# = histogram of F1 and plot of F1 against F2 showing they are orthogonal =
# =========================================================================
hist(x$F1)
plot(F1 ~ F2, data = x)
m1 = umxEFA(mtcars, factors = 1)
x = umxFactorScores(m1, type = 'Regression', minManifests = 3)
x
## End(Not run)
Get additional fit-indices for a model with umxFitIndices
Description
Computes a variety of fit indices.
Usage
umxFitIndices(model, ...)
Arguments
model |
The |
... |
Additional parameters passed to |
Details
Note: This function is currently not robust across multi-group designs or definition variables. It is designed to provide residual-based fit indices (SRMR, CRMR, SMAR, CMAR, etc.) and less-often reported fit indices where Reviewer 2 wants something other than CFA/TLI/RMSEA.
Fit information reported includes:
Model characteristics: numObs, estimated parameters, observed statistics, observed summary statistics, -2*log(Likelihood), degrees of freedom
Chi-squared test: Chi, ChiDoF, p (of Chi), ChiPerDoF,
Noncentrality-based indices: RMSEA, RMSEACI, RMSEANull, RMSEAClose (p value), independenceRMSEA, NCP, NCPCI, F0, F0CI, Mc (aka NCI, MFI)
Comparative fit indices: TLI (aka NNFI), CFI, IFI, PRATIO, PCFI
Residual-based indices: RMR, SRMR, SRMR_mplus, CRMR, MAR, SMAR, SMAR_mplus, CMAR
Information-theory criteria (computed using chi-square or -2LL; df or parameters penalties) AIC, AICc, BIC, SABIC, CAIC, BCC ECVI, ECVICI, MECVI, MECVICI
LISREL and other early fit indices (we recommend not reporting these) GFI, AGFI, PGFI, GH, NFI, PNFI, RFI
Want more? Open an Issue at GitHub.
Value
List of fit statistics
Author(s)
Brenton M. Wiernik, Athanassios Protopapas, Paolo Ghisletta, Markus Brauer
See Also
Other Reporting functions:
RMSEA(),
RMSEA.MxModel(),
RMSEA.summary.mxmodel(),
extractAIC.MxModel(),
loadings(),
loadings.MxModel(),
residuals.MxModel(),
tmx_show(),
tmx_show.MxMatrix(),
umxCI(),
umxCI_boot(),
umxConfint(),
umxExpCov(),
umxExpMeans(),
umxRotate()
Examples
## Not run:
library(umx)
data(demoOneFactor)
latents = c("G")
manifests = names(demoOneFactor)
m1 = umxRAM("One Factor",
data = mxData(cov(demoOneFactor), type = "cov", numObs = 500),
umxPath(latents, to = manifests),
umxPath(var = manifests),
umxPath(var = latents, fixedAt = 1)
)
umxFitIndices(m1)
# And with raw data
m2 = umxRAM("m1", data = demoOneFactor,
umxPath(latents, to = manifests),
umxPath(v.m. = manifests),
umxPath(v1m0 = latents)
)
umxFitIndices(m1, refModels = mxRefModels(m2, run = TRUE))
## End(Not run)
umxFixAll: Fix all free parameters
Description
Fix all free parameters in a model using omxGetParameters()
Usage
umxFixAll(model, name = "_fixed", run = FALSE, verbose = FALSE)
Arguments
model |
an |
name |
optional new name for the model. if you begin with a _ it will be made a suffix |
run |
whether to fix and re-run the model, or just return it (defaults to FALSE) |
verbose |
whether to mention how many paths were fixed (default is FALSE) |
Value
the fixed
OpenMx::mxModel()
References
See Also
Other Advanced Model Building Functions:
umx,
umxAlgebra(),
umxJiggle(),
umxRun(),
umxThresholdMatrix(),
umxUnexplainedCausalNexus(),
xmuLabel(),
xmuValues()
Examples
## Not run:
require(umx)
data(demoOneFactor)
manifests = names(demoOneFactor)
m1 = umxRAM("OneFactor", data = demoOneFactor, type = "cov",
umxPath("G", to = manifests),
umxPath(var = manifests),
umxPath(var = "G", fixedAt = 1)
)
m2 = umxFixAll(m1, run = TRUE, verbose = TRUE)
mxCompare(m1, m2)
## End(Not run)
Get the latentVars from a RAM model
Description
Get the latentVars from a RAM model, optionally targeting a submodel.
Usage
umxGetLatents(model, targetModel = NULL)
Arguments
model |
a |
targetModel |
name of the model to extract from |
Value
variables
See Also
Other Reporting Functions:
umx,
umxAPA(),
umxFactorScores(),
umxGetManifests(),
umxGetModel(),
umxGetParameters(),
umxParameters(),
umx_aggregate(),
umx_time()
Examples
## Not run:
library(umx)
# Create two sets of data in which X & Y correlate ~ .4 in both datasets.
manifests = c("x", "y")
tmp = umx_make_TwinData(nMZpairs = 100, nDZpairs = 150,
AA = 0, CC = .4, EE = .6, varNames = manifests)
grp1 = tmp[tmp$zygosity == "MZ", manifests]
g1Data = mxData(cov(grp1), type = "cov", numObs = nrow(grp1), means=umx_means(grp1))
grp2 = tmp[tmp$zygosity == "DZ", manifests]
g2Data = mxData(cov(grp2), type = "cov", numObs = nrow(grp2), means=umx_means(grp2))
# Model 1 (could add autoRun = FALSE if you don't want to run this as it is being built)
m1 = umxRAM("m1", data = g1Data,
umxPath("x", to = "y", labels = "beta"),
umxPath(var = manifests, labels = c("Var_x", "Resid_y_grp1")),
umxPath(means = manifests, labels = c("Mean_x", "Mean_y"))
)
# Model 2
m2 = umxRAM("m2", data = g2Data,
umxPath("x", to = "y", labels = "beta"),
umxPath(var = manifests, labels=c("Var_x", "Resid_y_grp2")),
umxPath(means = manifests, labels=c("Mean_x", "Mean_y"))
)
m3 = umxSuperModel('top', m1, m2)
umxGetLatents(m3)
umxGetLatents(m3, targetModel = "m1")
## End(Not run)
Get the manifestVars from a RAM model
Description
Get the latentVars from a RAM model, optionally targeting a submodel.
Usage
umxGetManifests(model, targetModel = NULL)
Arguments
model |
a |
targetModel |
name of the model to extract from |
Value
variables
See Also
Other Reporting Functions:
umx,
umxAPA(),
umxFactorScores(),
umxGetLatents(),
umxGetModel(),
umxGetParameters(),
umxParameters(),
umx_aggregate(),
umx_time()
Examples
## Not run:
library(umx)
# Create two sets of data in which X & Y correlate ~ .4 in both datasets.
manifests = c("x", "y")
tmp = umx_make_TwinData(nMZpairs = 100, nDZpairs = 150,
AA = 0, CC = .4, EE = .6, varNames = manifests)
grp1 = tmp[tmp$zygosity == "MZ", manifests]
g1Data = mxData(cov(grp1), type = "cov", numObs = nrow(grp1), means=umx_means(grp1))
grp2 = tmp[tmp$zygosity == "DZ", manifests]
g2Data = mxData(cov(grp2), type = "cov", numObs = nrow(grp2), means=umx_means(grp2))
# Model 1 (could add autoRun = FALSE if you don't want to run this as it is being built)
m1 = umxRAM("m1", data = g1Data,
umxPath("x", to = "y", labels = "beta"),
umxPath(var = manifests, labels = c("Var_x", "Resid_y_grp1")),
umxPath(means = manifests, labels = c("Mean_x", "Mean_y"))
)
# Model 2
m2 = umxRAM("m2", data = g2Data,
umxPath("x", to = "y", labels = "beta"),
umxPath(var = manifests, labels=c("Var_x", "Resid_y_grp2")),
umxPath(means = manifests, labels=c("Mean_x", "Mean_y"))
)
m3 = umxSuperModel('top', m1, m2)
umxGetManifests(m3)
umxGetManifests(m3, targetModel = "m1")
## End(Not run)
Used to get a RAM submodel by name
Description
Get any model from a RAM model, including submodels.
Usage
umxGetModel(model, targetModel = NULL)
Arguments
model |
a |
targetModel |
name of the model to extract from |
Value
model
See Also
Other Reporting Functions:
umx,
umxAPA(),
umxFactorScores(),
umxGetLatents(),
umxGetManifests(),
umxGetParameters(),
umxParameters(),
umx_aggregate(),
umx_time()
Examples
## Not run:
library(umx)
# Create two sets of data in which X & Y correlate ~ .4 in both datasets.
manifests = c("x", "y")
tmp = umx_make_TwinData(nMZpairs = 100, nDZpairs = 150,
AA = 0, CC = .4, EE = .6, varNames = manifests)
grp1 = tmp[tmp$zygosity == "MZ", manifests]
g1Data = mxData(cov(grp1), type = "cov", numObs = nrow(grp1), means=umx_means(grp1))
grp2 = tmp[tmp$zygosity == "DZ", manifests]
g2Data = mxData(cov(grp2), type = "cov", numObs = nrow(grp2), means=umx_means(grp2))
# Model 1 (could add autoRun = FALSE if you don't want to run this as it is being built)
m1 = umxRAM("m1", data = g1Data,
umxPath("x", to = "y", labels = "beta"),
umxPath(var = manifests, labels = c("Var_x", "Resid_y_grp1")),
umxPath(means = manifests, labels = c("Mean_x", "Mean_y"))
)
# Model 2
m2 = umxRAM("m2", data = g2Data,
umxPath("x", to = "y", labels = "beta"),
umxPath(var = manifests, labels = c("Var_x", "Resid_y_grp2")),
umxPath(means = manifests, labels = c("Mean_x", "Mean_y"))
)
m3 = umxSuperModel('top', m1, m2)
umxGetModel(m3)
umxGetModel(m3, targetModel = "m1")
## End(Not run)
Get parameters from a model, with support for pattern matching!
Description
umxGetParameters retrieves parameter labels from a model, like OpenMx::omxGetParameters().
However, it is supercharged with regular expressions, so you can get labels that match a pattern.
Usage
umxGetParameters(
inputTarget,
regex = NA,
free = NA,
fetch = c("labels", "values", "free", "lbound", "ubound", "all"),
verbose = FALSE
)
Arguments
inputTarget |
An object to get parameters from: could be a RAM |
regex |
A regular expression to filter the labels. Default (NA) returns all labels. If vector, treated as raw labels to find. |
free |
A Boolean determining whether to return only free parameters. |
fetch |
What to return: "labels" (default) or "values", "free", "lbound", "ubound", or "all" |
verbose |
How much feedback to give |
Details
In addition, if regex contains a vector, this is treated as a list of raw labels to search for, and return if all are found. note: To return all labels, just leave regex as is.
References
See Also
OpenMx::omxGetParameters(), parameters()
Other Reporting Functions:
umx,
umxAPA(),
umxFactorScores(),
umxGetLatents(),
umxGetManifests(),
umxGetModel(),
umxParameters(),
umx_aggregate(),
umx_time()
Examples
## Not run:
require(umx)
data(demoOneFactor)
manifests = names(demoOneFactor)
m1 = umxRAM("One Factor", data = demoOneFactor, type = "cov",
umxPath("G", to = manifests),
umxPath(var = manifests),
umxPath(var = "G", fixedAt = 1)
)
# Show all parameters
umxGetParameters(m1)
umxGetParameters(m1, free = TRUE) # Only free parameters
umxGetParameters(m1, free = FALSE) # Only fixed parameters
# Complex regex pattern
umxGetParameters(m1, regex = "x[1-3]_with_x[2-5]", free = TRUE)
## End(Not run)
umxGxE: Implements ACE models with moderation of paths, e.g. by SES.
Description
Make a 2-group GxE (moderated ACE) model (Purcell, 2002). GxE interaction studies test the hypothesis that the strength of genetic (or environmental) influence varies parametrically (usually linear effects on path estimates) across levels of environment. umxGxE allows detecting, testing, and visualizing G xE (or C or E x E) interaction forms.
Usage
umxGxE(
name = "G_by_E",
selDVs,
selDefs,
dzData,
mzData,
sep = NULL,
data = NULL,
zyg = "zygosity",
digits = 3,
lboundACE = NA,
lboundM = NA,
dropMissingDef = TRUE,
dzAr = 0.5,
dzCr = 1,
autoRun = getOption("umx_auto_run"),
tryHard = c("no", "yes", "ordinal", "search"),
optimizer = NULL
)
Arguments
name |
The name of the model (default= "G_by_E") |
selDVs |
The dependent variable (e.g. "IQ") |
selDefs |
The definition variable (e.g. "SES") |
dzData |
The DZ dataframe containing the Twin 1 and Twin 2 DV and moderator (4 columns) |
mzData |
The MZ dataframe containing the Twin 1 and Twin 2 DV and moderator (4 columns) |
sep |
How to expand selDVs into full names, i.e., "_T" makes "var" -> "var_T1" and "var_T2" |
data |
If provided, dzData and mzData are treated as valid levels of zyg to select() data sets (default = NULL) |
zyg |
If data provided, this column is used to select rows by zygosity (Default = "zygosity") |
digits |
Rounding precision for tables (default 3) |
lboundACE |
If not NA, then lbound the main effects at this value (default = NA, can help to set this to 0) |
lboundM |
If not NA, then lbound the moderator effects at this value (default = NA, can help to set this to 0) |
dropMissingDef |
Whether to automatically drop missing def var rows for the user (default = TRUE). You get a polite note. |
dzAr |
The DZ genetic correlation (defaults to .5, vary to examine assortative mating). |
dzCr |
The DZ "C" correlation (defaults to 1: set to .25 to make an ADE model). |
autoRun |
Optionally run the model (default), or just to create it and return without running. |
tryHard |
Optionally tryHard to get the model to converge (Default = 'no'). "yes" uses mxTryHard. Other options: "ordinal", "search". |
optimizer |
Optionally set the optimizer (default NULL does nothing) |
Details
The following figure the GxE model as a path diagram:
Value
References
Purcell, S. (2002). Variance components models for gene-environment interaction in twin analysis. Twin Research, 6, 554-571. doi:10.1375/twin.5.6.554
See Also
umxGxE_window(), umxReduce(), umxSummary()
Other Twin Modeling Functions:
power.ACE.test(),
umx,
umxACE(),
umxACEcov(),
umxACEv(),
umxCP(),
umxDiffMZ(),
umxDiscTwin(),
umxDoC(),
umxDoCp(),
umxGxE_window(),
umxGxEbiv(),
umxIP(),
umxMRDoC(),
umxReduce(),
umxReduceACE(),
umxReduceGxE(),
umxRotate.MxModelCP(),
umxSexLim(),
umxSimplex(),
umxSummarizeTwinData(),
umxSummaryACE(),
umxSummaryACEv(),
umxSummaryDoC(),
umxSummaryGxEbiv(),
umxSummarySexLim(),
umxSummarySimplex(),
umxTwinMaker()
Examples
## Not run:
require(umx)
data(twinData)
twinData$age1 = twinData$age2 = twinData$age
selDVs = "bmi"
selDefs = "age"
mzData = subset(twinData, zygosity == "MZFF")[1:100,]
dzData = subset(twinData, zygosity == "DZFF")[1:100,]
m1 = umxGxE(selDVs= "bmi", selDefs= "age", sep= "", dzData= dzData, mzData= mzData, tryHard= "yes")
# Select the data on the fly with data= and zygosity levels
m1 = umxGxE(selDVs= "bmi", selDefs= "age", sep="", dzData= "DZFF", mzData= "MZFF", data= twinData)
# ===============================================================
# = example with Twins having different values of the moderator =
# ===============================================================
twinData$age1 = twinData$age2 = twinData$age
tmp = twinData
tmp$age2 = tmp$age2 +rnorm(n=length(tmp$age2))
selDVs = "bmi"
selDefs = "age"
mzData = subset(tmp, zygosity == "MZFF")
dzData = subset(tmp, zygosity == "DZFF")
m1 = umxGxE(selDVs= "bmi", selDefs= "age", sep= "", dzData= dzData, mzData= mzData, tryHard= "yes")
# ====================================
# = Controlling output of umxSummary =
# ====================================
umxSummaryGxE(m1)
umxSummary(m1, location = "topright")
umxSummary(m1, separateGraphs = TRUE)
m2 = umxModify(m1, regex = "am_.*", comparison = TRUE, tryHard = "yes")
# umxReduce knows how to test all relevant hypotheses for GxE models,
# reporting these in a nice table.
umxReduce(m1)
## End(Not run)
Implement the moving-window form of GxE analysis.
Description
Make a 2-group GxE (moderated ACE) model using LOSEM. In GxE interaction studies, typically, the hypothesis that the strength of genetic influence varies parametrically (usually linear effects on path estimates) across levels of environment. Of course, the function linking genetic influence and context is not necessarily linear, but may react more steeply at the extremes, or take other, unknown forms. To avoid obscuring the underlying shape of the interaction effect, local structural equation modeling (LOSEM) may be used, and GxE_window implements this. LOSEM is a non-parametric, estimating latent interaction effects across the range of a measured moderator using a windowing function which is walked along the context dimension, and which weights subjects near the center of the window highly relative to subjects far above or below the window center. This allows detecting and visualizing arbitrary GxE (or CxE or ExE) interaction forms.
Usage
umxGxE_window(
selDVs = NULL,
moderator = NULL,
mzData = mzData,
dzData = dzData,
sep = NULL,
weightCov = FALSE,
target = NULL,
width = 1,
plotWindow = FALSE,
tryHard = c("no", "yes", "ordinal", "search"),
return = c("estimates", "last_model")
)
Arguments
selDVs |
The dependent variables for T1 and T2, e.g. c("bmi_T1", "bmi_T2") |
moderator |
The name of the moderator variable in the dataset e.g. "age", "SES" etc. |
mzData |
Dataframe containing the DV and moderator for MZ twins |
dzData |
Dataframe containing the DV and moderator for DZ twins |
sep |
(optional) separator, e.g. "_T" which will be used expand base names into full variable names: e.g.: 'bmi' –> c("bmi_T1", "bmi_T2") |
weightCov |
Whether to use cov.wt matrices or FIML default = FALSE, i.e., FIML |
target |
A user-selected list of moderator values to test (default = NULL = explore the full range) |
width |
An option to widen or narrow the window from its default (of 1) |
plotWindow |
whether to plot the data window. |
tryHard |
Default ('no') uses normal mxRun. "yes" uses mxTryHard. Other options: "ordinal", "search" |
return |
whether to return the last model (useful for specifiedTargets) or the list of estimates (default = "estimates") |
Value
Table of estimates of ACE along the moderator
References
Hildebrandt, A., Wilhelm, O, & Robitzsch, A. (2009) Complementary and competing factor analytic approaches for the investigation of measurement invariance. Review of Psychology, 16, 87–107.
Briley, D.A., Harden, K.P., Bates, T.C., Tucker-Drob, E.M. (2015). Nonparametric Estimates of Gene x Environment Interaction Using Local Structural Equation Modeling. Behavior Genetics, 45, 581-96. doi:10.1007/s10519-015-9732-8.
See Also
Other Twin Modeling Functions:
power.ACE.test(),
umx,
umxACE(),
umxACEcov(),
umxACEv(),
umxCP(),
umxDiffMZ(),
umxDiscTwin(),
umxDoC(),
umxDoCp(),
umxGxE(),
umxGxEbiv(),
umxIP(),
umxMRDoC(),
umxReduce(),
umxReduceACE(),
umxReduceGxE(),
umxRotate.MxModelCP(),
umxSexLim(),
umxSimplex(),
umxSummarizeTwinData(),
umxSummaryACE(),
umxSummaryACEv(),
umxSummaryDoC(),
umxSummaryGxEbiv(),
umxSummarySexLim(),
umxSummarySimplex(),
umxTwinMaker()
Examples
## Not run:
library(umx);
# ==============================
# = 1. Open and clean the data =
# ==============================
# umxGxE_window takes a data.frame consisting of a moderator and two DV columns: one for each twin.
# The model assumes two groups (MZ and DZ). Moderator can't be missing
mod = "age" # The full name of the moderator column in the dataset
selDVs = c("bmi1", "bmi2") # The DV for twin 1 and twin 2
data(twinData) # Dataset of Australian twins, built into OpenMx
# The twinData consist of two cohorts: "younger" and "older".
# zygosity is a factor. levels = MZFF, MZMM, DZFF, DZMM, DZOS.
# Delete missing moderator rows
twinData = twinData[!is.na(twinData[mod]), ]
mzData = subset(twinData, zygosity == "MZFF")
dzData = subset(twinData, zygosity == "DZFF")
# ========================
# = 2. Run the analyses! =
# ========================
# Run and plot for specified windows (in this case just 1927)
umxGxE_window(selDVs = selDVs, moderator = mod, mzData = mzData, dzData = dzData,
target = 40, plotWindow = TRUE)
umxGxE_window(selDVs = "bmi", sep="", moderator = mod, mzData = mzData, dzData = dzData,
target = 40, plotWindow = TRUE, tryHard = "yes")
# Run with tryHard
umxGxE_window(selDVs = "bmi", sep="", moderator = "age", mzData = mzData, dzData = dzData)
umxGxE_window(selDVs="bmi", sep="", moderator="age", mzData=mzData, dzData=dzData, tryHard="yes")
# Run creating weighted covariance matrices (excludes missing data)
umxGxE_window(selDVs = "bmi", sep="", moderator= "age", mzData = mzData, dzData = dzData,
weightCov = TRUE)
# This example runs multiple target moderator values
mxGxE_window(selDVs = selDVs, moderator = mod, mzData = mzData, dzData = dzData,
target = c(39,40,50), plotWindow = TRUE)
## End(Not run)
Purcell (2002) Bivariate GxE model: Suitable when twins differ on the moderator.
Description
GxE interaction models test the hypothesis that the strength of genetic and environmental influences vary parametrically across levels of a measured environment.
Usage
umxGxEbiv(
name = "GxEbiv",
selDVs,
selDefs,
dzData,
mzData,
sep = NULL,
lboundACE = 0,
lboundM = NA,
dropMissingDef = FALSE,
autoRun = getOption("umx_auto_run"),
tryHard = c("no", "yes", "ordinal", "search"),
optimizer = NULL
)
Arguments
name |
The name of the model (defaults to "GxEbiv") |
selDVs |
The dependent variable (e.g. IQ) |
selDefs |
The definition variable (e.g. socioeconomic status) |
dzData |
The DZ dataframe containing the Twin 1 and Twin 2 DV and moderator (4 columns) |
mzData |
The MZ dataframe containing the Twin 1 and Twin 2 DV and moderator (4 columns) |
sep |
Expand variable base names, i.e., "_T" makes var -> var_T1 and var_T2 |
lboundACE |
If !NA, then lbound the main effects at this value (default = NA) |
lboundM |
If !NA, then lbound the moderators at this value (default = NA) |
dropMissingDef |
Whether to automatically drop missing def var rows for the user (gives a warning) default = FALSE |
autoRun |
Whether to run the model (default), or just to create it and return without running. |
tryHard |
Default ('no') uses normal mxRun. "yes" uses mxTryHard. Other options: "ordinal", "search" |
optimizer |
Optionally set the optimizer (default NULL does nothing) |
Details
Whereas univariate umxGxE() models assume the twins share the moderator,
or have zero correlation on the moderator, umxGxEbiv() allows testing moderation in
cases where members of a twin pair differ on the moderator, (Purcell, 2002; van der Sluis et al., 2012).
This is the same model we teach at Boulder.
The following figure shows this bivariate GxE model as a path diagram (Twin 1 shown). Whereas the univariate model incorporates the moderator in the means model, the bivariate model incorporates the moderator as a first class variable, with its own ACE structure, shared pathways to the trait of interest, and the ability to moderate both specific and shared A, C, and E, influences on the trait of interest.
Twin 1 and twin 2 A, C, and E latent traits are connected in the standard fashion, with the covariance of the T1 and T2 latent genetic traits set to .5 for DZ and 1.0 for MZ pairs. For the sake of clarity, C, and E paths are omitted here. These mirror those for A.
Value
GxEbiv
OpenMx::mxModel()
References
Purcell, S. (2002). Variance components models for gene-environment interaction in twin analysis. Twin Research, 6, 554-571. doi:10.1375/twin.5.6.554.
van der Sluis, S., Posthuma, D., & Dolan, C. V. (2012). A note on false positives and power in G x E modelling of twin data. Behavior Genetics, 42, 170-186. doi:10.1007/s10519-011-9480-3.
See Also
Other Twin Modeling Functions:
power.ACE.test(),
umx,
umxACE(),
umxACEcov(),
umxACEv(),
umxCP(),
umxDiffMZ(),
umxDiscTwin(),
umxDoC(),
umxDoCp(),
umxGxE(),
umxGxE_window(),
umxIP(),
umxMRDoC(),
umxReduce(),
umxReduceACE(),
umxReduceGxE(),
umxRotate.MxModelCP(),
umxSexLim(),
umxSimplex(),
umxSummarizeTwinData(),
umxSummaryACE(),
umxSummaryACEv(),
umxSummaryDoC(),
umxSummaryGxEbiv(),
umxSummarySexLim(),
umxSummarySimplex(),
umxTwinMaker()
Examples
require(umx)
data(twinData)
selDVs = "wt"
selDefs = "ht"
df = umx_scale_wide_twin_data(twinData, varsToScale = c("ht", "wt"), sep = "")
mzData = subset(df, zygosity %in% c("MZFF", "MZMM"))
dzData = subset(df, zygosity %in% c("DZFF", "DZMM", "DZOS"))
## Not run:
m1 = umxGxEbiv(selDVs = selDVs, selDefs = selDefs,
dzData = dzData, mzData = mzData, sep = "", dropMissingDef = TRUE)
# Plot Moderation
umxSummaryGxEbiv(m1)
umxSummary(m1, location = "topright")
umxSummary(m1, separateGraphs = FALSE)
m2 = umxModify(m1, update = c("cBeta2_r1c1", "eBeta1_r1c1", "eBeta2_r1c1"), comparison = TRUE)
# TODO: teach umxReduce to test all relevant hypotheses for umxGxEbiv
umxReduce(m1)
## End(Not run)
Create a matrix of correlations for variables of diverse types (binary, ordinal, continuous)
Description
umxHetCor is a helper to:
return just the correlations from John Fox's polycor::hetcor function
If you give it a covariance matrix, return the nearest positive-definite correlation matrix.
Usage
umxHetCor(
data,
ML = FALSE,
use = c("pairwise.complete.obs", "complete.obs"),
treatAllAsFactor = FALSE,
verbose = FALSE,
return = c("correlations", "hetcor object"),
std.err = FALSE
)
Arguments
data |
A |
ML |
Whether to use Maximum likelihood computation of correlations (default = FALSE) |
use |
How to handle missing data: Default= "pairwise.complete.obs". Alternative ="complete.obs". |
treatAllAsFactor |
Whether to treat all columns as factors, whether they are or not (Default = FALSE) |
verbose |
How much to tell the user about what was done. |
return |
Return just the correlations (default) or the hetcor object (contains, method, SEs etc.) |
std.err |
Compute the SEs? (default = FALSE) |
Value
A matrix of correlations
See Also
Other Data Functions:
noNAs(),
prolific_anonymize(),
prolific_check_ID(),
prolific_read_demog(),
umx,
umxFactor(),
umx_as_numeric(),
umx_cont_2_quantiles(),
umx_lower2full(),
umx_make_MR_data(),
umx_make_TwinData(),
umx_make_fake_data(),
umx_make_raw_from_cov(),
umx_merge_randomized_columns(),
umx_polychoric(),
umx_polypairwise(),
umx_polytriowise(),
umx_read_lower(),
umx_rename(),
umx_reorder(),
umx_score_scale(),
umx_select_valid(),
umx_stack(),
umx_strings2numeric()
Other Miscellaneous Stats Functions:
FishersMethod(),
SE_from_p(),
geometric_mean(),
harmonic_mean(),
oddsratio(),
reliability(),
umx,
umxCov2cor(),
umxParan(),
umxWeightedAIC(),
umx_apply(),
umx_cor(),
umx_means(),
umx_r_test(),
umx_round(),
umx_scale(),
umx_var()
Examples
umxHetCor(mtcars[,c("mpg", "am")])
umxHetCor(mtcars[,c("mpg", "am")], treatAllAsFactor = TRUE, verbose = TRUE)
umxIP: Build and run an Independent Pathway twin model
Description
Make a 2-group Independent Pathway twin model.
The independent-pathway model (aka "biometric model" (McArdle and Goldsmith, 1990) proposes that A,
C, and E components act directly on the manifest or measured phenotypes. This contrasts with
the umxCP() model, in which these influences are collected on a hypothesized or latent causal
variable, which is manifested in the measured phenotypes.
The following figure shows the IP model diagrammatically:
As can be seen, each phenotype also by default has A, C, and E influences specific to that phenotype.
Features of the model include the ability to include add more one set of independent pathways, different numbers of pathways for a, c, and e, as well the ability to use ordinal data, and different fit functions, e.g. WLS.
note: The function umx_set_optimization_options() allows users to see and set mvnRelEps and mvnMaxPointsA
mvnRelEps defaults to .005. For ordinal models, you might find that '0.01' works better.
Usage
umxIP(
name = "IP",
selDVs,
dzData,
mzData,
sep = NULL,
nFac = c(a = 1, c = 1, e = 1),
data = NULL,
zyg = "zygosity",
type = c("Auto", "FIML", "cov", "cor", "WLS", "DWLS", "ULS"),
allContinuousMethod = c("cumulants", "marginals"),
dzAr = 0.5,
dzCr = 1,
correlatedA = FALSE,
numObsDZ = NULL,
numObsMZ = NULL,
autoRun = getOption("umx_auto_run"),
tryHard = c("no", "yes", "ordinal", "search"),
optimizer = NULL,
equateMeans = TRUE,
weightVar = NULL,
addStd = TRUE,
addCI = TRUE,
freeLowerA = FALSE,
freeLowerC = FALSE,
freeLowerE = FALSE
)
Arguments
name |
The name of the model (defaults to "IP"). |
selDVs |
The base names of the variables to model. note: Omit suffixes - just "dep" not c("dep_T1", "dep_T2") |
dzData |
The DZ dataframe. |
mzData |
The MZ dataframe. |
sep |
The suffix for twin 1 and twin 2. e.g. selDVs= "dep", sep= "_T" -> c("dep_T1", "dep_T2") |
nFac |
How many common factors for a, c, and e. If one number is given, applies to all three. |
data |
If provided, dzData and mzData are treated as levels of zyg to select() MZ and DZ data sets (default = NULL) |
zyg |
If data provided, this column is used to select rows by zygosity (Default = "zygosity") |
type |
Analysis method one of c("Auto", "FIML", "cov", "cor", "WLS", "DWLS", "ULS") |
allContinuousMethod |
"cumulants" or "marginals". Used in all-continuous WLS data to determine if a means model needed. |
dzAr |
The DZ genetic correlation (defaults to .5, vary to examine assortative mating). |
dzCr |
The DZ "C" correlation (defaults to 1: set to .25 to make an ADE model). |
correlatedA |
Whether factors are allowed to correlate (not implemented yet: FALSE). |
numObsDZ |
= For cov data, the number of DZ pairs. |
numObsMZ |
= For cov data, the number of MZ pairs. |
autoRun |
Whether to run and return the model (default), or just to create and return without running. |
tryHard |
Whether to tryHard (default 'no' uses normal mxRun). options: "mxTryHard", "mxTryHardOrdinal", or "mxTryHardWideSearch" |
optimizer |
optionally set the optimizer (default NULL does nothing). |
equateMeans |
Whether to equate the means across twins (defaults to TRUE). |
weightVar |
If a weighting variable is provided, a vector objective will be used to weight the data. (default = NULL). |
addStd |
Whether to add algebras for a standardized model (defaults to TRUE). |
addCI |
Whether to add CIs (defaults to TRUE). |
freeLowerA |
ignore: Whether to leave the lower triangle of A free (default = FALSE). |
freeLowerC |
ignore: Whether to leave the lower triangle of C free (default = FALSE). |
freeLowerE |
ignore: Whether to leave the lower triangle of E free (default = FALSE). |
Details
Like the umxACE() model, the IP model decomposes phenotypic variance
into additive genetic (A), unique environmental (E) and, optionally, either
common or shared-environment (C) or
non-additive genetic effects (D).
Unlike the Cholesky, these factors do not act directly on the phenotype. Instead latent A, C, and E influences impact on one or more latent common factors which, in turn, account for variance in the phenotypes (see Figure).
Data Input
Currently, umxIP accepts only raw data. This may change in future versions. You can
choose other fit functions, e.g. WLS.
Ordinal Data
In an important capability, the model transparently handles ordinal (binary or multi-level ordered factor data) inputs, and can handle mixtures of continuous, binary, and ordinal data in any combination.
Additional features
umxIP supports varying the DZ genetic association (defaulting to .5)
to allow exploring assortative mating effects, as well as varying the DZ “C” factor
from 1 (the default for modeling family-level effects shared 100% by twins in a pair),
to .25 to model dominance effects.
Matrices and Labels in IP model
A good way to see which matrices are used in umxIP is to run an example model and plot it.
All the shared matrices are in the model "top".
Matrices as, cs, and es contain the path loadings specific to each variable on their diagonals.
To see the 'as' values, you can simply execute:
m1$top#as$values
m1$top#as$labels
m1$top#as$free
Labels relevant to modifying the specific loadings take the form "as_r1c1", "as_r2c2" etc.
The independent-pathway loadings on the manifests are in matrices a_ip, c_ip, e_ip.
Less commonly-modified matrices are the mean matrix expMean.
This has 1 row, and the columns are laid out for each variable
for twin 1, followed by each variable for twin 2.
So, in a model where the means for twin 1 and twin 2 had been equated (set = to T1), you could make them independent again with this line:
m1$top$expMean$labels[1,4:6] = c("expMean_r1c4", "expMean_r1c5", "expMean_r1c6")
Value
References
Kendler, K. S., Heath, A. C., Martin, N. G., & Eaves, L. J. (1987). Symptoms of anxiety and symptoms of depression. Same genes, different environments? Archives of General Psychiatry, 44, 451-457. doi:10.1001/archpsyc.1987.01800170073010.
McArdle, J. J., & Goldsmith, H. H. (1990). Alternative common factor models for multivariate biometric analyses. Behavior Genetics, 20, 569-608. doi:10.1007/BF01065873.
See Also
Other Twin Modeling Functions:
power.ACE.test(),
umx,
umxACE(),
umxACEcov(),
umxACEv(),
umxCP(),
umxDiffMZ(),
umxDiscTwin(),
umxDoC(),
umxDoCp(),
umxGxE(),
umxGxE_window(),
umxGxEbiv(),
umxMRDoC(),
umxReduce(),
umxReduceACE(),
umxReduceGxE(),
umxRotate.MxModelCP(),
umxSexLim(),
umxSimplex(),
umxSummarizeTwinData(),
umxSummaryACE(),
umxSummaryACEv(),
umxSummaryDoC(),
umxSummaryGxEbiv(),
umxSummarySexLim(),
umxSummarySimplex(),
umxTwinMaker()
Examples
## Not run:
require(umx)
data(GFF)
mzData = subset(GFF, zyg_2grp == "MZ")
dzData = subset(GFF, zyg_2grp == "DZ")
selDVs = c("gff","fc","qol","hap","sat","AD") # These will be expanded into "gff_T1" "gff_T2" etc.
m1 = umxIP(selDVs = selDVs, sep = "_T", dzData = dzData, mzData = mzData)
# WLS example: Use "marginals" method to enable all continuous data with missingness.
m3 = umxIP(selDVs = selDVs, sep = "_T", dzData = dzData, mzData = mzData,
type = "DWLS", allContinuousMethod='marginals')
# omit missing to enable default WLS method to work on all continuous data
dzD = na.omit(dzData[, tvars(selDVs, "_T")])
mzD = na.omit(dzData[, tvars(selDVs, "_T")])
m4 = umxIP(selDVs = selDVs, sep = "_T", dzData = dzD, mzData = mzD, type = "DWLS")
# ====================================================================
# = Try with a non-default number of a, c, and e independent factors =
# ====================================================================
nFac = c(a = 2, c = 1, e = 1)
m2 = umxIP(selDVs = selDVs, sep = "_T", dzData = dzData, mzData = mzData, nFac = nFac,
tryHard = "yes")
umxCompare(m1, m2)
## End(Not run)
umxJiggle
Description
umxJiggle takes values in a matrix and jiggles them
Usage
umxJiggle(matrixIn, mean = 0, sd = 0.1, dontTouch = 0)
Arguments
matrixIn |
an |
mean |
the mean value to add to each value |
sd |
the sd of the jiggle noise |
dontTouch |
A value, which, if found, will be left as-is (defaults to 0) |
Value
References
See Also
Other Advanced Model Building Functions:
umx,
umxAlgebra(),
umxFixAll(),
umxRun(),
umxThresholdMatrix(),
umxUnexplainedCausalNexus(),
xmuLabel(),
xmuValues()
Examples
## Not run:
mat1 = umxJiggle(mat1)
## End(Not run)
Convert lavaan string to a umxRAM model
Description
Takes a lavaan syntax string and creates the matching one or more umxRAM() models.
If data are provided, a umxRAM() model is returned.
If more than one group is found, a umxSuperModel() is returned.
This function is at the alpha quality stage, and should be expected to have bugs. Several features are not yet supported. Let me know if you would like them.
Usage
umxLav2RAM(
model = NA,
data = "auto",
group = NULL,
group.equal = NULL,
name = NA,
lavaanMode = c("sem", "lavaan"),
std.lv = FALSE,
suffix = "",
comparison = TRUE,
type = c("Auto", "FIML", "cov", "cor", "WLS", "DWLS", "ULS"),
allContinuousMethod = c("cumulants", "marginals"),
autoRun = getOption("umx_auto_run"),
tryHard = c("no", "yes", "ordinal", "search"),
verbose = FALSE,
optimizer = NULL,
std = FALSE,
printTab = TRUE
)
Arguments
model |
A lavaan syntax string, e.g. "A~~B" |
data |
Data to add to model (defaults to auto, which is just sketch mode) |
group |
= Column to use for multi-group (default = NULL) |
group.equal |
= what to equate across groups. Default (NULL) means no equates. See details for what we might implement in future. |
name |
Model name (can also add name in # commented first line) |
lavaanMode |
Auto-magical path settings for cfa/sem (default) or no-defaults ("lavaan") |
std.lv |
= FALSE Whether to set var of latents to 1 (default FALSE). nb. Toggles fix first. |
suffix |
String to append to each label (useful if model will be used in a multi-group model) |
comparison |
Compare the new model to the old (if updating an existing model: default = TRUE) |
type |
One of "Auto", "FIML", "cov", "cor", "WLS", "DWLS", "ULS" |
allContinuousMethod |
"cumulants" or "marginals". Used in all-continuous WLS data to determine if a means model needed. |
autoRun |
Whether to run the model (default), or just to create it and return without running. |
tryHard |
Default ('no') uses normal mxRun. "yes" uses mxTryHard. Other options: "ordinal", "search" |
verbose |
Whether to tell the user what latents and manifests were created etc. (Default = FALSE) |
optimizer |
optionally set the optimizer (default NULL does nothing) |
std |
Whether to print estimates. Defaults to FALSE ("raw"), TRUE = "std", for no parameter table use NULL. |
printTab |
= TRUE (more for debugging) |
Details
Uses the defaults of lavaan::sem
int.ov.free = TRUE
int.lv.free = FALSE
auto.fix.first = TRUE (unless std.lv = TRUE)
auto.fix.single = TRUE
auto.var = TRUE
auto.cov.lv.x = TRUE
auto.th = TRUE
auto.delta = TRUE
auto.cov.y = TRUE
fixed.x = FALSE (not standard in
lavaan::sem, but needed for RAM)
Lavaan is well documented. For quick reference, some common symbols in lavaan strings are:
| lav | Mplus | sem | Action | |
| A =~ B | A by B | A (Latent) is measured by B | ||
| A ~ B | A on B | A<- B | A "is regressed on" (<- ) B | |
| A ~~ B | A with B | A<->B | A covaries with B | |
| A ~ 1 | [A] | A has mean | ||
| A := B | A is defined by B (see OpenMx::mxAlgebra()) |
|||
| A == B | A is constrained == to B (see OpenMx::mxConstraint() )
|
=~ | lhs (Latent) is manifested by rhs | ||
~ | lhs "is regressed on" (<- ) rhs | ||
~~ | lhs covaries with rhs | ||
~ 1 | lhs has mean | ||
:= | lhs is defined by rhs (see OpenMx::mxAlgebra()) | ||
== | lhs is constrained == to rhs (see OpenMx::mxConstraint() )
|
Naming of multiple groups
When multiple groups are found the groups are named name_grouplevel
White space is replaced with "_" and illegal characters are replaced with "x"
note: Options for group.equal. In future, we might implement (but have not as yet):
c("loadings"
"intercepts"
"means"
"regressions"
"residuals"
"covariances"
Value
list of
umxPath()s
See Also
Other Miscellaneous Utility Functions:
install.OpenMx(),
libs(),
qm(),
umx,
umxModelNames(),
umxRAM2Lav(),
umxVersion(),
umx_array_shift(),
umx_find_object(),
umx_lower.tri(),
umx_msg(),
umx_open_CRAN_page(),
umx_pad(),
umx_print(),
umx_wide2long(),
umx_wide4lmer()
Examples
## Not run:
# auto-data, print table, return umxRAM model
m1 = umxLav2RAM("y ~ x", printTab= TRUE)
lav = "y ~ x1 + 2.4*x2 + x3"
tmp = umxLav2RAM(lav, data = "auto", printTab= FALSE)
# Add labels to parameters, e.g. "x3_loading" as a loading for x3->x1
tmp = umxLav2RAM("x1 ~ x3_loading*x3")
umx_print(tmp$A$labels)
# | |x1 |x3 |
# |:--|:--------|:----------|
# |x1 |x1_to_x1 |x3_loading |
# |x3 |x1_to_x3 |x3_to_x3 |
# Fix values, e.g. x2 -> y fixed at 2.4
tmp = umxLav2RAM("y ~ x1 + 2.4*x2; s =~ 0*y11 + 1*y12 + 2*y13 + 3*y14")
tmp = umxLav2RAM("L =~ X1 + X2; L ~ Y")
plot(tmp, min=c("L", "Y"))
# Factor model showing auto-addition of correlations among exogenous latents
# and auto-residuals on manifests
data("HS.ability.data", package = "OpenMx")
cov(HS.ability.data[, c("visual" , "cubes" , "flags")])
cov(HS.ability.data[, c("paragrap", "sentence", "wordm")])
cov(HS.ability.data[, c("addition", "counting", "straight")])
HS = "spatial =~ visual + cubes + flags
verbal =~ paragrap + sentence + wordm
speed =~ addition + counting + straight"
m1 = umxRAM(HS, data = umx_scale(HS.ability.data))
# Multiple groups
m1 = umxRAM(HS, data = umx_scale(HS.ability.data), group = "school")
# More examples
lav = " # Moderated mediation
gnt ~ a*cb
INT ~ b1*gnt + b2*cn + b3*cngn + c*cb
indirect := a*b1
direct := c
ab3 := a * b3
loCN := a * b1 + ab3 * -0.5
hiCN := a * b1 + ab3 * 0.5
"
tmp = umxRAM(lav)
# plot showing ability to influence layout with max min same groupings
plot(tmp, max = c("cb", "cn", "cngn"), same = "gnt", min= "INT")
# Algebra: e.g. b1^2
m1 = umxRAM("x1~b1*x2; B1_sq := b1^2", data = demoOneFactor)
m1$B1_sq$result # = 0.47
# Model with constraints and labeled parameters
lav = "
y ~ b1*x1 + b2*x2 + b3*x3
# constraints
b1 == (b2 + b3)^2
b1 > exp(b2 + b3)"
tmp = umxLav2RAM(lav)
namedModel = " # my name
y ~x"
m1 = umxRAM(namedModel)
# Formative factor
# lavaanify("f5 <~ z1 + z2 + z3 + z4")
## End(Not run)
Report modifications which would improve fit.
Description
This function uses the mechanical modification-indices approach to detect single paths which, if added or dropped, would improve fit.
Usage
umxMI(
model = NA,
matrices = NA,
full = TRUE,
numInd = NA,
typeToShow = "both",
decreasing = TRUE
)
Arguments
model |
An |
matrices |
which matrices to test. The default (NA) will test A & S for RAM models |
full |
Change in fit allowing all parameters to move. If FALSE only the parameter under test can move. |
numInd |
How many modifications to report. Use -1 for all. Default (NA) will report all over 6.63 (p = .01) |
typeToShow |
Whether to shown additions or deletions (default = "both") |
decreasing |
How to sort (default = TRUE, decreasing) |
Details
Notes:
Runs much faster with full = FALSE (but this does not allow the model to re-fit around the newly- freed parameter).
Compared to mxMI, this function returns top changes, and also suppresses the run message.
Finally, of course: see the requirements for (legitimate) post-hoc modeling in
OpenMx::mxMI()You are almost certainly doing better science when testing competing models rather than modifying a model to fit.
References
See Also
Other Model Summary and Comparison:
umx,
umxCompare(),
umxEquate(),
umxReduce(),
umxSetParameters(),
umxSummary()
Examples
## Not run:
require(umx)
data(demoOneFactor)
manifests = names(demoOneFactor)
m1 = umxRAM("One Factor", data = demoOneFactor, type = "cov",
umxPath("G", to = manifests),
umxPath(var = manifests),
umxPath(var = "G", fixedAt = 1)
)
umxMI(m1, full = FALSE)
## End(Not run)
Extends Mendelian randomization with the twin design to test evidence of causality
Description
Testing causal claims is often difficult due to an inability to conduct experimental randomization of traits and situations to people. When twins are available, even when measured on a single occasion, the pattern of cross-twin cross-trait correlations can (given distinguishable modes of inheritance for the two traits) falsify causal hypotheses.
umxMRDoC implements a 2-group model to form latent variables for each of two traits, and allows testing whether
trait 1 causes trait 2, vice-versa, or even reciprocal causation. This is robust to several types of confounding
due to the instrumental variable approach included in the model.
This function applies both the MRDoC model and the MRDoC2 model depending on how many PRSs are passed as arguments.
Usage
umxMRDoC(
data = NULL,
pheno,
prss = NULL,
mzData = NULL,
dzData = NULL,
sibsData = NULL,
zygosity = "zygosity",
sep = "_T",
summary = !umx_set_silent(silent = TRUE),
name = NULL,
autoRun = getOption("umx_auto_run"),
sibs = FALSE,
type = "FIML",
tryHard = c("no", "yes", "ordinal", "search"),
optimizer = NULL,
covar = NULL,
batteries = c("scale"),
method = "Mehta",
verbose = FALSE
)
Arguments
data |
= NULL If building the MZ and DZ datasets internally from a complete data set. |
pheno |
Phenotypes of interest, order matters ("exposure", "outcome") |
prss |
Polygenic score(s). If a single one is passed MRDoC is run, MRDoC2 otherwise. |
mzData |
The MZ dataframe |
dzData |
The DZ dataframe |
sibsData |
The unrelated sibs dataframe, requires "sibs" as an extra zygosity level. |
zygosity |
= "zygosity" (for the data= method of using this function). |
sep |
The separator in twin variable names, default = "_T", e.g. "dep_T1". |
summary |
Optionally show a summary. |
name |
The name of the model (defaults to either "MRDoC" or "MRDoC2). |
autoRun |
Whether to run the model (default), or just to create it and return without running. |
sibs |
NEEDS DOCUMENTING (FALSE) |
type |
Basic switch for estimation type. WLS tends to work really well in MRDoC, it saves you time. |
tryHard |
Default ('no') uses normal mxRun. "yes" uses mxTryHard. Other options: "ordinal", "search". |
optimizer |
Optionally set the optimizer (default NULL does nothing). |
covar |
= Covariates that will be regressed on X and Y phenotypes. |
batteries |
Batteries included, currently scales continuous variables by default, "dump" will return data for inspection. Use NULL for disabling all. |
method |
Method for handling ordinal variables, defaults to Mehta. |
verbose |
Outputs the pre-processing steps/warnings. |
Value
-
OpenMx::mxModel()of subclass MxModelMRDoC
References
Minica CC, Dolan CV, Boomsma DI, et al. (2018) Extending Causality Tests with Genetic Instruments: An Integration of Mendelian Randomization with the Classical Twin Design. Behavior Genetics 48(4): 337-349. doi:10.1007/s10519-018-9904-4
McGue, M., Osler, M., & Christensen, K. (2010). Causal Inference and Observational Research: The Utility of Twins. Perspectives on Psychological Science, 5, 546-556. doi:10.1177/1745691610383511
Castro-de-Araujo LFS, Singh M, Zhou Y, et al. (2022) MR-DoC2: Bidirectional Causal Modeling with Instrumental Variables and Data from Relatives. Behavior Genetics. doi:10.1007/s10519-022-10122-x
See Also
Other Twin Modeling Functions:
power.ACE.test(),
umx,
umxACE(),
umxACEcov(),
umxACEv(),
umxCP(),
umxDiffMZ(),
umxDiscTwin(),
umxDoC(),
umxDoCp(),
umxGxE(),
umxGxE_window(),
umxGxEbiv(),
umxIP(),
umxReduce(),
umxReduceACE(),
umxReduceGxE(),
umxRotate.MxModelCP(),
umxSexLim(),
umxSimplex(),
umxSummarizeTwinData(),
umxSummaryACE(),
umxSummaryACEv(),
umxSummaryDoC(),
umxSummaryGxEbiv(),
umxSummarySexLim(),
umxSummarySimplex(),
umxTwinMaker()
Examples
## Not run:
# ================
# = 1. Load Data =
# ================
data(docData)
mzData = subset(docData, zygosity %in% c("MZFF", "MZMM"))
dzData = subset(docData, zygosity %in% c("DZFF", "DZMM"))
# ============================
# = 2. Make a MRDoC2 model =
# ============================
out = umxMRDoC(mzData = mzData, dzData = dzData,
pheno = c("varA1", "varA2"), prss = c("varB1", "varB2") )
## End(Not run)
Make a mxMatrix with automatic labels. Also takes name as the first parameter for more readable code.
Description
umxMatrix is a wrapper for mxMatrix which labels cells buy default, and has the name parameter first in order.
Usage
umxMatrix(
name = NA,
type = "Full",
nrow = NA,
ncol = NA,
free = FALSE,
values = NA,
labels = TRUE,
lbound = NA,
ubound = NA,
byrow = getOption("mxByrow"),
baseName = NA,
dimnames = NA,
condenseSlots = getOption("mxCondenseMatrixSlots"),
...,
joinKey = as.character(NA),
joinModel = as.character(NA),
jiggle = NA
)
Arguments
name |
The name of the matrix (Default = NA). Note the different order compared to mxMatrix! |
type |
The type of the matrix (Default = "Full") |
nrow |
Number of rows in the matrix: Must be set |
ncol |
Number of columns in the matrix: Must be set |
free |
Whether cells are free (Default FALSE) |
values |
The values of the matrix (Default NA) |
labels |
Either whether to label the matrix (default TRUE), OR a vector of labels to apply. |
lbound |
Lower bounds on cells (Defaults to NA) |
ubound |
Upper bounds on cells (Defaults to NA) |
byrow |
Whether to fill the matrix down columns or across rows first (Default = getOption('mxByrow') |
baseName |
Set to override the default (which is to use the matrix name as the prefix). |
dimnames |
NA |
condenseSlots |
Whether to save memory by NULLing out unused matrix elements, like labels, ubound etc. Default = getOption('mxCondenseMatrixSlots') |
... |
Additional parameters (!! not currently supported by umxMatrix) |
joinKey |
See mxMatrix documentation: Defaults to as.character(NA) |
joinModel |
See mxMatrix documentation: Defaults to as.character(NA) |
jiggle |
= NA passed to xmuLabel to jiggle start values (default does nothing) |
Value
References
See Also
Other Core Model Building Functions:
umx,
umxModify(),
umxPath(),
umxRAM(),
umxSuperModel()
Examples
## Not run:
# ==================================================================================
# = 1. Showing how name is first parameter, and how cells are labelled by default. =
# ==================================================================================
umxMatrix("test", "Full", 2, 2)$labels
# [,1] [,2]
# [1,] "test_r1c1" "test_r1c2"
# [2,] "test_r2c1" "test_r2c2"
# ===========================================================
# = 2. Over-ride default (matrix name) as prefix for labels =
# ===========================================================
umxMatrix("test", "Full", 2, 2, baseName = "bob")$labels # bob_r1c1
# ==========================================
# = 3. User-provided labels are left as-is =
# ==========================================
umxMatrix("foo", "Lower", nrow=2, ncol=2, labels= c(NA, "beta1", NA))
# [,1] [,2]
# [1,] NA NA
# [2,] "beta1" NA
## End(Not run)
Sets labeled matrix cells to free
Description
In simulation studies, it is often necessary to rewrite the matrices while testing alternative specifications. This can become very tedious with increasing number of distinct specifications. This tool injects changes into umxMatrix so that this tasks gets more manageable. First, it sets byrow by default. Second, it infers the number of rows automatically. The user needs only passing ncol. Finally and most importantly this function disables auto-labeling, and whenever a label is set, that cell position will be freed. It is required to pass a matrix of labels, as well as a label name.
Usage
umxMatrixFree(
name = name,
nrow = NULL,
ncol = NA,
free = FALSE,
values = NA,
labels = labels,
byrow = TRUE,
...
)
Arguments
name |
The name of the matrix: Must be set |
nrow |
Number of rows in the matrix (Optional) |
ncol |
Number of columns in the matrix (Required) |
free |
Whether cells are free (Default FALSE) |
values |
The values of the matrix (Default NA) |
labels |
The labels of the matrix (Default NA) |
byrow |
Default for byrow (TRUE) |
... |
Accepts all other arguments from |
Value
See Also
Examples
## Not run:
umxMatrixFree('E', type='Symm', ncol = 3,
labels =c("eb2",NA,NA,
NA,"es2",NA,
NA,NA,NA),
values=c(.2,0,0,
0,.2,0,
0,0,0))
# Will return a umxMatrix free at the eb2 and es2 positions.
## End(Not run)
Catches users typing umxModel instead of umxRAM.
Description
Catches a common typo, moving from mxModel to umx.
Usage
umxModel(...)
Arguments
... |
Anything. We're just going to throw an error. |
Value
None
References
See Also
Other xmu internal not for end user:
umxRenameMatrix(),
umx_APA_pval(),
umx_fun_mean_sd(),
umx_get_bracket_addresses(),
umx_make(),
umx_standardize(),
umx_string_to_algebra(),
xmuHasSquareBrackets(),
xmuLabel_MATRIX_Model(),
xmuLabel_Matrix(),
xmuLabel_RAM_Model(),
xmuMI(),
xmuMakeDeviationThresholdsMatrices(),
xmuMakeOneHeadedPathsFromPathList(),
xmuMakeTwoHeadedPathsFromPathList(),
xmuMaxLevels(),
xmuMinLevels(),
xmuPropagateLabels(),
xmuRAM2Ordinal(),
xmuTwinSuper_Continuous(),
xmuTwinSuper_NoBinary(),
xmuTwinUpgradeMeansToCovariateModel(),
xmu_CI_merge(),
xmu_CI_stash(),
xmu_DF_to_mxData_TypeCov(),
xmu_PadAndPruneForDefVars(),
xmu_bracket_address2rclabel(),
xmu_cell_is_on(),
xmu_check_levels_identical(),
xmu_check_needs_means(),
xmu_check_variance(),
xmu_clean_label(),
xmu_data_missing(),
xmu_data_swap_a_block(),
xmu_describe_data_WLS(),
xmu_dot_make_paths(),
xmu_dot_make_residuals(),
xmu_dot_maker(),
xmu_dot_move_ranks(),
xmu_dot_rank_str(),
xmu_extract_column(),
xmu_get_CI(),
xmu_lavaan_process_group(),
xmu_make_TwinSuperModel(),
xmu_make_bin_cont_pair_data(),
xmu_make_mxData(),
xmu_match.arg(),
xmu_name_from_lavaan_str(),
xmu_path2twin(),
xmu_path_regex(),
xmu_print_algebras(),
xmu_rclabel_2_bracket_address(),
xmu_relevel_factors(),
xmu_safe_run_summary(),
xmu_set_sep_from_suffix(),
xmu_show_fit_or_comparison(),
xmu_simplex_corner(),
xmu_standardize_ACE(),
xmu_standardize_ACEcov(),
xmu_standardize_ACEv(),
xmu_standardize_CP(),
xmu_standardize_IP(),
xmu_standardize_RAM(),
xmu_standardize_SexLim(),
xmu_standardize_Simplex(),
xmu_start_value_list(),
xmu_starts(),
xmu_summary_RAM_group_parameters(),
xmu_twin_add_WeightMatrices(),
xmu_twin_check(),
xmu_twin_get_var_names(),
xmu_twin_make_def_means_mats_and_alg(),
xmu_twin_upgrade_selDvs2SelVars(),
xmu_update_covar()
Examples
## Not run:
umxModel()
## End(Not run)
Return names of models found within a model
Description
umxModelNames returns the names of each model contained in the model provided to it
(optionally excluding the out model itself).
Usage
umxModelNames(model, includeOuterModelName = FALSE)
Arguments
model |
an |
includeOuterModelName |
FALSE |
Value
All models names
See Also
Other Miscellaneous Utility Functions:
install.OpenMx(),
libs(),
qm(),
umx,
umxLav2RAM(),
umxRAM2Lav(),
umxVersion(),
umx_array_shift(),
umx_find_object(),
umx_lower.tri(),
umx_msg(),
umx_open_CRAN_page(),
umx_pad(),
umx_print(),
umx_wide2long(),
umx_wide4lmer()
Examples
## Not run:
data(GFF)
mzData = subset(GFF, zyg_2grp == "MZ")
dzData = subset(GFF, zyg_2grp == "DZ")
selDVs = c("gff", "fc", "qol")
m1 = umxCP(selDVs= selDVs, nFac= 1, dzData= dzData, mzData= mzData, sep= "_T", autoRun= TRUE)
m2 = mxRename(m1, "model2")
umxModelNames(m1) # "top" "MZ" "DZ"
umxModelNames(m2) # "top" "MZ" "DZ"
super = umxSuperModel("myModel", m1, m2, autoRun = TRUE)
umxModelNames(super)
plot(super$CP1fac)
## End(Not run)
umxModify: Add, set, or drop model paths by label.
Description
umxModify allows you to modify, re-run and summarize an OpenMx::mxModel(), all in one line of script.
Usage
umxModify(
lastFit,
update = NULL,
regex = FALSE,
free = FALSE,
value = 0,
newlabels = NULL,
freeToStart = NA,
name = NULL,
comparison = FALSE,
autoRun = getOption("umx_auto_run"),
tryHard = c("no", "yes", "ordinal", "search"),
master = NULL,
intervals = FALSE,
verbose = FALSE
)
Arguments
lastFit |
The |
update |
What to update before re-running. Can be a list of labels, a regular expression (set regex = TRUE) or an object such as mxCI etc. |
regex |
Whether or not update is a regular expression (default FALSE). If you provide a string, it overrides the contents of update, and sets regex to TRUE. |
free |
The state to set "free" to for the parameters whose labels you specify (defaults to free = FALSE, i.e., fixed) |
value |
The value to set the parameters whose labels you specify too (defaults to 0) |
newlabels |
If not NULL, used as a replacement set of labels (can be regular expression). value and free are ignored! |
freeToStart |
Whether to update parameters based on their current free-state. free = c(TRUE, FALSE, NA), (defaults to NA - i.e, not checked) |
name |
The name for the new model |
comparison |
Whether to run umxCompare() on the new and old models. |
autoRun |
Whether to run the model (default), or just to create it and return without running. |
tryHard |
Default ('no') uses normal mxRun. "yes" uses mxTryHard. Other options: "ordinal", "search" |
master |
If you set master, then the update labels will be equated to these (i.e. replaced by them). |
intervals |
Whether to run confidence intervals (see |
verbose |
How much feedback to give |
Details
You can add paths, or other model elements, set path values (default is 0), or replace labels. As an example, this one-liner drops a path labelled "Cs", and returns the updated model:
fit2 = umxModify(fit1, update = "Cs", name = "newModelName", comparison = TRUE)
Regular expressions are a powerful feature: they let you drop collections of paths by matching patterns for instance, this would match labels containing either "Cs" or "Cr":
fit2 = umxModify(fit1, regex = "C\[sr\]", name = "drop_Cs_and_Cr", comparison = TRUE)
You may find it easier to be more explicit. Like this:
fit2 = umxSetParameters(fit1, labels = c("Cs", "Cr"), values = 0, free = FALSE, name = "newName")
fit2 = mxRun(fit2)
summary(fit2)
Note: A (minor) limitation is that you cannot simultaneously set value to 0 AND relabel cells (because the default value is 0, so it is ignored when using newlabels).
Value
References
See Also
Other Core Model Building Functions:
umx,
umxMatrix(),
umxPath(),
umxRAM(),
umxSuperModel()
Examples
## Not run:
require(umx)
# First we'll just build a 1-factor model
umx_set_optimizer("SLSQP")
data(demoOneFactor)
manifests = names(demoOneFactor)
m1 = umxRAM("One Factor", data = demoOneFactor, type = "cov",
umxPath("G", to = manifests),
umxPath(var = manifests),
umxPath(var = "G", fixedAt = 1)
)
# 1. Drop the path to x1 (also updating the name so it's
# self-explanatory, and get a fit comparison
m2 = umxModify(m1, update = "G_to_x1", name = "drop_X1", comparison = TRUE)
# 2. Add the path back (setting free = TRUE)
m2 = umxModify(m1, update = "G_to_x1", free= TRUE, name = "addback_X1", comparison = TRUE)
# 3. Fix a value at a non-zero value
m3 = umxModify(m1, update = "G_to_x1", value = .35, name = "fix_G_x1_at_35", comp = TRUE)
# You can add objects to models. For instance this would add a path (overwriting the existing one)
# (thanks Johannes!)
m3 = umxModify(m1, umxPath("G", with = "x1"), name= "addedPath")
# Use regular expression to drop multiple paths: e.g. G to x3, x4, x5
m3 = umxModify(m1, regex = "^G_to_x[3-5]", name = "tried_hard", comp = TRUE, tryHard="yes")
# Same, but don't autoRun
m2 = umxModify(m1, regex = "^G_to_x[3-5]", name = "no_G_to_x3_5", autoRun = FALSE)
# Re-write a label
newLabel = "A_rose_by_any_other_name"
newModelName = "model_doth_smell_as_sweet"
m2 = umxModify(m1, update = "G_to_x1", newlabels= newLabel, name = newModelName, comparison = TRUE)
# Change labels in 2 places
labsToUpdate = c("G_to_x1", "G_to_x2")
newLabel = "G_to_1_or_2"
m2 = umxModify(m1, update = labsToUpdate, newlabels= newLabel, name = "equated", comparison = TRUE)
# Advanced!
# Regular expressions let you use pieces of the old names in creating new ones!
searchString = "G_to_x([0-9])"
newLabel = "loading_for_path\\1" # use value in regex group 1
m2 = umxModify(m1, regex = searchString, newlabels= newLabel, name = "grep", comparison = TRUE)
## End(Not run) # end dontrun
Display path estimates from a model, filtering by name and value.
Description
Often you want to see the estimates from a model, and often you don't want all of them.
umxParameters() helps in this case, allowing you to select parameters matching a name filter,
and also to only show parameters above or below a certain value.
If pattern is a vector, each regular expression is matched, and all unique matches to the whole vector are returned.
Usage
umxParameters(
x,
thresh = c("all", "above", "below", ">", "<", "NS", "sig"),
b = NULL,
pattern = ".*",
std = FALSE,
digits = 2
)
parameters(
x,
thresh = c("all", "above", "below", ">", "<", "NS", "sig"),
b = NULL,
pattern = ".*",
std = FALSE,
digits = 2
)
Arguments
x |
an |
thresh |
optional: Filter out estimates 'below' or 'above' a certain value (default = "all"). |
b |
Combine with thresh to set a minimum or maximum for which estimates to show. |
pattern |
Optional string to match in the parameter names. Default '.*' matches all. |
std |
Standardize output: NOT IMPLEMENTED YET |
digits |
Round to how many digits (2 = default). |
Details
It is on my TODO list to implement filtering by significance, and to add standardizing.
Value
list of matching parameters, filtered by name and value
References
See Also
Other Reporting Functions:
umx,
umxAPA(),
umxFactorScores(),
umxGetLatents(),
umxGetManifests(),
umxGetModel(),
umxGetParameters(),
umx_aggregate(),
umx_time()
Examples
## Not run:
require(umx)
data(demoOneFactor)
manifests = names(demoOneFactor)
m1 = umxRAM("OneFactor", data = demoOneFactor,
umxPath(from = "G", to = manifests), # factor loadings
umxPath(v.m. = manifests), # residual variance
umxPath(v1m0 = "G") # standardized latent
)
# Parameters with values below .1
umxParameters(m1, "below", .1)
# Parameters with values above .5
umxParameters(m1, "above", .5)
# Parameters with values below .1 and containing "_to_" in their label
umxParameters(m1, "below", .1, "_to_")
## End(Not run)
A wrapper to make paran easier to use.
Just automates applying complete.cases()
Description
A wrapper to make paran easier to use.
Just automates applying complete.cases()
Usage
umxParan(df, cols = NA, graph = TRUE, mapStrings = NULL)
Arguments
df |
The df (just the relevant columns) |
cols |
(optional) list of columns (default = use all) |
graph |
Whether to graph. |
mapStrings |
optional mapping if cols are strings |
Value
nothing
See Also
Other Miscellaneous Stats Functions:
FishersMethod(),
SE_from_p(),
geometric_mean(),
harmonic_mean(),
oddsratio(),
reliability(),
umx,
umxCov2cor(),
umxHetCor(),
umxWeightedAIC(),
umx_apply(),
umx_cor(),
umx_means(),
umx_r_test(),
umx_round(),
umx_scale(),
umx_var()
Examples
library(psych)
library(psychTools)
data(bfi)
umxParan(bfi[, paste0("A", 1:5)])
umxParan(bfi, cols= paste0("A", 1:5))
# umxParan(bfi, paste0("AB", 1))
Easier (and powerful) specification of paths in SEM.
Description
This function is used to easily and compactly specify paths in models. In addition to
from and to, it adds specialised parameters for variances (var), two headed paths (with) and means (mean).
There are also new terms to describe fixing values: fixedAt and fixFirst.
To give a couple of the most common, time-saving examples:
-
umxPath("A", with = "B", fixedAt = 1) -
umxPath(var = c("A", "B"), fixedAt = 1) -
umxPath(v.m. = manifests) -
umxPath(v1m0 = latents) -
umxPath(v1m0 = latents) -
umxPath(means = manifests) -
umxPath(fromEach = c('A',"B","C"), to = c("y1","y2")) -
umxPath(unique.bivariate = c('A',"B","C")) -
umxPath("A", to = c("B","C","D"), firstAt = 1)
Usage
umxPath(
from = NULL,
to = NULL,
with = NULL,
var = NULL,
cov = NULL,
means = NULL,
v1m0 = NULL,
v.m. = NULL,
v0m0 = NULL,
v.m0 = NULL,
v0m. = NULL,
fixedAt = NULL,
freeAt = NULL,
firstAt = NULL,
unique.bivariate = NULL,
unique.pairs = NULL,
fromEach = NULL,
forms = NULL,
Cholesky = NULL,
defn = NULL,
connect = c("single", "all.pairs", "all.bivariate", "unique.pairs", "unique.bivariate"),
arrows = 1,
free = TRUE,
values = NA,
labels = NA,
lbound = NA,
ubound = NA,
hasMeans = NULL
)
Arguments
from |
One or more source variables e.g "A" or c("A","B") |
to |
One or more target variables for one-headed paths, e.g "A" or c("A","B"). |
with |
2-headed path <–> from 'from' to 'with'. |
var |
Equivalent to setting 'from' and 'arrows' = 2. nb: from, to, and with must be left empty. |
cov |
Convenience to allow 2 variables to covary (equivalent to 'from' and 'with'). nb: leave from, to, etc. empty |
means |
equivalent to "from = 'one', to = x. nb: from, to, with and var must be left empty (their default). |
v1m0 |
variance of 1 and mean of zero in one call. |
v.m. |
variance and mean, both free. |
v0m0 |
variance and mean, both fixed at zero. |
v.m0 |
variance free, mean fixed at zero. |
v0m. |
variance fixed at 0, mean free. |
fixedAt |
Equivalent to setting "free = FALSE, values = fixedAt" |
freeAt |
Equivalent to setting "free = TRUE, values = freeAt" |
firstAt |
First path is fixed at this value (free is ignored: warning if other than a single TRUE) |
unique.bivariate |
equivalent to setting from, and "connect = "unique.bivariate", arrows = 2". nb: from, to, and with must be left empty (their default) |
unique.pairs |
equivalent to setting "connect = "unique.pairs", arrows = 2" (don't use from, to, or with) |
fromEach |
Like all.bivariate, but with one head arrows. 'to' can be set. |
forms |
Build a formative variable. 'from' variables form the latent. Latent variance is fixed at 0. Loading of path 1 is fixed at 1. unique.bivariate between 'from' variables. |
Cholesky |
Treat Cholesky variables as latent and to as measured, and connect as in an ACE model. |
defn |
Implements a definition variable as a latent with zero variance & mean and labeled 'data.defVar' |
connect |
as in mxPath - nb: from and to must also be set. |
arrows |
as in mxPath - nb: from and to must also be set. |
free |
whether the value is free to be optimised |
values |
default value list |
labels |
labels for each path |
lbound |
lower bounds for each path value |
ubound |
upper bounds for each path value |
hasMeans |
Used in 'forms' case to know whether the data have means or not. |
Details
umxPath introduces the following new words to your path-defining vocabulary: with, var, cov, means, v1m0,
v0m0, v.m0, v.m, fixedAt, freeAt, firstAt, unique.bivariate, unique.pairs, fromEach, Cholesky, defn, forms.
with creates covariances (2-headed paths):
umxPath(A, with = B)
Specify a variance for A with
umxPath(var = "A").
Of course you can use vectors anywhere:
umxPath(var = c('N','E', 'O'))
To specify a mean, you just say:
umxPath(mean = "A"), which is equivalent to mxPath(from = "one", to = "A").
To fix a path at a value, you can say:
umxPath(var = "A", fixedAt = 1)
The common task of creating a variable with variance fixed at 1 and mean at 0 is done thus:
umxPath(v1m0 = "A")
For free variance and means use:
umxPath(v.m. = "A")
umxPath exposes unique.bivariate and unique.pairs, So to create paths A<->A, B<->B,
and A->B, you would say:
umxPath(unique.pairs = c('A',"B"))
To create paths A<->B, B<->C, and A<->C, you would say:
umxPath(unique.bivariate = c('A',"B","C"))
Creates one-headed arrows on the all.bivariate pattern
umxPath(fromEach = c('A',"B","C"))
Setting up a latent trait, you can scale with a fixed first path thus:
umxPath("A", to = c("B","C","D"), firstAt = 1)
To create Cholesky-pattern connections:
umxPath(Cholesky = c("A1", "A2"), to c("var1", "var2"))
Value
1 or more
OpenMx::mxPath()s
References
See Also
Other Core Model Building Functions:
umx,
umxMatrix(),
umxModify(),
umxRAM(),
umxSuperModel()
Examples
# ==========================================
# = Examples of each path type, and option =
# ==========================================
umxPath("A", to = "B") # One-headed path from A to B
umxPath("A", to = "B", fixedAt = 1) # same, with value fixed @1
umxPath("A", to = c("B", "C"), fixedAt = 1:2) # same, with more than 1 value
umxPath("A", to = c("B","C"), firstAt = 1) # Fix only the first path, others free
umxPath(var = "A") # Give a variance to A
umxPath(var = "A", fixedAt = 1) # Give A variance, fixed at 1
umxPath(means = c("A","B")) # Create a means model for A: from = "one", to = "A"
umxPath(v1m0 = "A") # Give "A" variance and a mean, fixed at 1 and 0 respectively
umxPath(v.m. = "A") # Give "A" variance and a mean, leaving both free.
umxPath(v0m0 = "W", label = c(NA, "data.W"))
umxPath("A", with = "B") # using with: same as "to = B, arrows = 2"
umxPath("A", with = "B", fixedAt = .5) # 2-head path fixed at .5
umxPath("A", with = c("B", "C"), firstAt = 1) # first covariance fixed at 1
umxPath(cov = c("A", "B")) # Covariance A <-> B
umxPath(defn = "mpg") # create latent called def_mpg, with var = 1 and label = "data.mpg"
umxPath(fromEach = c('a','b'), to = c('c','d')) # a->c, a<->d, b<->c, b<->d
umxPath(unique.bivariate = c('a','b','c')) # bivariate paths a<->b, a<->c, b<->c etc.
umxPath(unique.pairs = letters[1:3]) # all distinct pairs: a<->a, a<->b, a<->c, b<->b, etc.
umxPath(Cholesky = c("A1","A2"), to = c("m1", "m2")) # Cholesky
## Not run:
# A worked example
data(demoOneFactor)
manifests = names(demoOneFactor)
m1 = umxRAM("One Factor", data = demoOneFactor, type= "cov",
umxPath("G", to = manifests),
umxPath(var = manifests),
umxPath(var = "G", fixedAt = 1.0)
)
umxSummary(m1, std = TRUE)
require(umx)
# ====================
# = Cholesky example =
# ====================
# ======================================================================
# = 3-factor Cholesky (A component of a 5-variable 3-factor ACE model) =
# ======================================================================
latents = paste0("A", 1:3)
manifests = names(demoOneFactor)
m1 = umxRAM("Chol", data = demoOneFactor, type = "cov",
umxPath(Cholesky = latents, to = manifests),
umxPath(var = manifests),
umxPath(var = latents, fixedAt = 1)
)
plot(m1, splines= FALSE)
# ======================================================================
# = Definition variable example. for a RAM model =
# = def vars are instantiated as dummy latents with data on the "mean" =
# ======================================================================
library(umx); libs("MASS") # for mvrnorm()
# 1. Create Data
N = 500 # size of each group
Sigma = matrix(c(1,.5,.5,1),2,2) # cov (.5)
group1 = MASS::mvrnorm(N, c(1,2), Sigma)
group2 = MASS::mvrnorm(N, c(0,0), Sigma)
# rbind groups and name cols "x" and "y"
xy = rbind(group1, group2)
dimnames(xy)[2]= list(c("x", "y"))
# Create a definition variable for group status
groupID = rep(c(1,0), each = N)
df = data.frame(xy, groupID = groupID)
# Make the model with a definition variable on means
m1 = umxRAM("Def Means", data = df,
umxPath(v.m. = c("x","y")),
umxPath("x", with = "y"),
# create a unit latent called "def_groupID" with data "data.groupID"
umxPath(defn = "groupID"),
# Add it to the x and y means
umxPath("def_groupID", to = c("x", "y"))
)
plot(m1)
## End(Not run)
Quickly plot y ~ x with a regression line and R^2, and nice labels.
Description
Want a figure for your paper or presentation but not the work of combining ggplot2::ggplot(),
ggplot2::geom_smooth() and method options, plus ggplot2::geom_point(). Organizing ggplot2::labs() and its
x, y, and title components. Adding your preferred theme like ggplot2::theme_gray(), plus recalling
for cowplot::draw_label(), and/or ggplot2::annotate() to draw math-enabled labels on the plot, as well
as the required bquote(), and extracting the relevant fit statistics from lm() and the subsidiary tasks
of reformulate() programmatic variables?
umxPlot just takes y ~ x (or "x" and "y" as strings), and gives you a nicely labelled plot, with a fitted line, the
R2 so readers can see how well this fitted. It knows how to put Greek symbols like beta into axes.
Usage
umxPlot(
x,
y = NULL,
data,
xlab = x,
ylab = y,
title = paste0(y, " as a function of ", x),
r2x = NA,
r2y = NA,
geom_point = TRUE,
method = c("lm", "auto", "loess", "glm", "gam"),
family = c("gaussian", "binomial", "Gamma", "inverse", "poisson", "quasi",
"quasibinomial", "quasipoisson")
)
Arguments
x |
formula or (alternatively) x as string |
y |
variable as string. |
data |
The data for the graph. |
xlab |
X-axis label (default y). |
ylab |
Y-axis label (default y). |
title |
Graph title. Default = paste0(y, " as a function of ", x) |
r2x |
x location for the fit summary (default 1). |
r2y |
y location for the fit summary (default 2). |
geom_point |
show points? (TRUE) |
method |
Method for fitting curve (default = lm) |
family |
for glm default = "gaussian" |
Value
plot you can edit.
See Also
Other Plotting functions:
ggAddR(),
plot.MxLISRELModel(),
plot.MxModel(),
plot.MxModelTwinMaker(),
umx,
umxPlotACE(),
umxPlotACEcov(),
umxPlotACEv(),
umxPlotCP(),
umxPlotDoC(),
umxPlotFun(),
umxPlotGxE(),
umxPlotGxEbiv(),
umxPlotIP(),
umxPlotPredict(),
umxPlotSexLim(),
umxPlotSimplex()
Examples
data(mtcars)
umxPlot(mpg ~ wt, data = mtcars, r2x = 2, r2y = 10)
umxPlot(x = "wt", y = "mpg", mtcars, r2x = 2, r2y = 10)
Make a graphical display of an ACE model
Description
plot method for umxACE() models. Make a graphical display of an ACE model
Usage
umxPlotACE(
x = NA,
file = "name",
digits = 2,
means = FALSE,
std = TRUE,
strip_zero = TRUE,
showFixed = FALSE,
...
)
Arguments
x |
|
file |
The name of the dot file to write: NA = none; "name" = use the name of the model |
digits |
How many decimals to include in path loadings (default is 2) |
means |
Whether to show means paths (default is FALSE) |
std |
Whether to standardize the model (default is TRUE) |
strip_zero |
Whether to strip the leading "0" and decimal point from parameter estimates (default = TRUE) |
showFixed |
Whether too draw fixed parameters. |
... |
Additional (optional) parameters |
Value
optionally return the dot code
References
See Also
-
plot(),umxSummary()work for IP, CP, GxE, SAT, and ACE models.
Other Plotting functions:
ggAddR(),
plot.MxLISRELModel(),
plot.MxModel(),
plot.MxModelTwinMaker(),
umx,
umxPlot(),
umxPlotACEcov(),
umxPlotACEv(),
umxPlotCP(),
umxPlotDoC(),
umxPlotFun(),
umxPlotGxE(),
umxPlotGxEbiv(),
umxPlotIP(),
umxPlotPredict(),
umxPlotSexLim(),
umxPlotSimplex()
Examples
## Not run:
require(umx)
data(twinData)
mzData = subset(twinData, zygosity == "MZFF")
dzData = subset(twinData, zygosity == "DZFF")
m1 = umxACE("plotACE example", selDVs = "bmi", dzData = dzData, mzData = mzData, sep = "")
plot(m1, std = FALSE) # don't standardize
## End(Not run)
Make a graphical display of an ACE model with covariates.
Description
Make a graphical display of an ACE model with covariates.
Usage
umxPlotACEcov(
x = NA,
file = "name",
digits = 2,
means = FALSE,
std = TRUE,
strip_zero = TRUE,
...
)
Arguments
x |
|
file |
The name of the dot file to write: NA = none; "name" = use the name of the model |
digits |
How many decimals to include in path loadings (default is 2) |
means |
Whether to show means paths (default is FALSE) |
std |
Whether to standardize the model (default is TRUE) |
strip_zero |
Whether to strip the leading "0" and decimal point from parameter estimates (default = TRUE) |
... |
Additional (optional) parameters |
Value
optionally return the dot code
References
See Also
-
plot(),umxSummary()work for IP, CP, GxE, SAT, and ACE models.
Other Plotting functions:
ggAddR(),
plot.MxLISRELModel(),
plot.MxModel(),
plot.MxModelTwinMaker(),
umx,
umxPlot(),
umxPlotACE(),
umxPlotACEv(),
umxPlotCP(),
umxPlotDoC(),
umxPlotFun(),
umxPlotGxE(),
umxPlotGxEbiv(),
umxPlotIP(),
umxPlotPredict(),
umxPlotSexLim(),
umxPlotSimplex()
Examples
## Not run:
require(umx)
# BMI ?twinData from Australian twins.
# Cohort 1 Zygosity 1 == MZ females 3 == DZ females
data(twinData)
# Pick the variables. We will use base names (i.e., "bmi") and set suffix.
selDVs = c("bmi")
selCovs = c("ht")
selVars = umx_paste_names(c(selDVs, selCovs), sep = "", suffixes= 1:2)
# Just top few pairs so example runs quickly
mzData = subset(twinData, zygosity == "MZFF", selVars)[1:100, ]
dzData = subset(twinData, zygosity == "DZFF", selVars)[1:100, ]
m1 = umxACEcov(selDVs= selDVs, selCovs= selCovs, dzData= dzData, mzData= mzData, sep= "")
plot(m1)
plot(m1, std = FALSE) # don't standardize
## End(Not run)
Produce a graphical display of an ACE variance-components twin model
Description
Plots an ACE model graphically, opening the result in the browser (or a graphviz application).
Usage
umxPlotACEv(
x = NA,
file = "name",
digits = 2,
means = FALSE,
std = TRUE,
strip_zero = TRUE,
...
)
Arguments
x |
|
file |
The name of the dot file to write: Default ("name") = use the name of the model. NA = don't plot. |
digits |
How many decimals to include in path loadings (default = 2) |
means |
Whether to show means paths (default = FALSE) |
std |
Whether to standardize the model (default = FALSE) |
strip_zero |
Whether to strip the leading "0" and decimal point from parameter estimates (default = TRUE) |
... |
Additional (optional) parameters |
Value
optionally return the dot code
References
See Also
Other Plotting functions:
ggAddR(),
plot.MxLISRELModel(),
plot.MxModel(),
plot.MxModelTwinMaker(),
umx,
umxPlot(),
umxPlotACE(),
umxPlotACEcov(),
umxPlotCP(),
umxPlotDoC(),
umxPlotFun(),
umxPlotGxE(),
umxPlotGxEbiv(),
umxPlotIP(),
umxPlotPredict(),
umxPlotSexLim(),
umxPlotSimplex()
Examples
## Not run:
require(umx)
data(twinData)
mzData = subset(twinData, zygosity == "MZFF")
dzData = subset(twinData, zygosity == "DZFF")
m1 = umxACEv(selDVs = "bmi", dzData = dzData, mzData = mzData, sep = "")
umxSummary(m1)
umxPlotACEv(m1, std = FALSE) # Don't standardize
plot(m1, std = FALSE) # don't standardize
## End(Not run)
Draw and display a graphical figure of Common Pathway model
Description
Options include digits (rounding), showing means or not, and which output format is desired.
Usage
umxPlotCP(
x = NA,
means = FALSE,
std = TRUE,
digits = 2,
showFixed = TRUE,
file = "name",
format = c("current", "graphviz", "DiagrammeR"),
SEstyle = FALSE,
strip_zero = TRUE,
...
)
Arguments
x |
The Common Pathway |
means |
Whether to show means paths (defaults to FALSE) |
std |
Whether to standardize the model (defaults to TRUE) |
digits |
How many decimals to include in path loadings (defaults to 2) |
showFixed |
Whether to graph paths that are fixed but != 0 (default = TRUE) |
file |
The name of the dot file to write: NA = none; "name" = use the name of the model |
format |
= c("current", "graphviz", "DiagrammeR") |
SEstyle |
report "b (se)" instead of "b [lower, upper]" when CIs are found (Default FALSE) |
strip_zero |
Whether to strip the leading "0" and decimal point from parameter estimates (default = TRUE) |
... |
Optional additional parameters |
Value
Optionally return the dot code
References
See Also
-
plot(),umxSummary()work for IP, CP, GxE, SAT, and ACE models.
Other Plotting functions:
ggAddR(),
plot.MxLISRELModel(),
plot.MxModel(),
plot.MxModelTwinMaker(),
umx,
umxPlot(),
umxPlotACE(),
umxPlotACEcov(),
umxPlotACEv(),
umxPlotDoC(),
umxPlotFun(),
umxPlotGxE(),
umxPlotGxEbiv(),
umxPlotIP(),
umxPlotPredict(),
umxPlotSexLim(),
umxPlotSimplex()
Examples
## Not run:
require(umx)
umx_set_optimizer("SLSQP")
data(GFF)
mzData = subset(GFF, zyg_2grp == "MZ")
dzData = subset(GFF, zyg_2grp == "DZ")
selDVs = c("gff", "fc", "qol", "hap", "sat", "AD")
m1 = umxCP("new", selDVs = selDVs, sep = "_T",
dzData = dzData, mzData = mzData, nFac = 3
)
# m1 = mxTryHardOrdinal(m1)
umxPlotCP(m1)
plot(m1) # No need to remember a special name: plot works fine!
## End(Not run)
Plot a Direction of Causation Model.
Description
Summarize a fitted model returned by umxDoC(). Can control digits, report comparison model fits,
optionally show the Rg (genetic and environmental correlations), and show confidence intervals.
note: std is not implemented as yet.
See documentation for other umx models here: umxSummary().
Usage
umxPlotDoC(
x = NA,
means = FALSE,
std = FALSE,
digits = 2,
showFixed = TRUE,
file = "name",
format = c("current", "graphviz", "DiagrammeR"),
SEstyle = FALSE,
strip_zero = FALSE,
...
)
Arguments
x |
a |
means |
Whether to show means paths (defaults to FALSE) |
std |
Whether to standardize the model (defaults to TRUE) |
digits |
How many decimals to include in path loadings (defaults to 2) |
showFixed |
Whether to graph paths that are fixed but != 0 (default = TRUE) |
file |
The name of the dot file to write: NA = none; "name" = use the name of the model |
format |
= c("current", "graphviz", "DiagrammeR") |
SEstyle |
report "b (se)" instead of "b [lower, upper]" when CIs are found (Default FALSE) |
strip_zero |
Whether to strip the leading "0" and decimal point from parameter estimates (default = TRUE) |
... |
Other parameters to control model summary. |
Value
Optionally return the dot code
References
See Also
Other Plotting functions:
ggAddR(),
plot.MxLISRELModel(),
plot.MxModel(),
plot.MxModelTwinMaker(),
umx,
umxPlot(),
umxPlotACE(),
umxPlotACEcov(),
umxPlotACEv(),
umxPlotCP(),
umxPlotFun(),
umxPlotGxE(),
umxPlotGxEbiv(),
umxPlotIP(),
umxPlotPredict(),
umxPlotSexLim(),
umxPlotSimplex()
Examples
## Not run:
# ================
# = 1. Load Data =
# ================
data(docData)
mzData = subset(docData, zygosity %in% c("MZFF", "MZMM"))
dzData = subset(docData, zygosity %in% c("DZFF", "DZMM"))
# =======================================
# = 2. Define manifests for var 1 and 2 =
# =======================================
var1 = paste0("varA", 1:3)
var2 = paste0("varB", 1:3)
# =======================================================
# = 2. Make the non-causal (Cholesky) and causal models =
# =======================================================
Chol= umxDoC(var1= var1, var2= var2, mzData= mzData, dzData= dzData, causal= FALSE)
DoC = umxDoC(var1= var1, var2= var2, mzData= mzData, dzData= dzData, causal= TRUE)
# ================================================
# = Make the directional models by modifying DoC =
# ================================================
a2b = umxModify(DoC, "a2b", free = TRUE, name = "A2B")
plot(a2b)
## End(Not run)
Easily plot functions in R
Description
A wrapper for ggplot2::stat_function() that handles single or multiple functions.
Usage
umxPlotFun(
fun = c("sin(x)", "cos(x)"),
min = -1,
max = 5,
xlab = NULL,
ylab = NULL,
title = NULL,
logY = c("no", "log", "log10"),
logX = c("no", "log", "log10"),
p = NULL
)
Arguments
fun |
Function(s) to plot. Takes strings like c("3 + sin(x)^2", "cos(x)") or function objects. |
min |
x-range min. |
max |
x-range max. |
xlab |
Optional x axis label. |
ylab |
Optional y axis label. |
title |
Optional title for the plot. |
logY |
Set to "log" or "log10" to transform y coordinate. |
logX |
Set to "log" or "log10" to transform x coordinate. |
p |
Optional plot onto which to draw the function(s). |
Details
Easily plot functions—like sin or x^2—using ggplot. Accepts bare functions, strings, or lists of strings/functions. Automatically generates a legend when multiple functions are provided.
Value
A ggplot graph object
See Also
Other Plotting functions:
ggAddR(),
plot.MxLISRELModel(),
plot.MxModel(),
plot.MxModelTwinMaker(),
umx,
umxPlot(),
umxPlotACE(),
umxPlotACEcov(),
umxPlotACEv(),
umxPlotCP(),
umxPlotDoC(),
umxPlotGxE(),
umxPlotGxEbiv(),
umxPlotIP(),
umxPlotPredict(),
umxPlotSexLim(),
umxPlotSimplex()
Examples
## Not run:
# Plotting multiple strings
p = umxPlotFun(c("sin(x)", "cos(x)"), max = 2*pi)
# Providing a named list to control legend labels
umxPlotFun(list(Sine = sin, Cosine = cos), max = 2*pi)
## End(Not run)
Plot the results of a GxE univariate test for moderation of ACE components.
Description
Plot GxE results (univariate environmental moderation of ACE components). Options include plotting the raw and standardized graphs separately, or in a combined panel. You can also set the label for the x axis (xlab), and choose the location of the legend.
Usage
umxPlotGxE(
x,
xlab = NA,
location = "topleft",
separateGraphs = FALSE,
acergb = c("red", "green", "blue", "black"),
gg = TRUE,
moderatorValues = NULL,
...
)
Arguments
x |
A fitted |
xlab |
String to use for the x label (default = NA, which will use the variable name) |
location |
Where to plot the legend (default = "topleft") see ?legend for alternatives like bottomright |
separateGraphs |
(default = FALSE) |
acergb |
Colors to use for plot c(a = "red", c = "green", e = "blue", tot = "black") |
gg |
Use ggplot2 (default = TRUE) |
moderatorValues |
If you want to pass in your own list of moderator values instead of the real ones in the data (Default = NULL) |
... |
Optional additional parameters |
Details
note: If gg=TRUE, the plots are drawn in ggplot, and also returned as a list(raw, std) so you can edit them.
Value
None
References
See Also
-
plot(),umxSummary()work for IP, CP, GxE, SAT, and ACE models.
Other Plotting functions:
ggAddR(),
plot.MxLISRELModel(),
plot.MxModel(),
plot.MxModelTwinMaker(),
umx,
umxPlot(),
umxPlotACE(),
umxPlotACEcov(),
umxPlotACEv(),
umxPlotCP(),
umxPlotDoC(),
umxPlotFun(),
umxPlotGxEbiv(),
umxPlotIP(),
umxPlotPredict(),
umxPlotSexLim(),
umxPlotSimplex()
Examples
## Not run:
require(umx)
data(twinData)
twinData$age1 = twinData$age2 = twinData$age
mzData = subset(twinData, zygosity == "MZFF")
dzData = subset(twinData, zygosity == "DZFF")
m1= umxGxE(selDVs= "bmi", selDefs= "age", dzData= dzData, mzData= mzData, sep="", tryHard="yes")
plot(m1)
# Directly call umxPlotGxE
umxPlotGxE(m1, xlab = "Age", separateGraphs = TRUE, gg = FALSE)
umxPlotGxE(m1, moderatorValues=18:67)
## End(Not run)
Plot the results of a GxE univariate test for moderation of ACE components.
Description
Plot GxE results (univariate environmental moderation of ACE components). Options include plotting the raw and standardized graphs separately, or in a combined panel. You can also set the label for the x axis (xlab), and choose the location of the legend.
Usage
umxPlotGxEbiv(x, xlab = NA, location = "topleft", separateGraphs = FALSE, ...)
Arguments
x |
A fitted |
xlab |
String to use for the x label (default = NA, which will use the variable name) |
location |
Where to plot the legend (default = "topleft") see ?legend for alternatives like bottomright |
separateGraphs |
(default = FALSE) |
... |
Optional additional parameters |
Value
None
References
See Also
-
plot(),umxSummary()work for IP, CP, GxE, SAT, and ACE models.
Other Plotting functions:
ggAddR(),
plot.MxLISRELModel(),
plot.MxModel(),
plot.MxModelTwinMaker(),
umx,
umxPlot(),
umxPlotACE(),
umxPlotACEcov(),
umxPlotACEv(),
umxPlotCP(),
umxPlotDoC(),
umxPlotFun(),
umxPlotGxE(),
umxPlotIP(),
umxPlotPredict(),
umxPlotSexLim(),
umxPlotSimplex()
Examples
require(umx)
data(twinData)
## Not run:
selDVs = "wt"; selDefs = "ht"
df = umx_scale_wide_twin_data(twinData, varsToScale = c("ht", "wt"), suffix = "")
mzData = subset(df, zygosity %in% c("MZFF", "MZMM"))
dzData = subset(df, zygosity %in% c("DZFF", "DZMM", "DZOS"))
m1 = umxGxEbiv(selDVs = selDVs, selDefs = selDefs,
dzData = dzData, mzData = mzData, sep = "", dropMissingDef = TRUE)
# Plot Moderation
plot(m1)
umxPlotGxEbiv(m1, xlab = "wt", separateGraphs = TRUE, location = "topleft")
## End(Not run)
Draw a graphical figure for a Independent Pathway model
Description
Options include digits (rounding), showing means or not, standardization, and which output format is desired.
Usage
umxPlotIP(
x = NA,
file = "name",
digits = 2,
means = FALSE,
std = TRUE,
showFixed = TRUE,
format = c("current", "graphviz", "DiagrammeR"),
SEstyle = FALSE,
strip_zero = TRUE,
...
)
Arguments
x |
The |
file |
The name of the dot file to write: NA = none; "name" = use the name of the model |
digits |
How many decimals to include in path loadings (defaults to 2) |
means |
Whether to show means paths (defaults to FALSE) |
std |
Whether to standardize the model (defaults to TRUE) |
showFixed |
Whether to graph paths that are fixed but != 0 (default = TRUE) |
format |
= c("current", "graphviz", "DiagrammeR") |
SEstyle |
Report "b (se)" instead of "b [lower, upper]" (Default) |
strip_zero |
Whether to strip the leading "0" and decimal point from parameter estimates (default = TRUE) |
... |
Optional additional parameters |
Value
optionally return the dot code
References
See Also
-
plot(),umxSummary()work for IP, CP, GxE, SAT, and ACE models.
Other Plotting functions:
ggAddR(),
plot.MxLISRELModel(),
plot.MxModel(),
plot.MxModelTwinMaker(),
umx,
umxPlot(),
umxPlotACE(),
umxPlotACEcov(),
umxPlotACEv(),
umxPlotCP(),
umxPlotDoC(),
umxPlotFun(),
umxPlotGxE(),
umxPlotGxEbiv(),
umxPlotPredict(),
umxPlotSexLim(),
umxPlotSimplex()
Examples
## Not run:
require(umx)
data(GFF)
mzData = subset(GFF, zyg_2grp == "MZ")
dzData = subset(GFF, zyg_2grp == "DZ")
selDVs = c("gff","fc","qol","hap","sat","AD") # These will be expanded into "gff_T1" "gff_T2" etc.
m1 = umxIP(selDVs = selDVs, sep = "_T", dzData = dzData, mzData = mzData)
plot(model)
umxPlotIP(model, file = NA)
## End(Not run)
umxPlotPredict Take a model and plot the y against predicted(y)
Description
umxPlotPredict is a function which
Usage
umxPlotPredict(
model,
xlab = "Predicted Y",
ylab = "Observed Y",
r2x = 1.5,
r2y = 4.5,
font_size = 13,
rsq = FALSE,
font = "Times"
)
Arguments
model |
lm or other model that understands predict() |
xlab |
X-axis label (default x). |
ylab |
Y-axis label (default y). |
r2x |
x location for the fit summary. |
r2y |
y location for the fit summary. |
font_size |
Default 13 |
rsq |
R^2 or r (defaults to FALSE = r) |
font |
Default "Times" |
Value
plot you can edit.
See Also
Other Plotting functions:
ggAddR(),
plot.MxLISRELModel(),
plot.MxModel(),
plot.MxModelTwinMaker(),
umx,
umxPlot(),
umxPlotACE(),
umxPlotACEcov(),
umxPlotACEv(),
umxPlotCP(),
umxPlotDoC(),
umxPlotFun(),
umxPlotGxE(),
umxPlotGxEbiv(),
umxPlotIP(),
umxPlotSexLim(),
umxPlotSimplex()
Examples
data(mtcars)
tmp = lm(mpg ~ wt, data = mtcars)
umxPlotPredict(tmp, r2x = 2, r2y = 10)
Draw and display a graphical figure of a Sex limitation model
Description
Will plot a graphical figure for a sex limitation model.
Options include digits (rounding), showing means or not, and which output format is desired.
Usage
umxPlotSexLim(
x = NA,
file = "name",
digits = 2,
means = FALSE,
std = TRUE,
format = c("current", "graphviz", "DiagrammeR"),
SEstyle = FALSE,
strip_zero = TRUE,
...
)
Arguments
x |
|
file |
The name of the dot file to write: NA = none; "name" = use the name of the model |
digits |
How many decimals to include in path loadings (defaults to 2) |
means |
Whether to show means paths (defaults to FALSE) |
std |
Whether to standardize the model (defaults to TRUE) |
format |
= c("current", "graphviz", "DiagrammeR") |
SEstyle |
report "b (se)" instead of "b [lower, upper]" (Default) |
strip_zero |
Whether to strip the leading "0" and decimal point from parameter estimates (default = TRUE) |
... |
Optional additional parameters |
Value
Optionally return the dot code
References
See Also
Other Plotting functions:
ggAddR(),
plot.MxLISRELModel(),
plot.MxModel(),
plot.MxModelTwinMaker(),
umx,
umxPlot(),
umxPlotACE(),
umxPlotACEcov(),
umxPlotACEv(),
umxPlotCP(),
umxPlotDoC(),
umxPlotFun(),
umxPlotGxE(),
umxPlotGxEbiv(),
umxPlotIP(),
umxPlotPredict(),
umxPlotSimplex()
Examples
## Not run:
require(umx)
umx_set_optimizer("SLSQP")
data("us_skinfold_data")
# Rescale vars
us_skinfold_data[, c('bic_T1', 'bic_T2')] = us_skinfold_data[, c('bic_T1', 'bic_T2')]/3.4
us_skinfold_data[, c('tri_T1', 'tri_T2')] = us_skinfold_data[, c('tri_T1', 'tri_T2')]/3
us_skinfold_data[, c('caf_T1', 'caf_T2')] = us_skinfold_data[, c('caf_T1', 'caf_T2')]/3
us_skinfold_data[, c('ssc_T1', 'ssc_T2')] = us_skinfold_data[, c('ssc_T1', 'ssc_T2')]/5
us_skinfold_data[, c('sil_T1', 'sil_T2')] = us_skinfold_data[, c('sil_T1', 'sil_T2')]/5
# Data for each of the 5 twin-type groups
mzmData = subset(us_skinfold_data, zyg == 1)
mzfData = subset(us_skinfold_data, zyg == 2)
dzmData = subset(us_skinfold_data, zyg == 3)
dzfData = subset(us_skinfold_data, zyg == 4)
dzoData = subset(us_skinfold_data, zyg == 5)
# ==========================
# = Run univariate example =
# ==========================
m1 = umxSexLim(selDVs = "bic", sep = "_T", A_or_C = "A", autoRun= FALSE,
mzmData = mzmData, dzmData = dzmData,
mzfData = mzfData, dzfData = dzfData,
dzoData = dzoData
)
m1 = mxTryHard(m1)
umxPlotSexLim(m1)
plot(m1) # no need to remember a special name: plot works fine!
## End(Not run)
Draw and display a graphical figure of a simplex model
Description
Options include digits (rounding), showing means or not, and which output format is desired.
Usage
umxPlotSimplex(
x = NA,
file = "name",
digits = 2,
means = FALSE,
std = TRUE,
format = c("current", "graphviz", "DiagrammeR"),
strip_zero = TRUE,
...
)
Arguments
x |
The |
file |
The name of the dot file to write: NA = none; "name" = use the name of the model |
digits |
How many decimals to include in path loadings (defaults to 2) |
means |
Whether to show means paths (defaults to FALSE) |
std |
Whether to standardize the model (defaults to TRUE) |
format |
= c("current", "graphviz", "DiagrammeR") |
strip_zero |
Whether to strip the leading "0" and decimal point from parameter estimates (default = TRUE) |
... |
Optional additional parameters |
Value
Optionally return the dot code
See Also
-
plot(),umxSummary()work for IP, CP, GxE, SAT, simplex, ACEv, or ACE model.
Other Plotting functions:
ggAddR(),
plot.MxLISRELModel(),
plot.MxModel(),
plot.MxModelTwinMaker(),
umx,
umxPlot(),
umxPlotACE(),
umxPlotACEcov(),
umxPlotACEv(),
umxPlotCP(),
umxPlotDoC(),
umxPlotFun(),
umxPlotGxE(),
umxPlotGxEbiv(),
umxPlotIP(),
umxPlotPredict(),
umxPlotSexLim()
Examples
## Not run:
data(iqdat)
mzData = subset(iqdat, zygosity == "MZ")
dzData = subset(iqdat, zygosity == "DZ")
selDVs = c("IQ_age1", "IQ_age2", "IQ_age3", "IQ_age4")
m1 = umxSimplex(selDVs = selDVs, sep = "_T", dzData = dzData, mzData = mzData)
# plot(m1)
## End(Not run)
Test power to detect specified path values in a model.
Description
umxPower takes an input model (the model of the true data), and tests power (or determines n)
to detect dropping (or changing the value) a path in this true model.
A typical target for power is 80%. Much as the accepted critical p-value is .05, this has emerged as a trade off, in this case of resources required for more powerful studies against the cost of missing a true effect. People interested in truth discourage running studies with low power: A study with 20 percent power will fail to detect real effects 80% of the time. But even with zero power, the Type-I error rate remains a nominal 5% (and with any researcher degrees of freedom, perhaps much more than that). Low powered research, then, fails to detect true effects, and generates support for random false theories about as often. This sounds silly, but empirical rates are often as low as 20% (Button, et al., 2013).
Illustration of \alpha, \beta, and power (1-\beta):
Usage
umxPower(
trueModel,
update = NULL,
n = NULL,
power = NULL,
sig.level = 0.05,
value = 0,
method = c("ncp", "empirical"),
explore = FALSE,
digits = 2,
plot = TRUE,
silent = TRUE
)
Arguments
trueModel |
The model with the parameters at values you expect in the population. |
update |
The parameter(s) to drop |
n |
How many subjects? (Default = NULL) |
power |
Default = NULL (conventional level = .8) |
sig.level |
Default = .05 |
value |
Value of dropped parameter (default = 0) |
method |
"ncp" (default) or "empirical" |
explore |
Whether to tabulate the range of n or effect size (if n specified). Default = FALSE. |
digits |
Rounding precision for reporting result. |
plot |
whether to plot the power. |
silent |
Suppress model runs printouts to console (TRUE) |
Value
power table
References
Miles, J. (2003). A framework for power analysis using a structural equation modelling procedure. BMC Medical Research Methodology, 3, 27. doi:10.1186/1471-2288-3-27
See Also
Other Teaching and Testing functions:
tmx_show.MxModel(),
umxDiagnose()
Examples
## Not run:
# ===================================================
# = Power to detect correlation of .3 in 200 people =
# ===================================================
# 1 Make some data
tmp = umx_make_raw_from_cov(qm(1, .3| .3, 1), n=2000, varNames= c("X", "Y"), empirical= TRUE)
# 2. Make model of true XY correlation of .3
m1 = umxRAM("corXY", data = tmp,
umxPath("X", with = "Y"),
umxPath(var = c("X", "Y"))
)
# 3. Test power to detect .3 versus 0, with n= 90 subjects
umxPower(m1, "X_with_Y", n= 90)
# ####################
# # Estimating power #
# ####################
#
# method = ncp
# n = 90
# power = 0.83
# sig.level = 0.05
# statistic = LRT
# =================================================
# = Tabulate Power across a range of values of n =
# =================================================
umxPower(m1, "X_with_Y", explore = TRUE)
# =====================================
# = Examples with method = empirical =
# =====================================
# Power to detect r = .3 given n=90
umxPower(m1, "X_with_Y", n = 90, method = "empirical")
# power is .823
# Test using pwr library r.test doing the same thing.
pwr::pwr.r.test(r = .3, n = 90)
# n = 90
# r = 0.3
# sig.level = 0.05
# power = 0.827
# alternative = two.sided
# Power search for detectable effect size, given n = 90
umxPower(m1, "X_with_Y", explore = TRUE)
umxPower(m1, "X_with_Y", n= 90, explore = TRUE)
umxPower(m1, "X_with_Y", n= 90, method = "empirical", explore = TRUE)
data(twinData) # ?twinData from Australian twins.
twinData[, c("ht1", "ht2")] = twinData[, c("ht1", "ht2")] * 10
mzData = twinData[twinData$zygosity %in% "MZFF", ]
dzData = twinData[twinData$zygosity %in% "DZFF", ]
m1 = umxACE(selDVs = "ht", selCovs = "age", sep = "", dzData = dzData, mzData = mzData)
# drop more than 1 path
umxPower(m1, update = c("c_r1c1", "age_b_Var1"), method = 'ncp', n=90, explore = TRUE)
# Specify only 1 parameter (not 'age_b_Var1' and 'c_r1c1' ) to search a parameter:power relationship
# note: Can't use method = "ncp" with search)
umxPower(m1, update = c("c_r1c1", "age_b_Var1"), method = 'empirical', n=90, explore = TRUE)
umxPower(m1, update = c("c_r1c1"), method = 'empirical', n=90, explore = TRUE)
## End(Not run)
Build and run path-based SEM models
Description
umxRAM expedites creation of structural equation models, still without doing invisible things to the model. It
supports umxPath(). To support cross-language sharing and science learning, umxRAM also supports lavaan model strings.
Here's a path example that models miles per gallon (mpg) as a function of weight (wt) and engine displacement (disp)
using the widely used mtcars data set.
m1 = umxRAM("tim", data = mtcars,
umxPath(c("wt", "disp"), to = "mpg"),
umxPath("wt", with = "disp"),
umxPath(v.m. = c("wt", "disp", "mpg"))
)
As you can see, most of the work is done by umxPath(). umxRAM wraps these paths up, takes the data = input, and
then internally sets up all the labels and start values for the model, runs it, and calls umxSummary(), and plot.MxModel().
Try it, or one of the several models in the examples at the bottom of this page.
A common error is to include data in the main list, a bit like
saying lm(y ~ x + df) instead of lm(y ~ x, data = df).
nb: Because it uses the presence of a variable in the data to detect if a variable is latent or not, umxRAM needs data at build time.
String Syntax
Here is an example using lavaan syntax (for more, see umxLav2RAM())
m1 = umxRAM("mpg ~ wt + disp", data = mtcars)
Sketch mode
If you are at the "sketching" stage of theory consideration, umxRAM supports
setting data to a simple vector of manifest names.
As usual in umxRAM, any variables you refer to that are not in data are treated as latents.
m1 = umxRAM("sketch", data = c("A", "B"),
umxPath("C", to = c("A", "B"), values=.3),
umxPath("A", with = "B", values=.45),
umxPath(v.m. = c("A", "B")),
umxPath(v1m0 = "C")
)
plot(m1, means = FALSE)
Will create this figure:
Usage
umxRAM(
model = NA,
...,
data = NULL,
name = NA,
group = NULL,
group.equal = NULL,
suffix = "",
comparison = TRUE,
type = c("Auto", "FIML", "cov", "cor", "WLS", "DWLS", "ULS"),
weight = NULL,
allContinuousMethod = c("cumulants", "marginals"),
autoRun = getOption("umx_auto_run"),
tryHard = c("no", "yes", "ordinal", "search"),
std = FALSE,
refModels = NULL,
remove_unused_manifests = TRUE,
independent = NA,
setValues = TRUE,
optimizer = NULL,
verbose = FALSE,
std.lv = FALSE,
lavaanMode = c("sem", "lavaan"),
printTab = FALSE
)
Arguments
model |
A model to update (or set to string to use as name for new model) |
... |
umxPaths, mxThreshold objects, etc. |
data |
data for the model. Can be an |
name |
A friendly name for the model |
group |
(optional) Column name to use for a multi-group model (default = NULL) |
group.equal |
In multi-group models, what to equate across groups (default = NULL: all free) |
suffix |
String to append to each label (useful if model will be used in a multi-group model) |
comparison |
Compare the new model to the old (if updating an existing model: default = TRUE) |
type |
One of "Auto", "FIML", "cov", "cor", "WLS", "DWLS", "ULS" |
weight |
Passes weight values to mxData |
allContinuousMethod |
"cumulants" or "marginals". Used in all-continuous WLS data to determine if a means model needed. |
autoRun |
Whether to run the model (default), or just to create it and return without running. |
tryHard |
Default ('no') uses normal mxRun. "yes" uses mxTryHard. Other options: "ordinal", "search" |
std |
Whether to show standardized estimates, raw (NULL print fit only) |
refModels |
pass in reference models if available. Use FALSE to suppress computing these if not provided. |
remove_unused_manifests |
Whether to remove variables in the data to which no path makes reference (defaults to TRUE) |
independent |
Whether the model is independent (default = NA) |
setValues |
Whether to generate likely good start values (Defaults to TRUE) |
optimizer |
optionally set the optimizer (default NULL does nothing) |
verbose |
Whether to tell the user what latents and manifests were created etc. (Default = FALSE) |
std.lv |
Whether to auto standardize latent variables when using string syntax (default = FALSE) |
lavaanMode |
Defaults when building out string syntax default = "sem" (alternative is "lavaan", with very few defaults) |
printTab |
(for string input, whether to output a table of paths (FALSE) |
Details
Comparison for OpenMx users
umxRAM differs from OpenMx::mxModel() in the following ways:
You don't need to set type = "RAM".
You don't need to list manifestVars (they are detected from path usage).
You don't need to list latentVars (detected as anything in paths but not in
mxData).You don't need to create mxData when you already have a data.frame.
You add data with
data = (as elsewhere in R, e.g.lm()).You don't need to add labels: paths are automatically labelled "a_to_b" etc.
You don't need to set start values, they will be done for you.
You don't need to
mxRunthe model: it will run automatically, and print a summary.You don't need to run
summary: withautoRun=TRUE, it will print a summary.You get a plot of the model with estimates on the paths, including multiple groups.
Less typing:
umxPath()offers powerful verbs to describe paths.Supports a subset of lavaan string input.
Start values. Currently, manifest variable means are set to the observed means,
residual variances are set to 80% of the observed variance of each variable,
and single-headed paths are set to a positive starting value (currently .9).
note: The start-value strategy is subject to improvement, and will be documented in the help for umxRAM().
Comparison with other software
Some SEM software does a lot of behind-the-scenes defaulting and path addition.
If you want this, I'd say use umxRAM with lavaan string input.
Value
References
See Also
umxPath(), umxSummary(), plot(), parameters(), umxSuperModel(), umxLav2RAM()
Other Core Model Building Functions:
umx,
umxMatrix(),
umxModify(),
umxPath(),
umxSuperModel()
Examples
## Not run:
# ============================================
# = 1. Here's a simple example with raw data =
# ============================================
mtcars$litres = mtcars$disp/61.02
m1 = umxRAM("tim", data = mtcars,
umxPath(c("wt", "litres"), to = "mpg"),
umxPath("wt", with = "litres"),
umxPath(v.m. = c("wt", "litres", "mpg"))
)
# 2. Use parameters to see the parameter estimates and labels
parameters(m1)
# And umxSummary to get standardized parameters, CIs etc from the run model.
umxSummary(m1, std=TRUE)
# |name | Std.Estimate| Std.SE|CI |
# |:--------------|------------:|------:|:--------------------|
# |wt_to_mpg | -0.54| 0.17|-0.54 [-0.89, -0.2] |
# |disp_to_mpg | -0.36| 0.18|-0.36 [-0.71, -0.02] |
# |mpg_with_mpg | 0.22| 0.07|0.22 [0.08, 0.35] |
# |wt_with_wt | 1.00| 0.00|1 [1, 1] |
# |b1 | 0.89| 0.04|0.89 [0.81, 0.96] |
# |disp_with_disp | 1.00| 0.00|1 [1, 1] |
# 3. Of course you can plot the model
plot(m1)
plot(m1, std=TRUE, means=FALSE)
plot(m1, std = TRUE, means=FALSE, strip= TRUE, resid = "line")
# ===============================================
# = lavaan string example (more at ?umxLav2RAM) =
# ===============================================
m1 = umxRAM(data = mtcars, "#modelName
mpg ~ wt + disp")
# =======================
# = A multi-group model =
# =======================
mtcars$litres = mtcars$disp/61.02
m1 = umxRAM("tim", data = mtcars, group = "am",
umxPath(c("wt", "litres"), to = "mpg"),
umxPath("wt", with = "litres"),
umxPath(v.m. = c("wt", "litres", "mpg"))
)
# In this model, all parameters are free across the two groups.
# ====================================
# = A cov model, with steps laid out =
# ====================================
# *note*: The variance of displacement is in cubic inches and is very large.
# to help the optimizer, one might, say, multiply disp *.016 to work in litres
tmp = mtcars; tmp$disp= tmp$disp *.016
# We can just give the raw data and ask for it to be made into type cov:
m1 = umxRAM("tim", data = tmp, type="cov",
umxPath(c("wt", "disp"), to = "mpg"),
umxPath("wt", with = "disp"),
umxPath(var = c("mpg", "wt", "disp"))
)
# (see ?umxPath for more nifty options making paths...)
# =========================================
# = umxRAM can also accept mxData as data =
# =========================================
# For convenience, list up the manifests you will be using
selVars = c("mpg", "wt", "disp")
tmp = mtcars; tmp$disp= tmp$disp *.016
myCov = mxData(cov(tmp[, selVars]), type = "cov", numObs = nrow(mtcars) )
m1 = umxRAM("tim", data = myCov,
umxPath(c("wt", "disp"), to = "mpg"),
umxPath("wt", with = "disp"),
umxPath(var = selVars)
)
# =======================
# = umxRAM supports WLS =
# =======================
# 1. Run an all-continuous WLS model
mw = umxRAM("raw", data = mtcars[, c("mpg", "wt", "disp")],
type = "WLS", allContinuousMethod = "cumulants",
umxPath(var = c("wt", "disp", "mpg")),
umxPath(c("wt", "disp"), to = "mpg"),
umxPath("wt", with = "disp"),
umxPath(var = c("wt", "disp", "mpg"))
)
# 2. Switch to marginals to support means
mw = umxRAM("raw", data = mtcars[, c("mpg", "wt", "disp")],
type = "WLS", allContinuousMethod= "marginals",
umxPath(var = c("wt", "disp", "mpg")),
umxPath(c("wt", "disp"), to = "mpg"),
umxPath("wt", with = "disp"),
umxPath(var = c("wt", "disp", "mpg"))
)
# ===============================
# = Using umxRAM in Sketch mode =
# ===============================
# No data needed: just list variable names!
# Resulting model will be plotted automatically
m1 = umxRAM("what does unique pairs do, I wonder", data = c("A", "B", "C"),
umxPath(unique.pairs = c("A", "B", "C"))
)
m1 = umxRAM("ring around the rosey", data = c("B", "C"),
umxPath(fromEach = c("A", "B", "C"))
)
m1 = umxRAM("fromEach with to", data = c("B", "C"),
umxPath(fromEach = c("B", "C"), to= "D")
)
m1 = umxRAM("CFA_sketch", data = paste0("x", 1:4),
umxPath("g", to = paste0("x", 1:4)),
umxPath(var = paste0("x", 1:4)),
umxPath(v1m0 = "g")
)
# =================================================
# = This is an example of using your own labels: =
# umxRAM will not over-ride them =
# =================================================
m1 = umxRAM("tim", data = mtcars, type="cov",
umxPath(c("wt", "disp"), to = "mpg"),
umxPath(cov = c("wt", "disp"), labels = "b1"),
umxPath(var = c("wt", "disp", "mpg"))
)
omxCheckEquals(m1$S$labels["disp", "wt"], "b1") # label preserved
m1$S$labels
# mpg wt disp
# mpg "mpg_with_mpg" "mpg_with_wt" "disp_with_mpg"
# wt "mpg_with_wt" "wt_with_wt" "b1"
# disp "disp_with_mpg" "b1" "disp_with_disp"
parameters(m1)
# ===========
# = Weights =
# ===========
# !!! Not tested !!!
mtcars$litres = mtcars$disp/61.02
m1 = umxRAM("tim", data = mtcars, weight= "cyl",
umxPath(c("wt", "litres"), to = "mpg"),
umxPath("wt", with = "litres"),
umxPath(v.m. = c("wt", "litres", "mpg"))
)
## End(Not run)
Convert a RAM model to a lavaan string
Description
Takes an OpenMx RAM model and creates the corresponding lavaan syntax string.
This function is at the alpha quality stage, and **should be expected to have bugs**. Also likely to change functionality and even parameters as new features are supported (e.g. groups) and lavaan-style strings exported. Several features are not yet supported. Let me know if you would like them.
Usage
umxRAM2Lav(model)
Arguments
model |
an OpenMx RAM model |
Value
A lavaan syntax string, e.g. "A~~B"
See Also
- [umxLav2RAM()], [umxRAM()]
Other Miscellaneous Utility Functions:
install.OpenMx(),
libs(),
qm(),
umx,
umxLav2RAM(),
umxModelNames(),
umxVersion(),
umx_array_shift(),
umx_find_object(),
umx_lower.tri(),
umx_msg(),
umx_open_CRAN_page(),
umx_pad(),
umx_print(),
umx_wide2long(),
umx_wide4lmer()
Examples
## Not run:
umxRAM2Lav(umxLav2RAM("x ~ y", autoRun = FALSE, printTab = FALSE, lavaanMode = "lavaan"))
## End(Not run)
Reduce models, and report the results.
Description
Given a umx model (currently umxACE and umxGxE are supported - ask for more!)
umxReduce will conduct a formalised reduction process. It will also report
Akaike weights are also reported showing relative support across models.
Specialized functions are called for different type of input:
-
GxE model reduction For
umxGxE()modelsumxReduceGxE()is called. -
ACE model reduction For
umxACE()models,umxReduceACE()is called.
umxReduce reports the results in a table. Set the format of the table with
umx_set_table_format(), or set report= "html" to open a
table for pasting into a word processor.
umxReduce can be extended to new cases as demand emerges.
Usage
umxReduce(
model,
report = c("markdown", "inline", "html"),
intervals = TRUE,
testD = TRUE,
baseFileName = "tmp",
tryHard = "yes",
silent = FALSE,
...
)
Arguments
model |
The |
report |
How to report the results. "html" = open in browser |
intervals |
Recompute CIs (if any included) on the best model (default = TRUE) |
testD |
Whether to test ADE and DE models (TRUE) |
baseFileName |
(optional) custom filename for html output (defaults to "tmp") |
tryHard |
Default = "yes" |
silent |
Default = FALSE |
... |
Other parameters to control model summary |
References
Wagenmakers, E.J., & Farrell, S. (2004). AIC model selection using Akaike weights. Psychonomic Bulletin and Review, 11, 192-196. doi:10.3758/BF03206482
See Also
umxReduceGxE(), umxReduceACE()
Other Model Summary and Comparison:
umx,
umxCompare(),
umxEquate(),
umxMI(),
umxSetParameters(),
umxSummary()
Other Twin Modeling Functions:
power.ACE.test(),
umx,
umxACE(),
umxACEcov(),
umxACEv(),
umxCP(),
umxDiffMZ(),
umxDiscTwin(),
umxDoC(),
umxDoCp(),
umxGxE(),
umxGxE_window(),
umxGxEbiv(),
umxIP(),
umxMRDoC(),
umxReduceACE(),
umxReduceGxE(),
umxRotate.MxModelCP(),
umxSexLim(),
umxSimplex(),
umxSummarizeTwinData(),
umxSummaryACE(),
umxSummaryACEv(),
umxSummaryDoC(),
umxSummaryGxEbiv(),
umxSummarySexLim(),
umxSummarySimplex(),
umxTwinMaker()
Reduce an ACE model.
Description
This function can perform model reduction on umxACE() models,
testing dropping A and C, as well as an ADE or ACE model, displaying the results
in a table, and returning the best model.
Usage
umxReduceACE(
model,
report = c("markdown", "inline", "html", "report"),
intervals = TRUE,
testD = TRUE,
baseFileName = "tmp",
tryHard = c("yes", "no", "ordinal", "search"),
silent = FALSE,
digits = 2,
...
)
Arguments
model |
an ACE or ADE |
report |
How to report the results. "html" = open in browser |
intervals |
Recompute CIs (if any included) on the best model (default = TRUE) |
testD |
Whether to test ADE and DE models (TRUE) |
baseFileName |
(optional) custom filename for html output (defaults to "tmp") |
tryHard |
(default = "yes") |
silent |
Don't print the ACE models (default = FALSE) |
digits |
rounding in printout (default = 2) |
... |
Other parameters to control model summary |
Details
It is designed for testing univariate models. You can offer up either the ACE or ADE base model.
Suggestions for more sophisticated automation welcomed!
Value
Best fitting model
References
Wagenmakers, E.J., & Farrell, S. (2004). AIC model selection using Akaike weights. Psychonomic Bulletin and Review, 11, 192-196. doi:10.3758/BF03206482
See Also
Other Twin Modeling Functions:
power.ACE.test(),
umx,
umxACE(),
umxACEcov(),
umxACEv(),
umxCP(),
umxDiffMZ(),
umxDiscTwin(),
umxDoC(),
umxDoCp(),
umxGxE(),
umxGxE_window(),
umxGxEbiv(),
umxIP(),
umxMRDoC(),
umxReduce(),
umxReduceGxE(),
umxRotate.MxModelCP(),
umxSexLim(),
umxSimplex(),
umxSummarizeTwinData(),
umxSummaryACE(),
umxSummaryACEv(),
umxSummaryDoC(),
umxSummaryGxEbiv(),
umxSummarySexLim(),
umxSummarySimplex(),
umxTwinMaker()
Examples
## Not run:
data(twinData)
mzData = subset(twinData, zygosity == "MZFF")
dzData = subset(twinData, zygosity == "DZFF")
m1 = umxACE(selDVs = "bmi", dzData = dzData, mzData = mzData, sep = "")
# ===========================================================================
# = Table of parameters + fit comparisons, ready too copy to word processor =
# ===========================================================================
umxReduce(m1, silent=TRUE, digits=2, repo="h")
# ==========================================
# = Function captures the preferred model =
# ==========================================
m2 = umxReduce(m1)
umxSummary(m2)
# works for ADE input also
m1 = umxACE(selDVs = "bmi", dzData = dzData, mzData = mzData, sep = "", dzCr = .25)
## End(Not run)
Reduce a GxE model.
Description
This function can perform model reduction for umxGxE() models,
testing dropping a,c & e, as well as c & c, a & a' etc.
It reports the results in a table. Set the format of the table with
umx_set_table_format(). Or set report = "html" to open a
table for pasting into a word processor.
In addition to printing a table, the function returns the preferred model.
Usage
umxReduceGxE(
model,
report = c("markdown", "inline", "html", "report"),
intervals = TRUE,
testD = TRUE,
baseFileName = "tmp_gxe",
tryHard = c("yes", "no", "ordinal", "search"),
silent = FALSE,
...
)
Arguments
model |
A |
report |
How to report the results. default = "markdown". "html" = open in browser. |
intervals |
Recompute CIs (if any included) on the best model (default = TRUE) |
testD |
Whether to test ADE and DE models (TRUE) |
baseFileName |
(optional) custom filename for html output (default = "tmp"). |
tryHard |
Default ('no') uses normal mxRun. "yes" uses mxTryHard. Other options: "ordinal", "search" |
silent |
Default (FALSE) |
... |
Other parameters to control model summary. |
Value
best model
References
Wagenmakers, E.J., & Farrell, S. (2004). AIC model selection using Akaike weights. Psychonomic Bulletin and Review, 11, 192-196. doi:10.3758/BF03206482.
See Also
Other Twin Modeling Functions:
power.ACE.test(),
umx,
umxACE(),
umxACEcov(),
umxACEv(),
umxCP(),
umxDiffMZ(),
umxDiscTwin(),
umxDoC(),
umxDoCp(),
umxGxE(),
umxGxE_window(),
umxGxEbiv(),
umxIP(),
umxMRDoC(),
umxReduce(),
umxReduceACE(),
umxRotate.MxModelCP(),
umxSexLim(),
umxSimplex(),
umxSummarizeTwinData(),
umxSummaryACE(),
umxSummaryACEv(),
umxSummaryDoC(),
umxSummaryGxEbiv(),
umxSummarySexLim(),
umxSummarySimplex(),
umxTwinMaker()
Examples
## Not run:
model = umxReduce(model)
## End(Not run)
Rename a umxMatrix (even in a model)
Description
Rename a umxMatrix(), including updating its labels to match the new name.
Usage
umxRenameMatrix(x, matrixName, name)
Arguments
x |
A model or matrix |
matrixName |
Name of the matrix |
name |
The new name |
Value
updated matrix or model with updated matrix in it.
See Also
Other xmu internal not for end user:
umxModel(),
umx_APA_pval(),
umx_fun_mean_sd(),
umx_get_bracket_addresses(),
umx_make(),
umx_standardize(),
umx_string_to_algebra(),
xmuHasSquareBrackets(),
xmuLabel_MATRIX_Model(),
xmuLabel_Matrix(),
xmuLabel_RAM_Model(),
xmuMI(),
xmuMakeDeviationThresholdsMatrices(),
xmuMakeOneHeadedPathsFromPathList(),
xmuMakeTwoHeadedPathsFromPathList(),
xmuMaxLevels(),
xmuMinLevels(),
xmuPropagateLabels(),
xmuRAM2Ordinal(),
xmuTwinSuper_Continuous(),
xmuTwinSuper_NoBinary(),
xmuTwinUpgradeMeansToCovariateModel(),
xmu_CI_merge(),
xmu_CI_stash(),
xmu_DF_to_mxData_TypeCov(),
xmu_PadAndPruneForDefVars(),
xmu_bracket_address2rclabel(),
xmu_cell_is_on(),
xmu_check_levels_identical(),
xmu_check_needs_means(),
xmu_check_variance(),
xmu_clean_label(),
xmu_data_missing(),
xmu_data_swap_a_block(),
xmu_describe_data_WLS(),
xmu_dot_make_paths(),
xmu_dot_make_residuals(),
xmu_dot_maker(),
xmu_dot_move_ranks(),
xmu_dot_rank_str(),
xmu_extract_column(),
xmu_get_CI(),
xmu_lavaan_process_group(),
xmu_make_TwinSuperModel(),
xmu_make_bin_cont_pair_data(),
xmu_make_mxData(),
xmu_match.arg(),
xmu_name_from_lavaan_str(),
xmu_path2twin(),
xmu_path_regex(),
xmu_print_algebras(),
xmu_rclabel_2_bracket_address(),
xmu_relevel_factors(),
xmu_safe_run_summary(),
xmu_set_sep_from_suffix(),
xmu_show_fit_or_comparison(),
xmu_simplex_corner(),
xmu_standardize_ACE(),
xmu_standardize_ACEcov(),
xmu_standardize_ACEv(),
xmu_standardize_CP(),
xmu_standardize_IP(),
xmu_standardize_RAM(),
xmu_standardize_SexLim(),
xmu_standardize_Simplex(),
xmu_start_value_list(),
xmu_starts(),
xmu_summary_RAM_group_parameters(),
xmu_twin_add_WeightMatrices(),
xmu_twin_check(),
xmu_twin_get_var_names(),
xmu_twin_make_def_means_mats_and_alg(),
xmu_twin_upgrade_selDvs2SelVars(),
xmu_update_covar()
Examples
## Not run:
data(twinData) # ?twinData from Australian twins.
twinData[, c("ht1", "ht2")] = twinData[, c("ht1", "ht2")] * 10
mzData = twinData[twinData$zygosity %in% "MZFF", ]
dzData = twinData[twinData$zygosity %in% "DZFF", ]
m1 = umxACE(selDVs= "ht", sep= "", dzData= dzData, mzData= mzData, autoRun= FALSE)
tmp = umxRenameMatrix(m1$top, matrixName = "a", name="hello")
umx_check(tmp$hello$labels == "hello_r1c1") # new is there
umx_check(is.null(tmp$a)) # old is gone
## End(Not run)
Generic SEM factor model loading rotation function
Description
See umxRotate.MxModelCP() to rotate the factor loadings of a umxCP() model
Usage
umxRotate(
model,
rotation = c("varimax", "promax"),
tryHard = "yes",
freeLoadingsAfter = TRUE,
verbose = TRUE
)
Arguments
model |
a model to rotate |
rotation |
name of the rotation. |
tryHard |
Default ("yes") is to tryHard |
freeLoadingsAfter |
Whether to keep the rotated loadings fixed (Default, free them again) |
verbose |
print detail about the rotation |
Value
Rotated solution
See Also
Other Reporting functions:
RMSEA(),
RMSEA.MxModel(),
RMSEA.summary.mxmodel(),
extractAIC.MxModel(),
loadings(),
loadings.MxModel(),
residuals.MxModel(),
tmx_show(),
tmx_show.MxMatrix(),
umxCI(),
umxCI_boot(),
umxConfint(),
umxExpCov(),
umxExpMeans(),
umxFitIndices()
Rotate a CP solution
Description
Rotate a CP solution.
Should work with rotations provided in libs("GPArotation") and libs("psych"), e.g.,
Orthogonal: "varimax", "quartimax", "bentlerT", "equamax", "varimin", "geominT" and "bifactor"
Oblique: "Promax", "promax", "oblimin", "simplimax", "bentlerQ", "geominQ", "biquartimin" and "cluster"
Usage
## S3 method for class 'MxModelCP'
umxRotate(
model,
rotation = c("varimax", "promax"),
tryHard = "yes",
freeLoadingsAfter = TRUE,
verbose = TRUE
)
Arguments
model |
a |
rotation |
name of the rotation. |
tryHard |
Default ("yes") is to tryHard. |
freeLoadingsAfter |
return the model with factor loadings free (default) or fixed in the new locations. |
verbose |
print detail about the rotation |
Details
This works by taking the common-pathways loadings matrix from a solved umxCP() model, rotating these, placing
them back into the loadings matrix, re-estimating the model with the parameters fixed at this rotation, then return the new model.
Value
Rotated solution.
See Also
Other Twin Modeling Functions:
power.ACE.test(),
umx,
umxACE(),
umxACEcov(),
umxACEv(),
umxCP(),
umxDiffMZ(),
umxDiscTwin(),
umxDoC(),
umxDoCp(),
umxGxE(),
umxGxE_window(),
umxGxEbiv(),
umxIP(),
umxMRDoC(),
umxReduce(),
umxReduceACE(),
umxReduceGxE(),
umxSexLim(),
umxSimplex(),
umxSummarizeTwinData(),
umxSummaryACE(),
umxSummaryACEv(),
umxSummaryDoC(),
umxSummaryGxEbiv(),
umxSummarySexLim(),
umxSummarySimplex(),
umxTwinMaker()
Examples
## Not run:
# Rotate a CP solution(param)
# Common pathway model rotation
library(umx)
# Fit 3 factor CPM
data(GFF)
selDVs = c("gff", "fc", "qol", "hap", "sat", "AD")
m1 = umxCP(selDVs = selDVs, nFac = 2, data = data, tryHard = "yes")
m2 = umxRotate(m1, rotation = "varimax", tryHard = "yes")
## End(Not run)
umxRun: Run an mxModel
Description
umxRun is a version of OpenMx::mxRun() which can run also set start values, labels, and run multiple times
It can also calculate the saturated and independence likelihoods necessary for most fit indices.
Note this is not needed for umxRAM models or twin models - it is just a convenience to get base OpenMx models to run.
Usage
umxRun(
model,
tryHard = c("yes", "no", "ordinal", "search"),
calc_sat = TRUE,
setValues = FALSE,
setLabels = FALSE,
summary = !umx_set_silent(silent = TRUE),
intervals = FALSE,
optimizer = NULL,
comparison = NULL
)
Arguments
model |
The |
tryHard |
How to tryHard. Default = "yes". Alternatives "no", "ordinal", "search" |
calc_sat |
Whether to calculate the saturated and independence models (for raw |
setValues |
Whether to set the starting values of free parameters (default = FALSE) |
setLabels |
Whether to set the labels (default = FALSE) |
summary |
Whether to print summary or not (default = !umx_set_silent() ) |
intervals |
Whether to run mxCI confidence intervals (default = FALSE) intervals = FALSE |
optimizer |
optional to set the optimizer. |
comparison |
Comparison model (will be used to drive umxCompare() after umxRun |
Value
References
See Also
Other Advanced Model Building Functions:
umx,
umxAlgebra(),
umxFixAll(),
umxJiggle(),
umxThresholdMatrix(),
umxUnexplainedCausalNexus(),
xmuLabel(),
xmuValues()
Examples
## Not run:
require(umx)
data(demoOneFactor)
latents = c("G")
manifests = names(demoOneFactor)
m1 = mxModel("fact", type="RAM", manifestVars=manifests, latentVars=latents,
mxPath(latents , to = manifests),
mxPath(manifests, arrows = 2),
mxPath(latents , arrows = 2, free = FALSE, values = 1),
mxData(cov(demoOneFactor), type = "cov", numObs=500)
)
m1 = umxRun(m1) # just run: will create saturated model if needed
m1 = umxRun(m1, setValues = TRUE, setLabels = TRUE) # set start values and label all parameters
umxSummary(m1, std = TRUE)
m1 = mxModel(m1, mxCI("G_to_x1")) # add one CI
m1 = mxRun(m1, intervals = TRUE)
residuals(m1, run = TRUE) # get CIs on all free parameters
confint(m1) # OpenMx's SE-based CIs
umxConfint(m1, run = TRUE) # get likelihood-based CIs on all free parameters
m1 = umxRun(m1, tryHard = "yes")
## End(Not run)
Change or fix parameters (e.g. their values, labels, bounds, ..) in a model.
Description
umxSetParameters is used to alter values, and other parameter properties in an OpenMx::mxModel().
A common use is setting new values and changing parameters from free to false.
Note: If you just want to modify and re-run a model, you probably want umxModify().
Usage
umxSetParameters(
model,
labels,
free = NULL,
values = NULL,
newlabels = NULL,
lbound = NULL,
ubound = NULL,
indep = FALSE,
strict = TRUE,
name = NULL,
regex = FALSE,
test = FALSE
)
Arguments
model |
an |
labels |
= labels to find |
free |
= new value for free |
values |
= new values |
newlabels |
= newlabels |
lbound |
= value for lbound |
ubound |
= value for ubound |
indep |
= whether to look in indep models |
strict |
whether to complain if labels not found |
name |
= new name for the returned model |
regex |
patterns to match for labels (or if TRUE, use labels as regular expressions) |
test |
Just show what you would do? (defaults to FALSE) |
Details
Using umxSetParameters, you use labels= to select the parameters you want to update.
You can set their free/fixed state with free=, and set new values with values = . Likewise
for bounds.
umxSetParameters supports pattern matching (regular expressions) to select labels. Set regex=
to a regular expression matching the labels you want to select. e.g. "G_to_.*" would match
"G_to_anything".
Details
Internally, umxSetParameters is equivalent to a call to omxSetParameters where you
have the ability to generate a pattern-based label list,
and, because this can create duplicate labels, we also call OpenMx::omxAssignFirstParameters()
to equate the start values for parameters which now have identical labels.
Value
References
See Also
Other Model Summary and Comparison:
umx,
umxCompare(),
umxEquate(),
umxMI(),
umxReduce(),
umxSummary()
Examples
## Not run:
require(umx)
data(demoOneFactor)
latents = c("G")
manifests = names(demoOneFactor)
m1 = umxRAM("One Factor", data = mxData(demoOneFactor[1:80,], type = "raw"),
umxPath(from = latents, to = manifests),
umxPath(v.m. = manifests),
umxPath(v1m0 = latents)
)
parameters(m1)
# Match all labels
umxSetParameters(m1, regex = "^", newlabels= "m1_", test = TRUE)
# Change path to x1 to x2, equating these two paths
m2 = umxSetParameters(m1, "G_to_x1", newlabels= "G_to_x2", test = FALSE)
m2 = umxRun(m2) # umxSetParameters does not re-run he model, so make sure you do!
parameters(m2)
## End(Not run)
Multivariate sex limitation twin model
Description
Multivariate twin analysis allowing for sex limitation (factors operate differently in males vs. females) based on a correlated factors model. With 5-groups of twins, this model allows for both Quantitative and Qualitative Sex-Limitation.
Quantitative differences refer to different amounts of phenotypic variance produced by the same A, C, or E components when operating in one sex compared to the other sex.
Qualitative differences refer to phenotypic variance attributable to an A, C, or E component which operates in one sex one but not in the other.
The correlation approach ensures that variable order does not affect the ability of the model to account for DZOS data.
1. Nonscalar Sex Limitation
Allow quantitative (distinct male and female paths) and qualitative sex differences
on A or C. Allows distinct between variable correlations (Ra, Rc and Re)
for males and for females. Male-Female correlations also free (Rao or Rco free in DZO group).
2. Scalar Sex Limitation
Quantitative sex differences only (distinct Male and female paths). Just one set of Ra, Rc and Re between variables (same for males and females)
3. Homogeneity
This is the model assumed by the basic ACE model: equal variance components in both sexes. Different means may be allowed for males and females.
Usage
umxSexLim(
name = "sexlim",
selDVs,
mzmData,
dzmData,
mzfData,
dzfData,
dzoData,
sep = NA,
A_or_C = c("A", "C"),
sexlim = c("Nonscalar", "Scalar", "Homogeneity"),
dzAr = 0.5,
dzCr = 1,
autoRun = getOption("umx_auto_run"),
tryHard = c("no", "yes", "ordinal", "search"),
optimizer = NULL
)
Arguments
name |
The name of the model (Default = "sexlim") |
selDVs |
BASE NAMES of the variables in the analysis. You MUST provide sep. |
mzmData |
Dataframe containing the MZ male data. |
dzmData |
Dataframe containing the DZ male data. |
mzfData |
Dataframe containing the MZ female data. |
dzfData |
Dataframe containing the DZ female data. |
dzoData |
Dataframe containing the DZ opposite-sex data (be sure and get in right order). |
sep |
Suffix used for twin variable naming. Allows using just the base names in selVars. |
A_or_C |
Whether to model sex-limitation on A or on C. (Defaults to "A"). |
sexlim |
Which model type: "Nonscalar" (default), "Scalar", or "Homogeneity". |
dzAr |
The DZ genetic correlation (defaults to .5, vary to examine assortative mating). |
dzCr |
The DZ "C" correlation (defaults to 1: set to .25 to make an ADE model). |
autoRun |
Whether to mxRun the model (default TRUE: the estimated model will be returned). |
tryHard |
Default ('no') uses normal mxRun. "yes" uses mxTryHard. Other options: "ordinal", "search" |
optimizer |
optionally set the optimizer. Default (NULL) does nothing. |
Details
A or C
Due to limitations on the degrees of freedom allowed by the twin model, we can model qualitative sex differences for only one of A or C at a time.
notes: There is a half-way house model of heterogeneity in which a, c, and e components are scaled by a scalar constant in one sex.
General restrictions: Assumes means and variances can be equated across birth order within zygosity groups.
Value
-
OpenMx::mxModel()of subclass mxModel.CFSexLim
References
Neale et al. (2006). Multivariate genetic analysis of sex-lim and GxE interaction. Twin Research & Human Genetics, 9, pp. 481–489.
See Also
umxSummarySexLim(), umxPlotSexLim()
Other Twin Modeling Functions:
power.ACE.test(),
umx,
umxACE(),
umxACEcov(),
umxACEv(),
umxCP(),
umxDiffMZ(),
umxDiscTwin(),
umxDoC(),
umxDoCp(),
umxGxE(),
umxGxE_window(),
umxGxEbiv(),
umxIP(),
umxMRDoC(),
umxReduce(),
umxReduceACE(),
umxReduceGxE(),
umxRotate.MxModelCP(),
umxSimplex(),
umxSummarizeTwinData(),
umxSummaryACE(),
umxSummaryACEv(),
umxSummaryDoC(),
umxSummaryGxEbiv(),
umxSummarySexLim(),
umxSummarySimplex(),
umxTwinMaker()
Examples
# =========================
# = Load and Process Data =
# =========================
## Not run:
require(umx)
data("us_skinfold_data")
# Rescale vars
us_skinfold_data[, c('bic_T1', 'bic_T2')] = us_skinfold_data[, c('bic_T1', 'bic_T2')]/3.4
us_skinfold_data[, c('tri_T1', 'tri_T2')] = us_skinfold_data[, c('tri_T1', 'tri_T2')]/3
us_skinfold_data[, c('caf_T1', 'caf_T2')] = us_skinfold_data[, c('caf_T1', 'caf_T2')]/3
us_skinfold_data[, c('ssc_T1', 'ssc_T2')] = us_skinfold_data[, c('ssc_T1', 'ssc_T2')]/5
us_skinfold_data[, c('sil_T1', 'sil_T2')] = us_skinfold_data[, c('sil_T1', 'sil_T2')]/5
# Data for each of the 5 twin-type groups
mzmData = subset(us_skinfold_data, zyg == 1)
mzfData = subset(us_skinfold_data, zyg == 2)
dzmData = subset(us_skinfold_data, zyg == 3)
dzfData = subset(us_skinfold_data, zyg == 4)
dzoData = subset(us_skinfold_data, zyg == 5)
umxSummarizeTwinData(us_skinfold_data, selVars="bic",zyg="zyg", sep="_T",
MZFF=2, DZFF=4, MZMM=1, DZMM=3, DZOS=5
)
# ==========================
# = Run univariate example =
# ==========================
m1 = umxSexLim(selDVs = "bic", sep = "_T", A_or_C = "A", tryHard = "yes",
mzmData = mzmData, dzmData = dzmData,
mzfData = mzfData, dzfData = dzfData,
dzoData = dzoData
)
# Drop qualitative sex limitation
m1a = umxModify(m1, regex = "^Rao_", value=1, name = "no_qual", comparison = TRUE)
# Equate a, ac, and try ace across m & f in scalar model
m1b = umxModify(m1a, regex = "^a[fm]_", newlabels="a_", name = "eq_a_no_qual", comparison = TRUE)
m1c = umxModify(m1b, regex = "^c[fm]_", newlabels="c_", name = "eq_ac_no_qual", comparison = TRUE)
m1d = umxModify(m1c, regex = "^e[fm]_", newlabels="e_", name = "eq_ace_no_qual", comparison = TRUE)
umxCompare(m1, c(m1a, m1b, m1c, m1d))
# ============================
# = Scalar Sex Limitation =
# ============================
m2 = umxSexLim(selDVs = "bic", sep = "_T", sexlim = "Scalar", tryHard = "yes",
mzmData = mzmData, dzmData = dzmData,
mzfData = mzfData, dzfData = dzfData,
dzoData = dzoData
)
# Show our manual drop of qualitative is the same as umxSexLim with sexlim= "scalar"s
umxCompare(m1a, m2)
# ===============
# = Homogeneity =
# ===============
m3 = umxSexLim(selDVs = "bic", sep = "_T", sexlim = "Homogeneity", tryHard = "yes",
mzmData = mzmData, dzmData = dzmData,
mzfData = mzfData, dzfData = dzfData,
dzoData = dzoData
)
umxCompare(m1, c(m2, m3))
# ===========================================
# = Bivariate example with manual reduction =
# ===========================================
m1 = umxSexLim(selDVs = c("bic", "tri"), sep = "_T", A_or_C = "A", tryHard="yes",
mzmData = mzmData, dzmData = dzmData,
mzfData = mzfData, dzfData = dzfData,
dzoData = dzoData
)
# Scalar sex limitation (same correlation among components for m and f)
m2 = umxSexLim(selDVs = c("bic", "tri"), sep = "_T",
A_or_C = "A", tryHard="yes", sexlim="Scalar",
mzmData = mzmData, dzmData = dzmData,
mzfData = mzfData, dzfData = dzfData,
dzoData = dzoData
)
# Drop qualitative sex limitation
# Distinct af and am (& c & e), but shared Ra (& Rc & Re) between variables
# i.e., same correlations for males and females.
m1a = umxModify(m1 , regex = "^Ra[mfo]_", newlabels="^Ra_", name = "no_qual_a", comparison = TRUE)
m1b = umxModify(m1a, regex = "^Rc[mfo]_", newlabels="^Rc_", name = "no_qual_ac", comparison = TRUE)
m1c = umxModify(m1b, regex = "^Re[mfo]_", newlabels="^Re_", name = "no_qual_ace", comparison = TRUE)
umxCompare(m1, c(m1a, m1b, m1c, m2))
# In one smart regular expression
m2 = umxModify(m1, regex = "^R([ace])[fmo]_", newlabels = "R\\1_",
name = "scalar", comparison = TRUE)
# Equate a, ac, and try ace across m & f in scalar model
m2a = umxModify(m2 , regex = "^a[fm]_", newlabels="a_", name = "eq_a_no_qual" , comparison = TRUE)
m2b = umxModify(m2a, regex = "^c[fm]_", newlabels="c_", name = "eq_ac_no_qual" , comparison = TRUE)
m2c = umxModify(m2b, regex = "^e[fm]_", newlabels="e_", name = "eq_ace_no_qual", comparison = TRUE)
umxCompare(m1, c(m1a, m1b, m1c, m1d))
# =============================
# = Run multi-variate example =
# =============================
# Variables for Analysis
selDVs = c('ssc','sil','caf','tri','bic')
selDVs = c('ssc','tri','bic')
m1 = umxSexLim(selDVs = selDVs, sep = "_T", A_or_C = "A", tryHard = "yes",
mzmData = mzmData, dzmData = dzmData,
mzfData = mzfData, dzfData = dzfData, dzoData = dzoData
)
m2 = umxSexLim(selDVs = selDVs, sep = "_T", A_or_C = "A", sexlim = "Nonscalar",
tryHard = "yes",
mzmData = mzmData, dzmData = dzmData,
mzfData = mzfData, dzfData = dzfData, dzoData = dzoData
)
# umxSummary(m1)
# summary(m1)
# summary(m1)$Mi
## End(Not run)
Build and run a simplex twin model (not ready for use!)
Description
The simplex model provides a powerful tool for theory-based decomposition of genetic
and environmental differences. umxSimplex makes a 2-group simplex twin model.
This code is beta quality: not for publication use.
Usage
umxSimplex(
name = "simplex",
selDVs,
dzData,
mzData,
sep = "_T",
equateMeans = TRUE,
dzAr = 0.5,
dzCr = 1,
addStd = TRUE,
addCI = TRUE,
autoRun = getOption("umx_auto_run"),
tryHard = c("no", "yes", "ordinal", "search"),
optimizer = NULL
)
Arguments
name |
The name of the model (defaults to "simplex") |
selDVs |
The BASENAMES of the variables i.e., c( |
dzData |
The DZ dataframe |
mzData |
The MZ dataframe |
sep |
The string preceding the final numeric twin identifier (often "_T") Combined with selDVs to form the full var names, i.e., just "dep" –> c("dep_T1", "dep_T2") |
equateMeans |
Whether to equate the means across twins (defaults to TRUE). |
dzAr |
The DZ genetic correlation (default = .5. Vary to examine assortative mating). |
dzCr |
The DZ "C" correlation (defaults = 1. To make an ADE model, set = .25). |
addStd |
Whether to add the algebras to compute a std model (default = TRUE). |
addCI |
Whether to add the interval requests for CIs (default = TRUE). |
autoRun |
Whether to run the model (default), or just to create it and return without running. |
tryHard |
Default ('no') uses normal mxRun. "yes" uses mxTryHard. Other options: "ordinal", "search" |
optimizer |
Optionally set the optimizer (default NULL does nothing). |
Details
The simplex model decomposes phenotypic variance into Additive genetic, unique environmental (E) and, optionally, either common or shared-environment (C) or non-additive genetic effects (D).
In the simplex model, these influences are modeled as a combination of:
Innovations at a given time (
aiciandeimatrices).Influences transmitted from previous time (
at,ct, andetmatrices).Influences specific to a single time (
as,cs,es).
These combine to explain the causes of variance in the phenotype (see Figure).
Simplex path diagram:
Data Input Currently, the umxSimplex function accepts only raw data.
Ordinal Data In an important capability, the model transparently handles ordinal (binary or multi-level ordered factor data) inputs, and can handle mixtures of continuous, binary, and ordinal data in any combination.
Additional features
The umxSimplex function supports varying the DZ genetic association (defaulting to .5)
to allow exploring assortative mating effects, as well as varying the DZ “C” factor
from 1 (the default for modeling family-level effects shared 100% by twins in a pair),
to .25 to model dominance effects.
Matrices and Labels in the simplex model A good way to see which matrices are used in umxSummary is to run an example model and plot it.
The loadings specific to each time point are contained on the diagonals of matrices
as, cs, and es. So labels relevant to modifying these are of the form "as_r1c1", "as_r2c2" etc.
All the shared matrices are in the model "top". So to see the 'as' values, you can simply execute:
m1$top$as$values
The transmitted loadings are in matrices at, ct, et.
The innovations are in the matrix ai, ci, and ei.
Less commonly-modified matrices are the mean matrix expMean.
This has 1 row, and the columns are laid out for each variable for
twin 1, followed by each variable for twin 2.
Thus, in a model where the means for twin 1 and twin 2 had been equated (set = to T1), you could make them independent again with this script:
m1$top$expMean$labels[1,4:6] = c("expMean_r1c4", "expMean_r1c5", "expMean_r1c6")
Value
References
See Also
-
umxACE()for more examples of twin modeling,plot(),umxSummary()work for IP, CP, GxE, SAT, and ACE models.
Other Twin Modeling Functions:
power.ACE.test(),
umx,
umxACE(),
umxACEcov(),
umxACEv(),
umxCP(),
umxDiffMZ(),
umxDiscTwin(),
umxDoC(),
umxDoCp(),
umxGxE(),
umxGxE_window(),
umxGxEbiv(),
umxIP(),
umxMRDoC(),
umxReduce(),
umxReduceACE(),
umxReduceGxE(),
umxRotate.MxModelCP(),
umxSexLim(),
umxSummarizeTwinData(),
umxSummaryACE(),
umxSummaryACEv(),
umxSummaryDoC(),
umxSummaryGxEbiv(),
umxSummarySexLim(),
umxSummarySimplex(),
umxTwinMaker()
Examples
## Not run:
data(iqdat)
mzData = subset(iqdat, zygosity == "MZ")
dzData = subset(iqdat, zygosity == "DZ")
baseVars = c("IQ_age1", "IQ_age2", "IQ_age3", "IQ_age4")
m1= umxSimplex(selDVs= baseVars, dzData= dzData, mzData= mzData, sep= "_T", tryHard= "yes")
umxSummary(m1)
parameters(m1, patt = "^s")
m2 = umxModify(m1, regex = "as_r1c1", name = "no_as", comp = TRUE)
umxCompare(m1, m2)
# =============================
# = Test a 3 time-point model =
# =============================
m1 = umxSimplex(selDVs = paste0("IQ_age", 1:3),
dzData = dzData, mzData = mzData, tryHard = "yes")
## End(Not run)
Summarize twin data
Description
Produce a summary of wide-format twin data, showing the number of individuals, the mean and SD for each trait, and the correlation for each twin-type.
Set MZ and DZ to summarize the two-group case.
Usage
umxSummarizeTwinData(
data = NULL,
selVars = NULL,
sep = "_T",
zyg = "zygosity",
age = "age",
MZ = NULL,
DZ = NULL,
MZFF = "MZFF",
DZFF = "DZFF",
MZMM = "MZMM",
DZMM = "DZMM",
DZOS = "DZOS",
digits = 2,
report = c("markdown", "html")
)
Arguments
data |
The twin data. |
selVars |
Collection of variables to report on, e.g. c("wt", "ht"). |
sep |
The separator string that will turn a variable name into a twin variable name, default= "_T" for wt_T1 and wt_T2. |
zyg |
The zygosity column in the dataset (default "zygosity"). |
age |
The age column in the dataset (default "age") |
MZ |
Set level in zyg corresponding to MZ for two group case (defaults to using 5-group case). |
DZ |
Set level in zyg corresponding to DZ for two group case (defaults to using 5-group case). |
MZFF |
The level of zyg corresponding to MZ FF pairs: default= "MZFF". |
DZFF |
The level of zyg corresponding to DZ FF pairs: default= "DZFF". |
MZMM |
The level of zyg corresponding to MZ MM pairs: default= "MZMM". |
DZMM |
The level of zyg corresponding to DZ MM pairs: default= "DZMM". |
DZOS |
The level of zyg corresponding to DZ OS pairs: default= "DZOS". |
digits |
Rounding precision of the report (default 2). |
report |
What to return (default = 'markdown'). Use 'html' to open a web table. |
Value
formatted table, e.g. in markdown.
References
See Also
Other Twin Modeling Functions:
power.ACE.test(),
umx,
umxACE(),
umxACEcov(),
umxACEv(),
umxCP(),
umxDiffMZ(),
umxDiscTwin(),
umxDoC(),
umxDoCp(),
umxGxE(),
umxGxE_window(),
umxGxEbiv(),
umxIP(),
umxMRDoC(),
umxReduce(),
umxReduceACE(),
umxReduceGxE(),
umxRotate.MxModelCP(),
umxSexLim(),
umxSimplex(),
umxSummaryACE(),
umxSummaryACEv(),
umxSummaryDoC(),
umxSummaryGxEbiv(),
umxSummarySexLim(),
umxSummarySimplex(),
umxTwinMaker()
Examples
data(twinData)
umxSummarizeTwinData(twinData, sep = "", selVars = c("wt", "ht"))
MZs = c("MZMM", "MZFF"); DZs = c("DZFF","DZMM", "DZOS")
umxSummarizeTwinData(twinData, sep = "", selVars = c("wt", "ht"), MZ = MZs, DZ = DZs)
Shows a compact, publication-style, summary of umx models
Description
Report the fit of a OpenMx model or specialized model class (such as ACE, CP etc.) in a compact form suitable for reporting in a journal.
See documentation for RAM models summary here: umxSummary.MxModel().
View documentation on the ACE model subclass here: umxSummaryACE().
View documentation on the ACEv model subclass here: umxSummaryACEv().
View documentation on the IP model subclass here: umxSummaryIP().
View documentation on the CP model subclass here: umxSummaryCP().
View documentation on the GxE model subclass here: umxSummaryGxE().
Usage
umxSummary(model, ...)
Arguments
model |
The |
... |
Other parameters to control model summary |
See Also
Other Model Summary and Comparison:
umx,
umxCompare(),
umxEquate(),
umxMI(),
umxReduce(),
umxSetParameters()
Shows a compact, publication-style, summary of a RAM model
Description
Report the fit of a model in a compact form suitable for a journal. It reports parameters in a markdown or html table (optionally standardized), and fit indices RMSEA (an absolute fit index, comparing the model to a perfect model) and CFI and TLI (incremental fit indices comparing model a model with the worst fit).
Usage
## S3 method for class 'MxModel'
umxSummary(
model,
refModels = NULL,
std = FALSE,
digits = 2,
report = c("markdown", "html"),
means = TRUE,
residuals = TRUE,
SE = TRUE,
filter = c("ALL", "NS", "SIG"),
RMSEA_CI = FALSE,
...,
matrixAddresses = FALSE
)
Arguments
model |
The |
refModels |
Saturated models if needed for fit indices (see example below: If NULL will be computed on demand. If FALSE will not be computed. |
std |
If TRUE, model is standardized (Default FALSE, NULL means "don't show"). |
digits |
How many decimal places to report (Default 2) |
report |
If "html", then show results in browser (default = "markdown") |
means |
Whether to include means in the summary (TRUE) |
residuals |
Whether to include residuals in the summary (TRUE) |
SE |
Whether to compute SEs... defaults to TRUE. In rare cases, you might need to turn off to avoid errors. |
filter |
whether to show significant paths (SIG) or NS paths (NS) or all paths (ALL) |
RMSEA_CI |
Whether to compute the CI on RMSEA (Defaults to FALSE) |
... |
Other parameters to control model summary |
matrixAddresses |
Whether to show "matrix address" columns (Default = FALSE) |
Details
umxSummary alerts you when model fit is worse than accepted criterion (TLI >= .95 and RMSEA <= .06; (Hu & Bentler, 1999; Yu, 2002).
Note: For some (multi-group) models, you will need to fall back on summary()
CIs and Identification This function uses the standard errors reported by OpenMx to produce the CIs you see in umxSummary These are used to derive confidence intervals based on the formula 95%CI = estimate +/- 1.96*SE)
Sometimes SEs appear NA. This may reflect a model which is not identified (see http://davidakenny.net/cm/identify.htm).
This can include empirical under-identification - for instance two factors
that are essentially identical in structure. use OpenMx::mxCheckIdentification() to check identification.
Solutions: If there are paths estimated at or close to zero suggests that fixing one or two of these to zero may fix the standard error calculation.
If factor loadings can flip sign and provide identical fit, this creates another form of under-identification and can break confidence interval estimation. Solution: Fixing a factor loading to 1 and estimating factor variances can help here.
Value
parameterTable returned invisibly, if estimates requested
References
Hu, L., & Bentler, P. M. (1999). Cutoff criteria for fit indexes in covariance structure analysis: Conventional criteria versus new alternatives. Structural Equation Modeling, 6, 1-55.
Yu, C.Y. (2002). Evaluating cutoff criteria of model fit indices for latent variable models with binary and continuous outcomes. University of California, Los Angeles, Los Angeles. Retrieved from https://www.statmodel.com/download/Yudissertation.pdf
See Also
Other Summary functions:
umxSummaryACEcov(),
umxSummaryCP(),
umxSummaryGxE(),
umxSummaryIP(),
umxSummaryMRDoC()
Examples
## Not run:
require(umx)
data(demoOneFactor)
manifests = names(demoOneFactor)
m1 = umxRAM("One Factor", data = demoOneFactor, type = "cov",
umxPath("G", to = manifests),
umxPath(var = manifests),
umxPath(var = "G", fixedAt = 1)
)
umxSummary(m1, std = TRUE)
# output as latex
umx_set_table_format("latex")
umxSummary(m1, std = TRUE)
umx_set_table_format("markdown")
# output as raw
umxSummary(m1, std = FALSE)
# switch to a raw data model
m1 = umxRAM("One Factor", data = demoOneFactor[1:100, ],
umxPath("G", to = manifests),
umxPath(v.m. = manifests),
umxPath(v1m0 = "G")
)
umxSummary(m1, std = TRUE, filter = "NS")
## End(Not run)
Shows a compact, publication-style, summary of a umx Cholesky ACE model
Description
Summarize a fitted Cholesky model returned by umxACE(). Can control digits, report comparison model fits,
optionally show the Rg (genetic and environmental correlations), and show confidence intervals. the report parameter allows
drawing the tables to a web browser where they may readily be copied into non-markdown programs like Word.
Usage
umxSummaryACE(
model,
digits = 2,
comparison = NULL,
std = TRUE,
showRg = FALSE,
CIs = TRUE,
report = c("markdown", "html"),
file = getOption("umx_auto_plot"),
returnStd = FALSE,
extended = FALSE,
zero.print = ".",
...
)
Arguments
model |
an |
digits |
round to how many digits (default = 2). Defaults to NA = do not create plot output. |
comparison |
you can run mxCompare on a comparison model (NULL). |
std |
Whether to standardize the output (default = TRUE). |
showRg |
= whether to show the genetic correlations (FALSE). |
CIs |
Whether to show Confidence intervals if they exist (TRUE). |
report |
If "html", then open an html table of the results. |
file |
The name of the dot file for figure: "name" = use the name of the model. |
returnStd |
Whether to return the standardized form of the model (default = FALSE). |
extended |
how much to report (FALSE). |
zero.print |
How to show zeros (".") |
... |
Other parameters to control model summary. |
Details
See documentation for other umx models here: umxSummary().
Value
optional
OpenMx::mxModel()
References
See Also
Other Twin Modeling Functions:
power.ACE.test(),
umx,
umxACE(),
umxACEcov(),
umxACEv(),
umxCP(),
umxDiffMZ(),
umxDiscTwin(),
umxDoC(),
umxDoCp(),
umxGxE(),
umxGxE_window(),
umxGxEbiv(),
umxIP(),
umxMRDoC(),
umxReduce(),
umxReduceACE(),
umxReduceGxE(),
umxRotate.MxModelCP(),
umxSexLim(),
umxSimplex(),
umxSummarizeTwinData(),
umxSummaryACEv(),
umxSummaryDoC(),
umxSummaryGxEbiv(),
umxSummarySexLim(),
umxSummarySimplex(),
umxTwinMaker()
Examples
## Not run:
require(umx)
data(twinData)
selDVs = c("bmi1", "bmi2")
mzData = subset(twinData, zygosity == "MZFF")
dzData = subset(twinData, zygosity == "DZFF")
m1 = umxACE(selDVs = selDVs, dzData = dzData, mzData = mzData)
umxSummary(m1)
umxSummaryACE(m1, file = NA);
umxSummaryACE(m1, file = "name", std = TRUE)
stdFit = umxSummaryACE(m1, returnStd = TRUE);
## End(Not run)
Present results of a twin ACE-model with covariates in table and graphical forms.
Description
Summarize a Cholesky model with random-effects covariates, as returned by umxACEcov()
Usage
umxSummaryACEcov(
model,
digits = 2,
showRg = FALSE,
std = TRUE,
comparison = NULL,
CIs = TRUE,
zero.print = ".",
report = c("markdown", "html"),
file = getOption("umx_auto_plot"),
returnStd = FALSE,
extended = FALSE,
...
)
Arguments
model |
A |
digits |
Round to how many digits (default = 2) |
showRg |
= Whether to show the genetic correlations (FALSE) |
std |
= Whether to show the standardized model (TRUE) |
comparison |
You can run mxCompare on a comparison model (NULL) |
CIs |
Whether to show Confidence intervals if they exist (TRUE) |
zero.print |
How to show zeros (".") |
report |
If "html", then open an html table of the results. |
file |
The name of the dot file to write: NA = none; "name" = use the name of the model |
returnStd |
Whether to return the standardized form of the model (default = FALSE) |
extended |
How much to report (FALSE) |
... |
Other parameters to control model summary |
Value
optional
OpenMx::mxModel()
References
See Also
Other Summary functions:
umxSummary.MxModel(),
umxSummaryCP(),
umxSummaryGxE(),
umxSummaryIP(),
umxSummaryMRDoC()
Examples
## Not run:
require(umx)
data(twinData)
mzData = subset(twinData, zygosity == "MZFF")
dzData = subset(twinData, zygosity == "DZFF")
m1 = umxACEcov(selDVs = c("bmi", "wt"), selCovs = "ht", dzData = dzData, mzData = mzData, sep="")
umxSummaryACEcov(m1, file = NA)
umxSummaryACEcov(m1, file = "name", std = TRUE)
stdFit = umxSummary(m1, returnStd = TRUE)
## End(Not run)
Shows a compact, publication-style, summary of a variance-based Cholesky ACE model.
Description
Summarize a fitted Cholesky model returned by umxACEv(). Can control digits, report comparison model fits,
optionally show the Rg (genetic and environmental correlations), and show confidence intervals. the report parameter allows
drawing the tables to a web browser where they may readily be copied into non-markdown programs like Word.
Usage
umxSummaryACEv(
model,
digits = 2,
comparison = NULL,
std = TRUE,
showRg = FALSE,
CIs = TRUE,
report = c("markdown", "html"),
file = getOption("umx_auto_plot"),
returnStd = FALSE,
extended = FALSE,
zero.print = ".",
show = c("std", "raw"),
...
)
Arguments
model |
an |
digits |
round to how many digits (default = 2) |
comparison |
you can run mxCompare on a comparison model (NULL) |
std |
Whether to standardize the output (default = TRUE) |
showRg |
= whether to show the genetic correlations (FALSE) |
CIs |
Whether to show Confidence intervals if they exist (TRUE) |
report |
If "html", then open an html table of the results |
file |
The name of the dot file to write: "name" = use the name of the model. Defaults to getOption("umx_auto_plot"), which is likely "name". |
returnStd |
Whether to return the standardized form of the model (default = FALSE) |
extended |
how much to report (FALSE) |
zero.print |
How to show zeros (".") |
show |
Here to support being called from generic xmu_safe_run_summary. User should ignore: can be c("std", "raw") |
... |
Other parameters to control model summary |
Details
See documentation for other umx models here: umxSummary().
Value
optional
OpenMx::mxModel()
References
See Also
Other Twin Modeling Functions:
power.ACE.test(),
umx,
umxACE(),
umxACEcov(),
umxACEv(),
umxCP(),
umxDiffMZ(),
umxDiscTwin(),
umxDoC(),
umxDoCp(),
umxGxE(),
umxGxE_window(),
umxGxEbiv(),
umxIP(),
umxMRDoC(),
umxReduce(),
umxReduceACE(),
umxReduceGxE(),
umxRotate.MxModelCP(),
umxSexLim(),
umxSimplex(),
umxSummarizeTwinData(),
umxSummaryACE(),
umxSummaryDoC(),
umxSummaryGxEbiv(),
umxSummarySexLim(),
umxSummarySimplex(),
umxTwinMaker()
Examples
require(umx)
data(twinData)
mzData = subset(twinData, zygosity == "MZFF")
dzData = subset(twinData, zygosity == "DZFF")
m1 = umxACEv(selDVs = "bmi", sep = "", dzData = dzData, mzData = mzData)
umxSummary(m1, std = FALSE)
## Not run:
umxSummary(m1, file = NA);
umxSummary(m1, file = "name", std = TRUE)
stdFit = umxSummary(m1, returnStd = TRUE)
## End(Not run)
Present the results of a Common-pathway twin model in table and graphical form
Description
Summarizes a Common-Pathway model, as returned by umxCP()
Usage
umxSummaryCP(
model,
digits = 2,
std = TRUE,
CIs = FALSE,
showRg = FALSE,
comparison = NULL,
report = c("markdown", "html"),
file = getOption("umx_auto_plot"),
returnStd = FALSE,
...
)
Arguments
model |
A fitted |
digits |
Round to how many digits (default = 2) |
std |
Whether to show the standardized model (TRUE) (ignored: used extended = TRUE to get unstandardized) |
CIs |
Confidence intervals (default FALSE) |
showRg |
Whether to show the genetic correlations (default FALSE) |
comparison |
Run mxCompare on a comparison model (default NULL) |
report |
Print tables to the console (as 'markdown'), or open in browser ('html') |
file |
The name of the dot file to write: NA = none; "name" = use the name of the model |
returnStd |
Whether to return the standardized form of the model (default = FALSE) |
... |
Optional additional parameters |
Value
optional
OpenMx::mxModel()
References
See Also
-
umxCP(),plot(),umxSummary()work for IP, CP, GxE, SAT, and ACE models.
Other Summary functions:
umxSummary.MxModel(),
umxSummaryACEcov(),
umxSummaryGxE(),
umxSummaryIP(),
umxSummaryMRDoC()
Examples
## Not run:
require(umx)
data(twinData)
twinData$wt1 = twinData$wt1/10
twinData$wt2 = twinData$wt2/10
selDVs = c("ht", "wt")
mzData = subset(twinData, zygosity == "MZFF")
dzData = subset(twinData, zygosity == "DZFF")
m1 = umxCP(selDVs = selDVs, dzData = dzData, mzData = mzData, sep = "", optimizer = "SLSQP")
umxSummaryCP(m1, file = NA) # Suppress plot creation with file
umxSummary(m1, file = NA) # Generic summary is the same
stdFit = umxSummaryCP(m1, digits = 2, std = TRUE, file = NA, returnStd = TRUE);
umxSummary(m1, std = FALSE, showRg = TRUE, file = NA);
umxSummary(m1, std = FALSE, file = NA)
# =================
# = Print example =
# =================
umxSummary(m1, file = "Figure 3", std = TRUE)
# =================
# = Confint example =
# =================
m1 = umxConfint(m1, "smart", run = FALSE);
m1 = umxConfint(m1, "smart", run = TRUE);
umxSummary(m1, CIs = TRUE, file = NA);
## End(Not run)
Shows a compact, publication-style, summary of a umx Direction of Causation model
Description
Summarize a fitted model returned by umxDoC(). Can control digits, report comparison model fits,
optionally show the Rg (genetic and environmental correlations), and show confidence intervals. the report parameter allows
drawing the tables to a web browser where they may readily be copied into non-markdown programs like Word.
Usage
umxSummaryDoC(
model,
digits = 2,
comparison = NULL,
std = TRUE,
showRg = FALSE,
CIs = TRUE,
report = c("markdown", "html"),
file = getOption("umx_auto_plot"),
returnStd = FALSE,
zero.print = ".",
...
)
Arguments
model |
a fitted |
digits |
round to how many digits (default = 2). |
comparison |
Run mxCompare on a comparison model (default NULL) |
std |
Whether to standardize the output (default = TRUE). |
showRg |
= whether to show the genetic correlations (FALSE). |
CIs |
Whether to show Confidence intervals if they exist (TRUE). |
report |
Print tables to the console (as 'markdown'), or open in browser ('html') |
file |
The name of the dot file to write: "name" = use the name of the model. Defaults to NA = do not create plot output. |
returnStd |
Whether to return the standardized form of the model (default = FALSE). |
zero.print |
How to show zeros (".") |
... |
Other parameters to control model summary. |
Details
See documentation for other umx models here: umxSummary().
Value
optional
OpenMx::mxModel()
See Also
Other Twin Modeling Functions:
power.ACE.test(),
umx,
umxACE(),
umxACEcov(),
umxACEv(),
umxCP(),
umxDiffMZ(),
umxDiscTwin(),
umxDoC(),
umxDoCp(),
umxGxE(),
umxGxE_window(),
umxGxEbiv(),
umxIP(),
umxMRDoC(),
umxReduce(),
umxReduceACE(),
umxReduceGxE(),
umxRotate.MxModelCP(),
umxSexLim(),
umxSimplex(),
umxSummarizeTwinData(),
umxSummaryACE(),
umxSummaryACEv(),
umxSummaryGxEbiv(),
umxSummarySexLim(),
umxSummarySimplex(),
umxTwinMaker()
Examples
## Not run:
# ================
# = 1. Load Data =
# ================
data(docData)
mzData = subset(docData, zygosity %in% c("MZFF", "MZMM"))
dzData = subset(docData, zygosity %in% c("DZFF", "DZMM"))
# =======================================
# = 2. Define manifests for var 1 and 2 =
# =======================================
var1 = paste0("varA", 1:3)
var2 = paste0("varB", 1:3)
# =======================================================
# = 2. Make the non-causal (Cholesky) and causal models =
# =======================================================
Chol= umxDoC(var1= var1, var2= var2, mzData= mzData, dzData= dzData, causal= FALSE)
DoC = umxDoC(var1= var1, var2= var2, mzData= mzData, dzData= dzData, causal= TRUE)
# ================================================
# = Make the directional models by modifying DoC =
# ================================================
A2B = umxModify(DoC, "a2b", free = TRUE, name = "A2B")
A2B = umxModify(DoC, "a2b", free = TRUE, name = "A2B", comp=TRUE)
B2A = umxModify(DoC, "b2a", free = TRUE, name = "B2A", comp=TRUE)
umxCompare(B2A, A2B)
## End(Not run)
Summarize a GxE model
Description
Summarize a genetic moderation model, as returned by umxGxE(). Prints graphs of A, C, and E, standardized and raw.
Usage
umxSummaryGxE(
model = NULL,
digits = 2,
xlab = NA,
location = "topleft",
separateGraphs = FALSE,
gg = TRUE,
file = getOption("umx_auto_plot"),
returnStd = NULL,
std = NULL,
reduce = FALSE,
CIs = NULL,
report = c("markdown", "html"),
show = NULL,
...
)
Arguments
model |
A fitted |
digits |
round to how many digits (default = 2) |
xlab |
label for the x-axis of plot |
location |
default = "topleft" |
separateGraphs |
If TRUE, both std and raw plots in one figure (default FALSE) |
gg |
Whether to use ggplot to create the graphs (default TRUE) |
file |
The name of the dot file to write: NA = none; "name" = use the name of the model |
returnStd |
Whether to return the standardized form of the model (default = FALSE) |
std |
Whether to show the standardized model (not implemented! TRUE) |
reduce |
Whether run and tabulate a complete model reduction...(Defaults to FALSE) |
CIs |
Confidence intervals (FALSE) |
report |
"markdown" or "html" = open a browser for copyable tables |
show |
not doing anything yet (required for all summary functions) |
... |
Optional additional parameters |
Details
Note: see also umxReduce() which knows how to reduce a GxE model.
Value
optional
OpenMx::mxModel()
References
See Also
-
umxGxE(),umxReduce(),plot(), [umxSummary)] all work for IP, CP, GxE, and ACE models.
[umxSummary)]: R:umxSummary)
Other Summary functions:
umxSummary.MxModel(),
umxSummaryACEcov(),
umxSummaryCP(),
umxSummaryIP(),
umxSummaryMRDoC()
Examples
## Not run:
# The total sample has been subdivided into a young cohort,
# aged 18-30 years, and an older cohort aged 31 and above.
# Cohort 1 Zygosity is coded as follows 1 == MZ females 2 == MZ males
# 3 == DZ females 4 == DZ males 5 == DZ opposite sex pairs
require(umx)
data(twinData)
twinData$age1 = twinData$age2 = twinData$age
selDVs = c("bmi1", "bmi2")
selDefs = c("age1", "age2")
selVars = c(selDVs, selDefs)
mzData = subset(twinData, zygosity == "MZFF", selVars)
dzData = subset(twinData, zygosity == "DZMM", selVars)
# Exclude cases with missing Def
mzData = mzData[!is.na(mzData[selDefs[1]]) & !is.na(mzData[selDefs[2]]),]
dzData = dzData[!is.na(dzData[selDefs[1]]) & !is.na(dzData[selDefs[2]]),]
m1 = umxGxE(selDVs = "bmi", selDefs = "age", sep="", dzData = dzData, mzData = mzData)
# Plot Moderation
umxSummaryGxE(m1)
umxSummaryGxE(m1, location = "topright")
umxSummaryGxE(m1, separateGraphs = FALSE)
## End(Not run)
Summarize a bivariate GxE twin model
Description
umxSummaryGxEbiv summarizes a bivariate moderation model, as returned by umxGxEbiv().
Usage
umxSummaryGxEbiv(
model = NULL,
digits = 2,
xlab = NA,
location = "topleft",
separateGraphs = FALSE,
file = getOption("umx_auto_plot"),
comparison = NULL,
std = NULL,
reduce = FALSE,
CIs = NULL,
report = c("markdown", "html"),
returnStd = NULL,
...
)
Arguments
model |
A fitted |
digits |
round to how many digits (default = 2) |
xlab |
label for the x-axis of plot |
location |
default = "topleft" |
separateGraphs |
Std and raw plots in separate graphs? (default = FALSE) |
file |
The name of the dot file to write: NA = none; "name" = use the name of the model |
comparison |
mxCompare model with this model if offered up (default = NULL). |
std |
Whether to show the standardized model (not implemented! TRUE) |
reduce |
Whether to run and tabulate a complete model reduction...(Defaults to FALSE) |
CIs |
Confidence intervals (FALSE) |
report |
markdown or html (html opens in browser) |
returnStd |
Whether to return the standardized form of the model (default = FALSE) |
... |
Optional additional parameters |
Value
optional
OpenMx::mxModel()
References
See Also
-
umxGxEbiv(),plot(),umxSummary()work for IP, CP, GxE, and ACE models.
Other Twin Modeling Functions:
power.ACE.test(),
umx,
umxACE(),
umxACEcov(),
umxACEv(),
umxCP(),
umxDiffMZ(),
umxDiscTwin(),
umxDoC(),
umxDoCp(),
umxGxE(),
umxGxE_window(),
umxGxEbiv(),
umxIP(),
umxMRDoC(),
umxReduce(),
umxReduceACE(),
umxReduceGxE(),
umxRotate.MxModelCP(),
umxSexLim(),
umxSimplex(),
umxSummarizeTwinData(),
umxSummaryACE(),
umxSummaryACEv(),
umxSummaryDoC(),
umxSummarySexLim(),
umxSummarySimplex(),
umxTwinMaker()
Examples
data(twinData)
df = umx_scale_wide_twin_data(twinData, varsToScale = c("ht", "wt"), sep = "")
mzData = subset(df, zygosity %in% c("MZFF", "MZMM"))
dzData = subset(df, zygosity %in% c("DZFF", "DZMM", "DZOS"))
## Not run:
m1 = umxGxEbiv(selDVs = "wt", selDefs = "ht",
dzData = dzData, mzData = mzData, sep = "", dropMissingDef = TRUE)
# Plot Moderation
umxSummary(m1)
umxSummary(m1, location = "topright")
umxSummary(m1, separateGraphs = FALSE)
## End(Not run)
Present the results of an independent-pathway twin model in table and graphical form
Description
Summarize a Independent Pathway model, as returned by umxIP()
Usage
umxSummaryIP(
model,
digits = 2,
file = getOption("umx_auto_plot"),
std = TRUE,
showRg = FALSE,
comparison = NULL,
CIs = FALSE,
returnStd = FALSE,
report = c("markdown", "html"),
...
)
Arguments
model |
A fitted |
digits |
round to how many digits (default = 2) |
file |
The name of the dot file to write: NA = none; "name" = use the name of the model |
std |
= Whether to show the standardized model (TRUE) |
showRg |
= whether to show the genetic correlations (FALSE) |
comparison |
Whether to run mxCompare on a comparison model (NULL) |
CIs |
Confidence intervals (F) |
returnStd |
Whether to return the standardized form of the model (default = FALSE) |
report |
how to display the results ("html" will open in browser as table) |
... |
Optional additional parameters |
Value
optional
OpenMx::mxModel()
References
See Also
-
umxIP(),plot(),umxSummary()work for IP, CP, GxE, SAT, and ACE models.
Other Summary functions:
umxSummary.MxModel(),
umxSummaryACEcov(),
umxSummaryCP(),
umxSummaryGxE(),
umxSummaryMRDoC()
Examples
## Not run:
require(umx)
data(GFF) # family function and well-being data
mzData = subset(GFF, zyg_2grp == "MZ")
dzData = subset(GFF, zyg_2grp == "DZ")
selDVs = c("hap", "sat", "AD") # These will be expanded into "hap_T1" "hap_T2" etc.
m1 = umxIP(selDVs = selDVs, sep = "_T", dzData = dzData, mzData = mzData)
umxSummaryIP(m1)
plot(m1)
umxSummaryIP(m1, digits = 2, file = "Figure3", showRg = FALSE, CIs = TRUE);
## End(Not run)
Present the results of a Mendelian Randomization Direction of Causation Model in a table
Description
Summarizes a MR Direction of Causation model, as returned by umxMRDoC()
Usage
umxSummaryMRDoC(
model,
digits = 2,
std = TRUE,
CIs = FALSE,
comparison = NULL,
RMSEA_CI = FALSE,
report = c("markdown", "html"),
file = getOption("umx_auto_plot"),
...
)
Arguments
model |
A fitted |
digits |
Round to how many digits (default = 2) |
std |
Whether to show the standardized model (TRUE) (ignored: used extended = TRUE to get unstandardized) |
CIs |
Confidence intervals (default FALSE) |
comparison |
Run mxCompare on a comparison model (default NULL) |
RMSEA_CI |
Optionally compute CI on RMSEA. |
report |
Print tables to the console (as 'markdown'), or open in browser ('html') |
file |
The name of the dot file to write: NA = none; "name" = use the name of the model |
... |
Optional additional parameters |
Value
nothing
See Also
-
umxDoC(),plot(),umxSummary()work for DoC models.
Other Summary functions:
umxSummary.MxModel(),
umxSummaryACEcov(),
umxSummaryCP(),
umxSummaryGxE(),
umxSummaryIP()
Shows a compact, publication-style, summary of a umx Sex Limitation model
Description
Summarize a fitted Cholesky model returned by umxSexLim(). Can control digits, report comparison model fits,
optionally show the Rg (genetic and environmental correlations), and show confidence intervals. The report parameter allows
drawing the tables to a web browser where they may readily be copied into non-markdown programs like Word.
Usage
umxSummarySexLim(
model,
digits = 2,
file = getOption("umx_auto_plot"),
comparison = NULL,
std = TRUE,
showRg = FALSE,
CIs = TRUE,
report = c("markdown", "html"),
extended = FALSE,
zero.print = ".",
show = c("std", "raw"),
returnStd = FALSE,
...
)
Arguments
model |
a |
digits |
round to how many digits (default = 2) |
file |
The name of the dot file to write: "name" = use the name of the model. Defaults to NA = do not create plot output |
comparison |
you can run mxCompare on a comparison model (NULL) |
std |
Whether to standardize the output (default = TRUE) |
showRg |
= whether to show the genetic correlations (FALSE) |
CIs |
Whether to show Confidence intervals if they exist (T) |
report |
If "html", then open an html table of the results |
extended |
how much to report (FALSE) |
zero.print |
How to show zeros (".") |
show |
Here to support being called from generic xmu_safe_run_summary. User should ignore: can be c("std", "raw") |
returnStd |
Whether to return the standardized form of the model (default = FALSE) |
... |
Other parameters to control model summary |
Details
See documentation for summary functions for other types of umx model here: umxSummary().
Value
optional
OpenMx::mxModel()
References
See Also
Other Twin Modeling Functions:
power.ACE.test(),
umx,
umxACE(),
umxACEcov(),
umxACEv(),
umxCP(),
umxDiffMZ(),
umxDiscTwin(),
umxDoC(),
umxDoCp(),
umxGxE(),
umxGxE_window(),
umxGxEbiv(),
umxIP(),
umxMRDoC(),
umxReduce(),
umxReduceACE(),
umxReduceGxE(),
umxRotate.MxModelCP(),
umxSexLim(),
umxSimplex(),
umxSummarizeTwinData(),
umxSummaryACE(),
umxSummaryACEv(),
umxSummaryDoC(),
umxSummaryGxEbiv(),
umxSummarySimplex(),
umxTwinMaker()
Examples
## Not run:
# ======================================================
# = Beta: Should be good to use for Boulder/March 2020 =
# ======================================================
# =============================================
# = Run Qualitative Sex Differences ACE model =
# =============================================
# =========================
# = Load and Process Data =
# =========================
require(umx)
umx_set_optimizer("SLSQP")
data("us_skinfold_data")
# rescale vars
us_skinfold_data[, c('bic_T1', 'bic_T2')] = us_skinfold_data[, c('bic_T1', 'bic_T2')]/3.4
us_skinfold_data[, c('tri_T1', 'tri_T2')] = us_skinfold_data[, c('tri_T1', 'tri_T2')]/3
us_skinfold_data[, c('caf_T1', 'caf_T2')] = us_skinfold_data[, c('caf_T1', 'caf_T2')]/3
us_skinfold_data[, c('ssc_T1', 'ssc_T2')] = us_skinfold_data[, c('ssc_T1', 'ssc_T2')]/5
us_skinfold_data[, c('sil_T1', 'sil_T2')] = us_skinfold_data[, c('sil_T1', 'sil_T2')]/5
# Variables for Analysis
selDVs = c('ssc','sil','caf','tri','bic')
# Data for each of the 5 twin-type groups
mzmData = subset(us_skinfold_data, zyg == 1)
mzfData = subset(us_skinfold_data, zyg == 2)
dzmData = subset(us_skinfold_data, zyg == 3)
dzfData = subset(us_skinfold_data, zyg == 4)
dzoData = subset(us_skinfold_data, zyg == 5)
# ======================
# = Bivariate example =
# ======================
selDVs = c('tri','bic')
m1 = umxSexLim(selDVs = selDVs, sep = "_T", A_or_C = "A", tryHard = "yes",
mzmData = mzmData, dzmData = dzmData,
mzfData = mzfData, dzfData = dzfData,
dzoData = dzoData
)
umxSummary(m1, file = NA);
# ===============
# = Switch to C =
# ===============
m1 = umxSexLim(selDVs = selDVs, sep = "_T", A_or_C = "C", tryHard = "yes",
mzmData = mzmData, dzmData = dzmData,
mzfData = mzfData, dzfData = dzfData,
dzoData = dzoData
)
## End(Not run)
Shows a compact, publication-style, summary of a Simplex model.
Description
Summarize a fitted Simplex model returned by umxSimplex(). Can control digits, report comparison model fits,
optionally show the Rg (genetic and environmental correlations), and show confidence intervals. the report parameter allows
drawing the tables to a web browser where they may readily be copied into non-markdown programs like Word.
Usage
umxSummarySimplex(
model,
digits = 2,
file = getOption("umx_auto_plot"),
comparison = NULL,
std = TRUE,
showRg = FALSE,
CIs = TRUE,
report = c("markdown", "html"),
returnStd = FALSE,
extended = FALSE,
zero.print = ".",
show = c("std", "raw"),
...
)
Arguments
model |
an |
digits |
round to how many digits (default = 2) |
file |
The name of the dot file to write: "name" = use the name of the model. Defaults to NA = no plot. |
comparison |
you can run mxCompare on a comparison model (default = NULL) |
std |
Whether to standardize the output (default = TRUE) |
showRg |
(T/F) Whether to show the genetic correlations (default = FALSE) |
CIs |
Whether to show Confidence intervals if they exist (default = TRUE) |
report |
If "html", then open an html table of the results (default = 'markdown') |
returnStd |
Whether to return the standardized form of the model (default = FALSE) |
extended |
how much to report (default = FALSE) |
zero.print |
How to show zeros (default = ".") |
show |
Here to support being called from generic xmu_safe_run_summary. User should ignore: can be c("std", "raw") |
... |
Other parameters to control model summary |
Details
See documentation for other umx models here: umxSummary().
Value
optional
OpenMx::mxModel()
References
See Also
Other Twin Modeling Functions:
power.ACE.test(),
umx,
umxACE(),
umxACEcov(),
umxACEv(),
umxCP(),
umxDiffMZ(),
umxDiscTwin(),
umxDoC(),
umxDoCp(),
umxGxE(),
umxGxE_window(),
umxGxEbiv(),
umxIP(),
umxMRDoC(),
umxReduce(),
umxReduceACE(),
umxReduceGxE(),
umxRotate.MxModelCP(),
umxSexLim(),
umxSimplex(),
umxSummarizeTwinData(),
umxSummaryACE(),
umxSummaryACEv(),
umxSummaryDoC(),
umxSummaryGxEbiv(),
umxSummarySexLim(),
umxTwinMaker()
Examples
## Not run:
# 4 time model
# Select Data
data(iqdat)
mzData <- subset(iqdat, zygosity == "MZ")
dzData <- subset(iqdat, zygosity == "DZ")
vars = c("IQ_age1", "IQ_age2", "IQ_age3", "IQ_age4")
m1= umxSimplex(selDVs= vars, sep= "_T", dzData= dzData, mzData= mzData, tryHard= "yes")
umxSummary(m1, file = NA);
## End(Not run)
Make a multi-group model
Description
umxSuperModel takes 1 or more models and wraps them in a supermodel with a
OpenMx::mxFitFunctionMultigroup() fit function that minimizes the sum of the
fits of the sub-models.
note: Any duplicate model-names are renamed to be unique by suffixing _1 etc.
Usage
umxSuperModel(
name = "super",
...,
autoRun = getOption("umx_auto_run"),
tryHard = c("no", "yes", "ordinal", "search"),
std = FALSE
)
Arguments
name |
The name for the container model (default = 'super') |
... |
Models forming the multiple groups contained in the supermodel. |
autoRun |
Whether to run the model (default), or just to create it and return without running. |
tryHard |
Default ('no') uses normal mxRun. "yes" uses mxTryHard. Other options: "ordinal", "search" |
std |
Show standardized parameters, raw (default), or just the fit indices (null) |
Value
References
See Also
Other Core Model Building Functions:
umx,
umxMatrix(),
umxModify(),
umxPath(),
umxRAM()
Examples
## Not run:
library(umx)
# Create two sets of data in which X & Y correlate ~ .4 in both datasets.
manifests = c("x", "y")
tmp = umx_make_TwinData(nMZpairs = 100, nDZpairs = 150,
AA = 0, CC = .4, EE = .6, varNames = manifests)
# Group 1
grp1 = tmp[tmp$zygosity == "MZ", manifests]
g1Data = mxData(cov(grp1), type = "cov", numObs = nrow(grp1), means=umx_means(grp1))
# Group 2
grp2 = tmp[tmp$zygosity == "DZ", manifests]
g2Data = mxData(cov(grp2), type = "cov", numObs = nrow(grp2), means=umx_means(grp2))
# Model 1 (could add autoRun = FALSE if you don't want to run this as it is being built)
m1 = umxRAM("m1", data = g1Data,
umxPath("x", to = "y", labels = "beta"),
umxPath(var = manifests, labels = c("Var_x", "Resid_y_grp1")),
umxPath(means = manifests, labels = c("Mean_x", "Mean_y"))
)
# Model 2
m2 = umxRAM("m2", data = g2Data,
umxPath("x", to = "y", labels = "beta"),
umxPath(var = manifests, labels=c("Var_x", "Resid_y_grp2")),
umxPath(means = manifests, labels=c("Mean_x", "Mean_y"))
)
# Place m1 and m2 into a supermodel, and autoRun it
# NOTE: umxSummary is only semi-smart/certain enough to compute saturated models etc
# and report multiple groups correctly.
m3 = umxSuperModel('top', m1, m2)
umxSummary(m3, std= TRUE)
# |name | Std.Estimate| Std.SE|CI |
# |:------------|------------:|------:|:-----------------|
# |beta | 0.51| 0.05|0.51 [0.41, 0.61] |
# |Var_x | 1.00| 0.00|1 [1, 1] |
# |Resid_y_grp1 | 0.74| 0.05|0.74 [0.64, 0.84] |
# |beta | 0.50| 0.05|0.5 [0.41, 0.6] |
# |Var_x | 1.00| 0.00|1 [1, 1] |
# |Resid_y_grp2 | 0.75| 0.05|0.75 [0.65, 0.84] |
summary(m3)
# ====================================
# = Test models with duplicate names =
# ====================================
data(GFF)
mzData = subset(GFF, zyg_2grp == "MZ")
dzData = subset(GFF, zyg_2grp == "DZ")
selDVs = c("gff", "fc", "qol")
m1 = umxCP(selDVs= selDVs, nFac= 1, dzData= dzData, mzData= mzData, sep= "_T", autoRun= TRUE)
m2 = mxRename(m1, "CP2")
umxModelNames(m1) # "top" "MZ" "DZ"
umxModelNames(m2) # "top" "MZ" "DZ"
super = umxSuperModel("myModel", m1, m2, autoRun = TRUE)
umxModelNames(super)
## End(Not run)
Create the threshold matrix needed for modeling ordinal data.
Description
High-level helper for ordinal modeling. Creates, labels, and sets smart-starts for this complex set set of an algebra and matrices. Big time saver!
Usage
umxThresholdMatrix(
df,
fullVarNames = NULL,
sep = NULL,
method = c("Mehta", "allFree"),
threshMatName = "threshMat",
l_u_bound = c(NA, NA),
droplevels = FALSE,
verbose = FALSE,
selDVs = "deprecated"
)
Arguments
df |
The data being modeled (to allow access to the factor levels and quantiles within these for each variable) |
fullVarNames |
The variable names. Note for twin data, just the base names, which sep will be used to fill out. |
sep |
(e.g. "_T") Required for wide (twin) data. It is used to break the base names our from their numeric suffixes. |
method |
How to implement the thresholds: Mehta, (1 free thresh for binary, first two fixed for ordinal) or "allFree" |
threshMatName |
name of the matrix which is returned. Defaults to "threshMat" - best not to change it. |
l_u_bound |
c(NA, NA) by default, you can use this to bound the first (base) threshold. |
droplevels |
Whether to drop levels with no observed data (defaults to FALSE) |
verbose |
How much to say about what was done. (defaults to FALSE) |
selDVs |
deprecated. Use "fullVarNames" |
Details
We often need to model ordinal data: sex, low-med-hi, depressed/normal, etc., A useful conceptual strategy to handle these data is to build a standard model for normally-varying data and then to threshold this normal distribution to generate the observed data. Thus an observation of "depressed" is modeled as a high score on the latent normally distributed trait, with thresholds set so that only scores above this threshold (1-minus the number of categories) reach the criteria for the diagnosis.
Making this work can require fixing the first 2 thresholds of ordinal data, or fixing both the mean and variance of a latent variable driving binary data, in order to estimate its one-free parameter: where to place the single threshold separating low from high cases.
The function returns a 3-item list consisting of:
A thresholdsAlgebra (named
threshMatName)A matrix of deviations for the thresholds (
deviations_for_thresh)A lower matrix of ones (
lowerOnes_for_thresh)
Twin Data
With twin data, make sure to provide the full names for twin data... this is not standard I know...
For twins (the function currently handles only pairs), the thresholds are equated for both twins using labels:
$labels
obese_T1 obese_T2
dev_1 "obese_dev1" "obese_dev1"
Value
list of thresholds matrix, deviations, lowerOnes
References
See Also
Other Advanced Model Building Functions:
umx,
umxAlgebra(),
umxFixAll(),
umxJiggle(),
umxRun(),
umxUnexplainedCausalNexus(),
xmuLabel(),
xmuValues()
Examples
# ============================
# = Simple non-twin examples =
# ============================
# data: 1 2-level ordered factor
x = data.frame(ordered(rbinom(100,1,.5))); names(x) = c("x")
tmp = umxThresholdMatrix(x, fullVarNames = "x")
# The lower ones matrix (all fixed)
tmp[[1]]$values
tmp[[1]]$free
# The deviations matrix
tmp[[2]]$values
tmp[[2]]$labels # note: for twins, labels will be equated across twins
# The algebra that adds the deviations to create thresholds:
tmp[[3]]$formula
# Example of a warning to not omit the variable names
# tmp = umxThresholdMatrix(x)
# Polite message: For coding safety, when calling umxThresholdMatrix, set fullVarNames...
# One ordered factor with 5-levels
x = cut(rnorm(100), breaks = c(-Inf,.2,.5, .7, Inf)); levels(x) = 1:5
x = data.frame(ordered(x)); names(x) <- c("x")
tmp = umxThresholdMatrix(x, fullVarNames = "x")
tmp[[2]]$name
tmp[[2]]$free # last one is free.. (method = Mehta)
tmp = umxThresholdMatrix(x, fullVarNames = "x", l_u_bound= c(-1,1))
tmp[[2]]$lbound # bounds applied to base threshold
# =================================
# = Binary example with twin data =
# =================================
# ===============================================================
# = Create a series of binary and ordinal columns to work with =
# ===============================================================
data(twinData)
# Make "obese" variable with ~20% subjects categorised as obese
obesityLevels = c('normal', 'obese')
cutPoints = quantile(twinData[, "bmi1"], probs = .2, na.rm = TRUE)
twinData$obese1 = cut(twinData$bmi1, breaks = c(-Inf, cutPoints, Inf), labels = obesityLevels)
twinData$obese2 = cut(twinData$bmi2, breaks = c(-Inf, cutPoints, Inf), labels = obesityLevels)
# Step 2: Make the ordinal variables into umxFactors (ordered, with the levels found in the data)
selVars = c("obese1", "obese2")
twinData[, selVars] = umxFactor(twinData[, selVars])
# Example 1
# use verbose = TRUE to see informative messages
tmp = umxThresholdMatrix(twinData, fullVarNames = selVars, sep = "", verbose = TRUE)
# ======================================
# = Ordinal (n categories > 2) example =
# ======================================
# Repeat for three-level weight variable
obesityLevels = c('normal', 'overweight', 'obese')
cutPoints = quantile(twinData[, "bmi1"], probs = c(.4, .7), na.rm = TRUE)
twinData$obeseTri1 = cut(twinData$bmi1, breaks = c(-Inf, cutPoints, Inf), labels = obesityLevels)
twinData$obeseTri2 = cut(twinData$bmi2, breaks = c(-Inf, cutPoints, Inf), labels = obesityLevels)
selDVs = "obeseTri"; selVars = tvars(selDVs, sep = "", suffixes = 1:2)
twinData[, selVars] = umxFactor(twinData[, selVars])
tmp = umxThresholdMatrix(twinData, fullVarNames = selVars, sep = "", verbose = TRUE)
# ========================================================
# = Mix of all three kinds example (and a 4-level trait) =
# ========================================================
obesityLevels = c('underWeight', 'normal', 'overweight', 'obese')
cutPoints = quantile(twinData[, "bmi1"], probs = c(.25, .4, .7), na.rm = TRUE)
twinData$obeseQuad1 = cut(twinData$bmi1, breaks = c(-Inf, cutPoints, Inf), labels = obesityLevels)
twinData$obeseQuad2 = cut(twinData$bmi2, breaks = c(-Inf, cutPoints, Inf), labels = obesityLevels)
selVars = c("obeseQuad1", "obeseQuad2")
twinData[, selVars] = umxFactor(twinData[, selVars])
selDVs =c("bmi", "obese", "obeseTri", "obeseQuad")
tmp = umxThresholdMatrix(twinData, fullVarNames = tvars(selDVs, sep= ""), sep = "", verbose = TRUE)
# The lower ones matrix (all fixed)
tmp[[1]]$values
# The deviations matrix
tmp[[2]]$values
tmp[[2]]$labels # note labels are equated across twins
# Check to be sure twin-1 column labels same as twin-2
tmp[[2]]$labels[,2]==tmp[[2]]$labels[,4]
# The algebra that assembles these into thresholds:
tmp[[3]]$formula
# =================================
# = Example with method = allFree =
# =================================
tmp = umxThresholdMatrix(twinData, fullVarNames = tvars(selDVs, sep= ""), sep = "",
method = "allFree")
all(tmp[[2]]$free)
Make a twin model from the model describing just one person
Description
xmu_path2twin takes a collection of paths describing the model for 1 person
and returns a completed twin model. This consists of a umxSuperModel() containing
MZ and DZ umxRAM() models.
Pass into umxTwinMaker:
A list of
pathsmaking up the twin 1 modelIn
t1_t2links, a vector describing the component relationships connecting twin 1 to twin 2 (The default here is 1 and .5 for the a, and, for c and e are 1 and 0 in both groups, respectively.
Details
Some rules. All labels are expanded with a twin suffix: so "var1" -> "var1_T1" etc. so you
provide the person-model using just the base name (and tell umxTwinMaker() how to expand it by providing a separator string).
Rule 2: The latent a, c, and e latent variables must be labelled to match the base name given in t1_t2links.
To avoid clashes, variables must not match the numbered variables in t1_t2links - by default names like "a1" are reserved for ace.
Usage
umxTwinMaker(
name = "m1",
paths,
t1_t2links = list(a = c(1, 0.5), c = c(1, 1), e = c(0, 0)),
mzData = NULL,
dzData = NULL,
sep = "_T",
autoRun = getOption("umx_auto_run")
)
Arguments
name |
The name for the resulting |
paths |
A vector of |
t1_t2links |
base name (and values) of paths that covary between T1 and T2. Default: c('a'=c(1,.5), 'c'=c(1,1), 'e'=c(0,0)) |
mzData |
Data for MZ twins. |
dzData |
Data for DZ twins. |
sep |
The separator used to create twin 1 and 2 names (Default "_T") |
autoRun |
Whether to run the supermodel before returning it. |
Value
References
See Also
Other Twin Modeling Functions:
power.ACE.test(),
umx,
umxACE(),
umxACEcov(),
umxACEv(),
umxCP(),
umxDiffMZ(),
umxDiscTwin(),
umxDoC(),
umxDoCp(),
umxGxE(),
umxGxE_window(),
umxGxEbiv(),
umxIP(),
umxMRDoC(),
umxReduce(),
umxReduceACE(),
umxReduceGxE(),
umxRotate.MxModelCP(),
umxSexLim(),
umxSimplex(),
umxSummarizeTwinData(),
umxSummaryACE(),
umxSummaryACEv(),
umxSummaryDoC(),
umxSummaryGxEbiv(),
umxSummarySexLim(),
umxSummarySimplex()
Examples
## Not run:
# We'll make some ACE models, but first, let's clean up the twinData
# set for analysis
# 1. Add a separator to the twin variable names (with sep = "_T")
# 2. Scale the data so it's easier for the optimizer.
data(twinData)
tmp = umx_make_twin_data_nice(data=twinData, sep="", zygosity="zygosity", numbering=1:2)
tmp = umx_scale_wide_twin_data(varsToScale= c("wt", "ht"), sep= "_T", data= tmp)
mzData = subset(tmp, zygosity %in% c("MZFF", "MZMM"))
dzData = subset(tmp, zygosity %in% c("DZFF", "DZMM"))
# ==========================
# = Make an ACE twin model =
# ==========================
# 1. Define paths for *one* person:
paths = c(
umxPath(v1m0 = c("a1", 'c1', "e1")),
umxPath(means = c("wt")),
umxPath(c("a1", 'c1', "e1"), to = "wt", values=.2)
)
# 2. Make a twin model from the paths for one person
m1 = umxTwinMaker("test", paths, mzData = mzData, dzData= dzData)
plot(m1, std= TRUE, means= FALSE)
# 3. comparison with umxACE...
m2 = umxACE(selDVs="wt", mzData = mzData, dzData=dzData, sep="_T")
# =====================
# = Bivariate example =
# =====================
latents = paste0(rep(c("a", "c", "e"), each = 2), 1:2)
biv = c(
umxPath(v1m0 = latents),
umxPath(mean = c("wt", "ht")),
umxPath(fromEach = c("a1", 'c1', "e1"), to = c("ht", "wt")),
umxPath(c("a2", 'c2', "e2"), to = "wt")
)
tmp= umxTwinMaker(paths= biv, mzData = mzData, dzData= dzData)
plot(tmp, means=FALSE)
# How to use latents other than a, c, and e: define in t1_t2links
paths = c(
umxPath(v1m0 = c("as1", 'c1', "e1")),
umxPath(means = c("wt")),
umxPath(c("as1", 'c1', "e1"), to = "wt", values=.2)
)
m1 = umxTwinMaker("test", paths, mzData = mzData, dzData= dzData,
t1_t2links = list('as'=c(1, .5), 'c'=c(1, 1), 'e'=c(0, 0))
)
## End(Not run)
Build a SEM implementing the instrumental variable design
Description
umxMR (umxTwoStage) implements a Mendelian randomization or instrumental variable Structural Equation Model.
For ease of learning, the parameters follow the tsls() function in the sem package.
Usage
umxTwoStage(
formula = Y ~ X,
instruments = ~qtl,
data,
std = FALSE,
subset,
contrasts = NULL,
name = "IV_model",
tryHard = c("no", "yes", "ordinal", "search"),
...
)
Arguments
formula |
The structural equation to be estimated (default = Y ~ X). A constant is implied if not explicitly deleted. |
instruments |
A one-sided formula specifying instrumental variables (default = qtl). |
data |
Frame containing the variables in the model. |
std |
Standardize the manifests before running model (default is FALSE) |
subset |
(optional) vector specifying a subset of observations to be used in fitting the model. |
contrasts |
An optional list (not supported) |
name |
The model name (default is "IVmodel") |
tryHard |
Default ('no') uses normal mxRun. "yes" uses mxTryHard. Other options: "ordinal", "search" |
... |
arguments to be passed along. (not supported) |
Details
The example is a Mendelian Randomization analysis showing the utility of SEM over two-stage regression.
The following figure shows how the MR model appears as a path diagram:
Value
References
Fox, J. (1979) Simultaneous equation models and two-stage least-squares. In Schuessler, K. F. (ed.) Sociological Methodology, Jossey-Bass.
Greene, W. H. (1993) Econometric Analysis, Second Edition, Macmillan.
Sekula, P., Del Greco, M. F., Pattaro, C., & Kottgen, A. (2016). Mendelian Randomization as an Approach to Assess Causality Using Observational Data. Journal of the American Society of Nephrology, 27), 3253-3265. doi:10.1681/ASN.2016010098
See Also
Other Super-easy helpers:
umx,
umxEFA()
Examples
## Not run:
# ====================================
# = Mendelian Randomization analysis =
# ====================================
library(umx)
df = umx_make_MR_data(10e4, Vqtl = 0.02, bXY = 0.1, bUX = 0.5, bUY = 0.5, pQTL = 0.5)
m1 = umxMR(Y ~ X, instruments = ~ qtl, data = df)
parameters(m1)
plot(m1, means = FALSE, min="") # help DiagrammR layout the plot.
m2 = umxModify(m1, "qtl_to_X", comparison=TRUE, tryHard="yes", name="QTL_affects_X") # yip
m3 = umxModify(m1, "X_to_Y" , comparison=TRUE, tryHard="yes", name="X_affects_Y") # yip
plot(m3, means = FALSE)
# Errant analysis using ordinary least squares regression (WARNING this result is CONFOUNDED!!)
ols1 = lm(Y ~ X , data = df); coef(ols1) # Inflated .35 effect of X on Y
ols2 = lm(Y ~ X + U, data = df); coef(ols2) # Controlling U reveals the true 0.1 beta weight
# Simulate date with no causal X -> Y effect.
df = umx_make_MR_data(10e4, Vqtl = 0.02, bXY = 0, bUX = 0.5, bUY = 0.5, pQTL = 0.5)
m1 = umxMR(Y ~ X, instruments = ~ qtl, data = df)
parameters(m1)
# ======================
# = Now with sem::tsls =
# ======================
# libs("sem")
m2 = sem::tsls(formula = Y ~ X, instruments = ~ qtl, data = df)
coef(m2)
# Try with missing value for one subject: A benefit of the FIML approach in OpenMx.
m3 = tsls(formula = Y ~ X, instruments = ~ qtl, data = (df[1, "qtl"] = NA))
## End(Not run)
umxUnexplainedCausalNexus
Description
umxUnexplainedCausalNexus report the effect of a change (delta) in a variable (from) on an output (to)
Usage
umxUnexplainedCausalNexus(from, delta, to, model = NULL)
Arguments
from |
A variable in the model for which you want to compute the effect of a change. |
delta |
A the amount to simulate changing ‘from’ by. |
to |
The dependent variable that you want to watch changing. |
model |
The model containing variables from and to. |
References
https://github.com/tbates/umx/
See Also
Other Advanced Model Building Functions:
umx,
umxAlgebra(),
umxFixAll(),
umxJiggle(),
umxRun(),
umxThresholdMatrix(),
xmuLabel(),
xmuValues()
Examples
## Not run:
umxUnexplainedCausalNexus(from="yrsEd", delta = .5, to = "income35", model)
## End(Not run)
Get or print the version of umx, along with detail from OpenMx and general system info.
Description
umxVersion returns the version information for umx, and for OpenMx and R. Essential for bug-reports! This function can also test for a minimum version.
Usage
umxVersion(
model = NULL,
min = NULL,
verbose = TRUE,
return = c("umx_vers", "OpenMx_vers")
)
Arguments
model |
Optional to show optimizer in this model |
min |
Optional minimum version string to test for, e.g. '2.7.0' (Default = NULL). |
verbose |
= TRUE |
return |
Which package (umx or OpenMx) to 'return' version info for (Default = umx). |
Value
References
See Also
Other Miscellaneous Utility Functions:
install.OpenMx(),
libs(),
qm(),
umx,
umxLav2RAM(),
umxModelNames(),
umxRAM2Lav(),
umx_array_shift(),
umx_find_object(),
umx_lower.tri(),
umx_msg(),
umx_open_CRAN_page(),
umx_pad(),
umx_print(),
umx_wide2long(),
umx_wide4lmer()
Examples
x = umxVersion(); x
AIC weight-based conditional probabilities.
Description
Returns the best model by AIC, and computes the probabilities according to AIC weight-based conditional probabilities (Wagenmakers & Farrell, 2004).
Usage
umxWeightedAIC(models, digits = 2)
Arguments
models |
a list of models to compare. |
digits |
(default 2) |
Value
Best model
References
Wagenmakers E.J., Farrell S. (2004), 192-196. AIC model selection using Akaike weights. Psychonomic Bulletin and Review. 11, 192-196. https://pubmed.ncbi.nlm.nih.gov/15117008/
See Also
Other Miscellaneous Stats Functions:
FishersMethod(),
SE_from_p(),
geometric_mean(),
harmonic_mean(),
oddsratio(),
reliability(),
umx,
umxCov2cor(),
umxHetCor(),
umxParan(),
umx_apply(),
umx_cor(),
umx_means(),
umx_r_test(),
umx_round(),
umx_scale(),
umx_var()
Examples
l1 = lm(mpg~ wt + disp, data=mtcars)
l2 = lm(mpg~ wt, data=mtcars)
umxWeightedAIC(models = list(l1, l2))
Round p-values according to APA guidelines
Description
umx_APA_pval formats p-values, rounded in APA style. So you get '< .001' instead of .000000002 or 1.00E-09.
You probably would be better off using umxAPA(), which handles many more object types.
You set the precision with digits. Optionally, you can add '=' '<' etc. The default for addComparison (NA) adds these when needed.
Usage
umx_APA_pval(p, min = 0.001, digits = 3, addComparison = NA)
Arguments
p |
The p-value to round |
min |
Values below min will be reported as "< min" |
digits |
Number of decimals to which to round (default = 3) |
addComparison |
Whether to add '=' '<' etc. (NA adds when needed) |
Value
p-value formatted in APA style
See Also
Other xmu internal not for end user:
umxModel(),
umxRenameMatrix(),
umx_fun_mean_sd(),
umx_get_bracket_addresses(),
umx_make(),
umx_standardize(),
umx_string_to_algebra(),
xmuHasSquareBrackets(),
xmuLabel_MATRIX_Model(),
xmuLabel_Matrix(),
xmuLabel_RAM_Model(),
xmuMI(),
xmuMakeDeviationThresholdsMatrices(),
xmuMakeOneHeadedPathsFromPathList(),
xmuMakeTwoHeadedPathsFromPathList(),
xmuMaxLevels(),
xmuMinLevels(),
xmuPropagateLabels(),
xmuRAM2Ordinal(),
xmuTwinSuper_Continuous(),
xmuTwinSuper_NoBinary(),
xmuTwinUpgradeMeansToCovariateModel(),
xmu_CI_merge(),
xmu_CI_stash(),
xmu_DF_to_mxData_TypeCov(),
xmu_PadAndPruneForDefVars(),
xmu_bracket_address2rclabel(),
xmu_cell_is_on(),
xmu_check_levels_identical(),
xmu_check_needs_means(),
xmu_check_variance(),
xmu_clean_label(),
xmu_data_missing(),
xmu_data_swap_a_block(),
xmu_describe_data_WLS(),
xmu_dot_make_paths(),
xmu_dot_make_residuals(),
xmu_dot_maker(),
xmu_dot_move_ranks(),
xmu_dot_rank_str(),
xmu_extract_column(),
xmu_get_CI(),
xmu_lavaan_process_group(),
xmu_make_TwinSuperModel(),
xmu_make_bin_cont_pair_data(),
xmu_make_mxData(),
xmu_match.arg(),
xmu_name_from_lavaan_str(),
xmu_path2twin(),
xmu_path_regex(),
xmu_print_algebras(),
xmu_rclabel_2_bracket_address(),
xmu_relevel_factors(),
xmu_safe_run_summary(),
xmu_set_sep_from_suffix(),
xmu_show_fit_or_comparison(),
xmu_simplex_corner(),
xmu_standardize_ACE(),
xmu_standardize_ACEcov(),
xmu_standardize_ACEv(),
xmu_standardize_CP(),
xmu_standardize_IP(),
xmu_standardize_RAM(),
xmu_standardize_SexLim(),
xmu_standardize_Simplex(),
xmu_start_value_list(),
xmu_starts(),
xmu_summary_RAM_group_parameters(),
xmu_twin_add_WeightMatrices(),
xmu_twin_check(),
xmu_twin_get_var_names(),
xmu_twin_make_def_means_mats_and_alg(),
xmu_twin_upgrade_selDvs2SelVars(),
xmu_update_covar()
Examples
umx_APA_pval(.052347)
umx_APA_pval(1.23E-3)
umx_APA_pval(1.23E-4)
umx_APA_pval(c(1.23E-3, .5))
umx_APA_pval(c(1.23E-3, .5), addComparison = TRUE)
Convenient formula-based cross-tabs & built-in summary functions
Description
A common task is preparing summary tables, aggregating over some grouping factor.
Like mean and sd of age, by sex. R's aggregate() function is useful and powerful, allowing
xtabs based on a formula.
umx_aggregate makes using it a bit easier. In particular, it has some common functions for summarizing data built-in, like "mean (sd)" (the default).
umx_aggregate(mpg ~ cyl, data = mtcars, what = "mean_sd")
| cyl | mpg |
| 4 (n = 11) | 26.66 (4.51) |
| 6 (n = 7) | 19.74 (1.45) |
| 8 (n = 14) | 15.1 (2.56) |
Usage
umx_aggregate(
formula = DV ~ condition,
data = df,
what = c("mean_sd", "n"),
digits = 2,
report = c("markdown", "html", "txt")
)
Arguments
formula |
The aggregation formula. e.g., DV ~ condition. |
data |
frame to aggregate (defaults to df for common case) |
what |
function to use. Default reports "mean (sd)". |
digits |
to round results to. |
report |
Format for the table: Default is markdown. |
Value
table
References
See Also
Other Reporting Functions:
umx,
umxAPA(),
umxFactorScores(),
umxGetLatents(),
umxGetManifests(),
umxGetModel(),
umxGetParameters(),
umxParameters(),
umx_time()
Examples
# =====================================
# = Basic use, compare with aggregate =
# =====================================
aggregate(mpg ~ cyl, FUN = mean, na.rm = TRUE, data = mtcars)
umx_aggregate(mpg ~ cyl, data = mtcars)
# =============================================
# = Use different (or user-defined) functions =
# =============================================
umx_aggregate(mpg ~ cyl, data = mtcars, what = "n")
umx_aggregate(mpg ~ cyl, data = mtcars, what = function(x){sum(!is.na(x))})
# turn off markdown
umx_aggregate(mpg ~ cyl, data = mtcars, report = "txt")
# ============================================
# = More than one item on the left hand side =
# ============================================
umx_aggregate(cbind(mpg, qsec) ~ cyl, data = mtcars, digits = 3)
# Transpose table
t(umx_aggregate(cbind(mpg, qsec) ~ cyl, data = mtcars))
## Not run:
umx_aggregate(cbind(moodAvg, mood) ~ condition, data = study1)
## End(Not run)
umx_apply
Description
Tries to make apply more readable. so "mean of x by columns", instead of "of x, by 2, mean"
Other functions to think of include:
cumsum(), rowSums(), colMeans(), etc.
Usage
umx_apply(FUN, of, by = c("columns", "rows"), ...)
Arguments
FUN |
The function to apply. |
of |
The dataframe to work with. |
by |
Apply the function to columns or to rows (default = "columns") |
... |
optional arguments to FUN, e.g., na.rm = TRUE. |
Value
object
References
See Also
Other Miscellaneous Stats Functions:
FishersMethod(),
SE_from_p(),
geometric_mean(),
harmonic_mean(),
oddsratio(),
reliability(),
umx,
umxCov2cor(),
umxHetCor(),
umxParan(),
umxWeightedAIC(),
umx_cor(),
umx_means(),
umx_r_test(),
umx_round(),
umx_scale(),
umx_var()
Examples
umx_apply(mean, mtcars, by = "columns")
umx_apply("mean", of = mtcars, by = "columns")
tmp = mtcars[1:3,]; tmp[1,1] = NA
umx_apply("mean", by = "rows", of = tmp)
umx_apply("mean", by = "rows", of = tmp, na.rm = TRUE)
Like the php array_shift function: shifts an item off the beginning of a list
Description
Returns x[1]. Has the SIDE EFFECT of assigning x to x[2:end] in the container environment.
Usage
umx_array_shift(x)
Arguments
x |
the vector to shift |
Value
first item of x
See Also
Other Miscellaneous Utility Functions:
install.OpenMx(),
libs(),
qm(),
umx,
umxLav2RAM(),
umxModelNames(),
umxRAM2Lav(),
umxVersion(),
umx_find_object(),
umx_lower.tri(),
umx_msg(),
umx_open_CRAN_page(),
umx_pad(),
umx_print(),
umx_wide2long(),
umx_wide4lmer()
Examples
x = c("Alice", "Bob", "Carol")
umx_array_shift(x) # returns "Alice"
x # now only 2 items (altered in containing environment)
umx_as_numeric
Description
Apply as.numeric to multiple columns of a dataframe.
Usage
umx_as_numeric(df, which = NULL, force = FALSE)
Arguments
df |
A [data.frame()] to convert |
which |
which columns to convert (default (null) selects all) |
force |
Whether to force conversion to numeric for non-numeric columns (defaults to FALSE) |
Value
- data.frame
References
- <https://github.com/tbates/umx>
See Also
Other Data Functions:
noNAs(),
prolific_anonymize(),
prolific_check_ID(),
prolific_read_demog(),
umx,
umxFactor(),
umxHetCor(),
umx_cont_2_quantiles(),
umx_lower2full(),
umx_make_MR_data(),
umx_make_TwinData(),
umx_make_fake_data(),
umx_make_raw_from_cov(),
umx_merge_randomized_columns(),
umx_polychoric(),
umx_polypairwise(),
umx_polytriowise(),
umx_read_lower(),
umx_rename(),
umx_reorder(),
umx_score_scale(),
umx_select_valid(),
umx_stack(),
umx_strings2numeric()
Examples
# make mpg into string, and cyl into a factor
df = mtcars
df$mpg = as.character(df$mpg)
df$cyl = factor(df$cyl)
df$am = df$am==1
df = umx_as_numeric(df); str(df) # mpg not touched
df = umx_as_numeric(df, force=TRUE); str(df) # mpg coerced back to numeric
## Not run:
# coercing a real string will cause NAs
df$mpg = c(letters[1:16]); str(df) # replace mpg with letters.
df = umx_as_numeric(df, force=TRUE); str(df)
## End(Not run)
umx_check
Description
Check that a test evaluates to TRUE. If not, stop, warn, or message the user
Usage
umx_check(
boolean.test,
action = c("stop", "warning", "message"),
message = "check failed",
...
)
Arguments
boolean.test |
test evaluating to TRUE or FALSE. |
action |
One of "stop" (the default), "warning", or "message". |
message |
what to tell the user when boolean.test is FALSE. |
... |
extra text will be pasted after the messages. |
Value
- boolean
See Also
Other Test:
umx_check_OS(),
umx_check_model(),
umx_check_names(),
umx_check_parallel(),
umx_has_CIs(),
umx_has_been_run(),
umx_has_means(),
umx_has_square_brackets(),
umx_is_MxData(),
umx_is_MxMatrix(),
umx_is_MxModel(),
umx_is_RAM(),
umx_is_cov()
Examples
umx_check(length(1:3)==3, "message", "item must have length == 3", "another comment", "and another")
umx_check(1==2, "message", "one must be 2", ". Another comment", "and another")
umx_check_OS
Description
Check what OS we are running on (current default is OS X). Returns a boolean. Optionally warn or die on failure of the test
Usage
umx_check_OS(
target = c("OSX", "SunOS", "Linux", "Windows"),
action = c("ignore", "warn", "die")
)
Arguments
target |
Which OS(s) you wish to check for (default = "OSX") |
action |
What to do on failure of the test: nothing (default), warn or die |
Value
TRUE if on the specified OS (else FALSE)
References
See Also
Other Test:
umx_check(),
umx_check_model(),
umx_check_names(),
umx_check_parallel(),
umx_has_CIs(),
umx_has_been_run(),
umx_has_means(),
umx_has_square_brackets(),
umx_is_MxData(),
umx_is_MxMatrix(),
umx_is_MxModel(),
umx_is_RAM(),
umx_is_cov()
Examples
umx_check_OS()
Check for required features in an OpenMx.
Description
Allows the user to straight-forwardly require a specific model type (i.e., "RAM", "LISREL", etc.), whether or not the model has data, if it has been run or not. You can also test whether is has a means model or not and (in future) test if it has submodels.
Usage
umx_check_model(
obj,
type = NULL,
hasData = NULL,
beenRun = NULL,
hasMeans = NULL,
checkSubmodels = FALSE,
callingFn = "a function"
)
Arguments
obj |
an object to check |
type |
what type the model must be, i.e., "RAM", "LISREL", etc. (defaults to not checking NULL) |
hasData |
whether the model should have data or not (defaults to not checking NULL) |
beenRun |
whether the model has been run or not (defaults to not checking NULL) |
hasMeans |
whether the model should have a means model or not (defaults to not checking NULL) |
checkSubmodels |
whether to check submodels (not implemented yet) (default = FALSE) |
callingFn |
= Name of the calling function to help the user locate the error. |
Value
- boolean
References
- <https://github.com/tbates/umx>
See Also
Other Test:
umx_check(),
umx_check_OS(),
umx_check_names(),
umx_check_parallel(),
umx_has_CIs(),
umx_has_been_run(),
umx_has_means(),
umx_has_square_brackets(),
umx_is_MxData(),
umx_is_MxMatrix(),
umx_is_MxModel(),
umx_is_RAM(),
umx_is_cov()
Examples
## Not run:
require(umx)
data(demoOneFactor)
manifests = names(demoOneFactor)
m1 = umxRAM("check_model_ex", data = demoOneFactor, type = "cov",
umxPath("G", to = manifests),
umxPath(var = manifests),
umxPath(var = "G", fixedAt = 1)
)
umx_check_model(m1) # TRUE, this is a model
umx_check_model(m1, type = "RAM") # equivalent to umx_is_RAM()
umx_check_model(m1, hasData = TRUE)
umx_check_model(m1, hasMeans = TRUE)
umx_check_model(m1, beenRun = FALSE)
# Model with no data
m1 = umxRAM("x ~~ .3*y", autoRun = FALSE)
umx_check_model(m1, hasData = TRUE)
## End(Not run)
Check if a request name exists in a dataframe or related object
Description
Check if a list of names are in the [namez()] of a dataframe (or the [dimnames()] of a matrix), or the names of the observed data of an [mzData()]
Usage
umx_check_names(
namesNeeded,
data = NA,
die = TRUE,
illegal = NULL,
no_others = FALSE,
intersection = FALSE,
message = ""
)
Arguments
namesNeeded |
Variable names to find (a dataframe is also allowed) |
data |
data.frame, matrix, or mxData to search in for names (default NA) |
die |
Whether to die if the check fails (default TRUE). |
illegal |
Optional list of names which must NOT be present. |
no_others |
Whether to test that the data contain no columns in addition to those in namesNeeded (default FALSE) |
intersection |
Show the intersection of names |
message |
Some helpful text to append when dieing. |
References
- <https://github.com/tbates/umx>
See Also
Other Test:
umx_check(),
umx_check_OS(),
umx_check_model(),
umx_check_parallel(),
umx_has_CIs(),
umx_has_been_run(),
umx_has_means(),
umx_has_square_brackets(),
umx_is_MxData(),
umx_is_MxMatrix(),
umx_is_MxModel(),
umx_is_RAM(),
umx_is_cov()
Other Check or test:
umx,
umx_is_class(),
umx_is_endogenous(),
umx_is_exogenous(),
umx_is_numeric(),
umx_is_ordered()
Examples
require(umx)
data(demoOneFactor) # "x1" "x2" "x3" "x4" "x5"
umx_check_names(c("x1", "x2"), demoOneFactor)
umx_check_names(c("x1", "x2"), as.matrix(demoOneFactor))
umx_check_names(c("x1", "x2"), cov(demoOneFactor[, c("x1","x2")]))
umx_check_names(c("x1", "x2"), mxData(demoOneFactor, type="raw"))
umx_check_names(c("z1", "x2"), data = demoOneFactor, die = FALSE)
umx_check_names(c("x1", "x2"), data = demoOneFactor, die = FALSE, no_others = TRUE)
umx_check_names(c("x1","x2","x3","x4","x5"), data = demoOneFactor, die = FALSE, no_others = TRUE)
# no request
umx_check_names(c(), data = demoOneFactor, die = FALSE, no_others = TRUE)
## Not run:
# An example error from vars that don't exist in the data
umx_check_names(c("bad_var_name", "x2"), data = demoOneFactor, die = TRUE)
## End(Not run)
Check if OpenMx is using OpenMP, test cores, and get timings
Description
Shows how many cores you are using, and runs a test script so user can check CPU usage.
Usage
umx_check_parallel(
nCores = c(1, omxDetectCores()),
testScript = NULL,
rowwiseParallel = TRUE,
nSubjects = 1000,
optimizer = NULL
)
Arguments
nCores |
How many cores to run (defaults to c(1, max). -1 = all available. |
testScript |
A user-provided script to run (NULL) |
rowwiseParallel |
Whether to parallel-ize rows (default) or gradient computation |
nSubjects |
Number of rows to model (Default = 1000) Reduce for quicker runs. |
optimizer |
Set optimizer, e.g., "NPSOL") |
Details
Some historical (starting 2017-09-06) speeds on my late 2015 iMac, 3.3 GHz Quad-core i7 desktop and then a quad i7 2018 MacBook Pro
| Date | Version | Cores | Time | Notes |
| 2021-07-28 | 2.19.6.19 (git) | 8 | 00 min 42.98 sec | \Delta:-80 (SLSQP laptop (55 sec under NPSOL)) |
| 2021-07-28 | 2.19.6.19 (git) | 1 | 02 min 03 sec | (SLSQP on laptop) |
| 2020-08-09 | 2.17.3 (git) | 1 | 01 min 52 sec | (CSOLNP on laptop) |
| 2020-08-09 | 2.17.3 (git) | 4 | 00 min 40.18 sec | (CSOLNP on laptop) |
| 2019-06-13 | v2.13.2 (git) | 1 | 01 min, 11 sec | (NPSOL) |
| 2019-06-13 | v2.13.2 (git) | 4 | 00 min, 22 sec | (NPSOL) |
| 2019-06-13 | v2.13.2 (git) | 6 | 00 min, 21 sec | (NPSOL) |
| 2018-10-14 | v2.11.5 (CRAN) | 4 | 00 min, 36 sec | \Delta:-39.598) |
| 2018-09-17 | v2.11.3 | 1 | 01 min, 31 sec | |
| 2018-09-17 | v2.11.3 | 4 | 00 min, 30.6 sec | \Delta: -61.49) |
| 2017-10-16 | v2.7.18-9 | 1 | 01 min, 07.30 sec | |
| 2017-10-16 | v2.7.18-9 | 4 | 00 min, 22.63 sec | \Delta: -44.68) |
| 2017-10-16 | Clang OpenMP | 1 | 01 min, 08.38 sec | |
| 2017-10-16 | Clang OpenMP | 4 | 00 min, 24.89 sec | \Delta: -43.49) |
| 2017-09-07 | Clang OpenMP | 1 | 01 min, 12.90 sec | |
| 2017-09-07 | Clang OpenMP | 4 | 00 min, 32.20 sec | \Delta: -40.70 |
| 2017-09-07 | Clang notOpenMP | 1 | 01 min, 09.90 sec | |
| 2017-09-07 | TRAVIS | 1 | 01 min, 06.20 sec | |
| 2017-09-07 | TRAVIS | 4 | 00 min, 21.10 sec | \Delta: -45.00
|
Value
None
References
See Also
Other Test:
umx_check(),
umx_check_OS(),
umx_check_model(),
umx_check_names(),
umx_has_CIs(),
umx_has_been_run(),
umx_has_means(),
umx_has_square_brackets(),
umx_is_MxData(),
umx_is_MxMatrix(),
umx_is_MxModel(),
umx_is_RAM(),
umx_is_cov()
Examples
## Not run:
# In 2016 1core took 1 minute
umx_check_parallel()
## End(Not run)
umx_cont_2_quantiles
Description
Recode a continuous variable into n-quantiles (default = deciles (10 levels)).
It returns an OpenMx::mxFactor(), with the levels labeled with the max value
in each quantile (i.e., open on the left-side). quantiles are labeled "quantile1"
"quantile2" etc.
Usage
umx_cont_2_quantiles(
x,
nlevels = NULL,
type = c("mxFactor", "ordered", "unordered"),
verbose = FALSE,
returnCutpoints = FALSE
)
Arguments
x |
a variable to recode as ordinal (email maintainer("umx") if you'd like this upgraded to handle df input) |
nlevels |
How many bins or levels (at most) to use (i.e., 10 = deciles) |
type |
what to return (Default is "mxFactor") options: "ordered" and "unordered") |
verbose |
report the min, max, and decile cuts used (default = FALSE) |
returnCutpoints |
just return the cutpoints, for use directly |
Details
Note: Redundant quantiles are merged. i.e., if the same score identifies all deciles up to the fourth, then these will be merged into one bin, labeled "quantile4".
Value
recoded variable as an
OpenMx::mxFactor()
References
See Also
Other Data Functions:
noNAs(),
prolific_anonymize(),
prolific_check_ID(),
prolific_read_demog(),
umx,
umxFactor(),
umxHetCor(),
umx_as_numeric(),
umx_lower2full(),
umx_make_MR_data(),
umx_make_TwinData(),
umx_make_fake_data(),
umx_make_raw_from_cov(),
umx_merge_randomized_columns(),
umx_polychoric(),
umx_polypairwise(),
umx_polytriowise(),
umx_read_lower(),
umx_rename(),
umx_reorder(),
umx_score_scale(),
umx_select_valid(),
umx_stack(),
umx_strings2numeric()
Examples
x = umx_cont_2_quantiles(rnorm(1000), nlevels = 10, verbose = TRUE)
x = data.frame(x)
str(x); levels(x)
table(x)
## Not run:
ggplot2::qplot(x$x)
y = mxDataWLS(x, type = "WLS")
## End(Not run)
# ===========================
# = Use with twin variables =
# ===========================
data(twinData)
x = twinData
cuts = umx_cont_2_quantiles(rbind(x$wt1, x$wt2) , nlevels = 10, returnCutpoints = TRUE)
x$wt1 = umx_cont_2_quantiles(x$wt1, nlevels = cuts) # use same for both...
x$wt2 = umx_cont_2_quantiles(x$wt2, nlevels = cuts) # use same for both...
str(x[, c("wt1", "wt2")])
# More examples
x = umx_cont_2_quantiles(mtcars[, "mpg"], nlevels = 5) # quintiles
x = umx2ord(mtcars[, "mpg"], nlevels = 5) # using shorter alias
x = umx_cont_2_quantiles(mtcars[, "cyl"], nlevels = 10) # more levels than integers exist
x = umx_cont_2_quantiles(rbinom(10000, 1, .5), nlevels = 2)
Report correlations and their p-values
Description
For reporting correlations and their p-values in a compact table. Handles rounding, and skipping non-numeric columns.
Usage
umx_cor(
X,
df = nrow(X) - 2,
use = c("pairwise.complete.obs", "complete.obs", "everything", "all.obs",
"na.or.complete"),
digits = 2,
type = c("r and p-value", "smart")
)
Arguments
X |
a matrix or dataframe |
df |
the degrees of freedom for the test |
use |
how to handle missing data (defaults to pairwise complete) |
digits |
rounding of answers |
type |
Unused argument for future directions |
Details
To compute heterochoric correlations, see umxHetCor().
note: The Hmisc package has a more robust function called rcorr.
Value
Matrix of correlations and p-values
References
See Also
umxHetCor
Other Miscellaneous Stats Functions:
FishersMethod(),
SE_from_p(),
geometric_mean(),
harmonic_mean(),
oddsratio(),
reliability(),
umx,
umxCov2cor(),
umxHetCor(),
umxParan(),
umxWeightedAIC(),
umx_apply(),
umx_means(),
umx_r_test(),
umx_round(),
umx_scale(),
umx_var()
Examples
tmp = myFADataRaw[1:8,1:8]
umx_cor(tmp)
tmp$x1 = letters[1:8] # make one column non-numeric
umx_cor(tmp)
Explode a string (Like the php function explode)
Description
Takes a string and returns an array of delimited strings (by default, each single character)
Usage
umx_explode(delimiter = character(), string)
Arguments
delimiter |
what to break the string on. Default is empty string "" |
string |
an character string, e.g. "dog" |
Value
a vector of strings, e.g. c("d", "o", "g")
References
See Also
Other String Functions:
umx,
umx_explode_twin_names(),
umx_grep(),
umx_names(),
umx_paste_names(),
umx_rot(),
umx_str_chars(),
umx_str_from_object(),
umx_trim()
Examples
umx_explode("", "dog") # "d" "o" "g"
umx_explode(" ", "cats and dogs") # [1] "cats" "and" "dogs"
Break twin variable names (BMI_T1, BMI_T2) into base variable names (BMI, "_T", 1:2)
Description
Break names like Dep_T1 into a list of base names, a separator, and a vector of twin indexes. e.g.: c("Dep_T1", "Dep_T2", "Anx_T1", "Anx_T2") will become:
list(baseNames = c("Dep", "Anx"), sep = "_T", twinIndexes = c(1,2))
Usage
umx_explode_twin_names(df, sep = "_T")
Arguments
df |
vector of names or data.frame containing the data |
sep |
text constant separating name from numeric 1:2 twin index. |
Value
- list(baseNames, sep, twinIndexes)
See Also
[umx_paste_names()]
Other String Functions:
umx,
umx_explode(),
umx_grep(),
umx_names(),
umx_paste_names(),
umx_rot(),
umx_str_chars(),
umx_str_from_object(),
umx_trim()
Examples
## Not run:
require(umx)
data("twinData")
umx_explode_twin_names(twinData, sep = "")
umx_explode_twin_names(twinData, sep = NULL)
# Ignore this: just a single-character/single variable test case
x = round(10 * rnorm(1000, mean = -.2))
y = round(5 * rnorm(1000))
x[x < 0] = 0; y[y < 0] = 0
umx_explode_twin_names(data.frame(x_T1 = x, x_T2 = y), sep = "_T")
umx_explode_twin_names(data.frame(x_T11 = x, x_T22 = y), sep = "_T")
umx_explode_twin_names(c("x_T11", "x_T22"), sep = "_T")
## End(Not run)
Read in files from pseudocons.
Description
Read in PRS scored files from pseudocons.
Read the file
Break it into pseudo and real rows
Clean-up by deleting the pseudo suffix
Rename NT vars with a suffix
Merge files on ID and return
| ID | FID | BMIS1 | BMIS2 | BMIS3 | BMIS4 | ... | |
| 1 | 1234501 | 12345 | -0.032 | -0.77 | -0.40 | -3.87 | ... |
| 2 | 1234501-pseudo-1 | 12345 | 0.117 | -0.66 | -0.33 | -4.08 | ... |
Usage
umx_file_load_pseudo(fn, bp, suffix = "_NT", chosenp = "S5")
Arguments
fn |
The filename |
bp |
The path to the folder containing the file |
suffix |
to add to the NT columns (Default = "_NT") |
chosenp |
The suffix (pvalue) we desire to use (Default = "S5") |
Value
dataframe of real and pseudo PRS columns
See Also
Other File Functions:
dl_from_dropbox(),
umx,
umx_make_sql_from_excel(),
umx_move_file(),
umx_open(),
umx_rename_file(),
umx_write_to_clipboard()
Examples
## Not run:
basepath = "~/Dropbox/2016 (1). project EA/2018/EA3/"
tmp = umx_file_load_pseudo("PRS_EA3_R9_autosomes_HRC1.1_pseudo.txt", bp = bp)
str(tmp)
head(tmp[, c("BMIS4", "BMIS4_NT")]
## End(Not run)
umx_find_object
Description
Find objects of a given class, whose name matches a search string. The string (pattern) is grep-enabled, so you can match wild-cards
Usage
umx_find_object(pattern = ".*", requiredClass = "MxModel")
Arguments
pattern |
the pattern that matching objects must contain |
requiredClass |
the class of object that will be matched |
Value
- a list of objects matching the class and name
References
-
See Also
Other Miscellaneous Utility Functions:
install.OpenMx(),
libs(),
qm(),
umx,
umxLav2RAM(),
umxModelNames(),
umxRAM2Lav(),
umxVersion(),
umx_array_shift(),
umx_lower.tri(),
umx_msg(),
umx_open_CRAN_page(),
umx_pad(),
umx_print(),
umx_wide2long(),
umx_wide4lmer()
Examples
## Not run:
umx_find_object("^m[0-9]") # mxModels beginning "m1" etc.
umx_find_object("", "MxModel") # all MxModels
## End(Not run)
Summarizing functions used in umx_aggregate and for umxAPA
Description
Miscellaneous functions that are handy in summary and other tasks where you might otherwise have to craft a custom nameless functions. e.g.
Usage
umx_fun_mean_sd(x, na.rm = TRUE, digits = 2)
Arguments
x |
input |
na.rm |
How to handle missing (default = TRUE = remove) |
digits |
Rounding (default = 2) |
Details
-
umx_fun_mean_sd(): returns "mean (SD)" of x.
note: if a factor is given, then the mode is returned instead of the mean and SD.
Value
function result
References
See Also
Other xmu internal not for end user:
umxModel(),
umxRenameMatrix(),
umx_APA_pval(),
umx_get_bracket_addresses(),
umx_make(),
umx_standardize(),
umx_string_to_algebra(),
xmuHasSquareBrackets(),
xmuLabel_MATRIX_Model(),
xmuLabel_Matrix(),
xmuLabel_RAM_Model(),
xmuMI(),
xmuMakeDeviationThresholdsMatrices(),
xmuMakeOneHeadedPathsFromPathList(),
xmuMakeTwoHeadedPathsFromPathList(),
xmuMaxLevels(),
xmuMinLevels(),
xmuPropagateLabels(),
xmuRAM2Ordinal(),
xmuTwinSuper_Continuous(),
xmuTwinSuper_NoBinary(),
xmuTwinUpgradeMeansToCovariateModel(),
xmu_CI_merge(),
xmu_CI_stash(),
xmu_DF_to_mxData_TypeCov(),
xmu_PadAndPruneForDefVars(),
xmu_bracket_address2rclabel(),
xmu_cell_is_on(),
xmu_check_levels_identical(),
xmu_check_needs_means(),
xmu_check_variance(),
xmu_clean_label(),
xmu_data_missing(),
xmu_data_swap_a_block(),
xmu_describe_data_WLS(),
xmu_dot_make_paths(),
xmu_dot_make_residuals(),
xmu_dot_maker(),
xmu_dot_move_ranks(),
xmu_dot_rank_str(),
xmu_extract_column(),
xmu_get_CI(),
xmu_lavaan_process_group(),
xmu_make_TwinSuperModel(),
xmu_make_bin_cont_pair_data(),
xmu_make_mxData(),
xmu_match.arg(),
xmu_name_from_lavaan_str(),
xmu_path2twin(),
xmu_path_regex(),
xmu_print_algebras(),
xmu_rclabel_2_bracket_address(),
xmu_relevel_factors(),
xmu_safe_run_summary(),
xmu_set_sep_from_suffix(),
xmu_show_fit_or_comparison(),
xmu_simplex_corner(),
xmu_standardize_ACE(),
xmu_standardize_ACEcov(),
xmu_standardize_ACEv(),
xmu_standardize_CP(),
xmu_standardize_IP(),
xmu_standardize_RAM(),
xmu_standardize_SexLim(),
xmu_standardize_Simplex(),
xmu_start_value_list(),
xmu_starts(),
xmu_summary_RAM_group_parameters(),
xmu_twin_add_WeightMatrices(),
xmu_twin_check(),
xmu_twin_get_var_names(),
xmu_twin_make_def_means_mats_and_alg(),
xmu_twin_upgrade_selDvs2SelVars(),
xmu_update_covar()
Examples
umxAPA(mtcars[,1:3]) # uses umx_fun_mean_sd
Get the alpha text
Description
Get umx_alpha_text. Optionally SET it blank
Usage
umx_get_alphas(umx_alpha_text = NULL, silent = FALSE)
Arguments
umx_alpha_text |
(if empty, returns the current value) |
silent |
If TRUE, no message will be printed. |
Value
- Current umx_alpha_text
See Also
Other Get and set:
umx,
umx_get_checkpoint(),
umx_get_options(),
umx_set_auto_plot(),
umx_set_auto_run(),
umx_set_checkpoint(),
umx_set_condensed_slots(),
umx_set_cores(),
umx_set_data_variance_check(),
umx_set_dollar_symbol(),
umx_set_optimization_options(),
umx_set_optimizer(),
umx_set_plot_file_suffix(),
umx_set_plot_format(),
umx_set_separator(),
umx_set_silent(),
umx_set_table_format()
Examples
library(umx)
umx_get_alphas() # show current state
umx_get_alphas("") # blank it
Get bracket-style addresses from an mxMatrix
Description
Sometimes you want these :-) This also allows you to change the matrix name: useful for using mxMatrix addresses in an mxAlgebra.
Usage
umx_get_bracket_addresses(mat, free = NA, newName = NA)
Arguments
mat |
an mxMatrix to get address labels from |
free |
how to filter on free (default = NA: take all) |
newName |
= NA |
Value
a list of bracket style labels
References
See Also
Other xmu internal not for end user:
umxModel(),
umxRenameMatrix(),
umx_APA_pval(),
umx_fun_mean_sd(),
umx_make(),
umx_standardize(),
umx_string_to_algebra(),
xmuHasSquareBrackets(),
xmuLabel_MATRIX_Model(),
xmuLabel_Matrix(),
xmuLabel_RAM_Model(),
xmuMI(),
xmuMakeDeviationThresholdsMatrices(),
xmuMakeOneHeadedPathsFromPathList(),
xmuMakeTwoHeadedPathsFromPathList(),
xmuMaxLevels(),
xmuMinLevels(),
xmuPropagateLabels(),
xmuRAM2Ordinal(),
xmuTwinSuper_Continuous(),
xmuTwinSuper_NoBinary(),
xmuTwinUpgradeMeansToCovariateModel(),
xmu_CI_merge(),
xmu_CI_stash(),
xmu_DF_to_mxData_TypeCov(),
xmu_PadAndPruneForDefVars(),
xmu_bracket_address2rclabel(),
xmu_cell_is_on(),
xmu_check_levels_identical(),
xmu_check_needs_means(),
xmu_check_variance(),
xmu_clean_label(),
xmu_data_missing(),
xmu_data_swap_a_block(),
xmu_describe_data_WLS(),
xmu_dot_make_paths(),
xmu_dot_make_residuals(),
xmu_dot_maker(),
xmu_dot_move_ranks(),
xmu_dot_rank_str(),
xmu_extract_column(),
xmu_get_CI(),
xmu_lavaan_process_group(),
xmu_make_TwinSuperModel(),
xmu_make_bin_cont_pair_data(),
xmu_make_mxData(),
xmu_match.arg(),
xmu_name_from_lavaan_str(),
xmu_path2twin(),
xmu_path_regex(),
xmu_print_algebras(),
xmu_rclabel_2_bracket_address(),
xmu_relevel_factors(),
xmu_safe_run_summary(),
xmu_set_sep_from_suffix(),
xmu_show_fit_or_comparison(),
xmu_simplex_corner(),
xmu_standardize_ACE(),
xmu_standardize_ACEcov(),
xmu_standardize_ACEv(),
xmu_standardize_CP(),
xmu_standardize_IP(),
xmu_standardize_RAM(),
xmu_standardize_SexLim(),
xmu_standardize_Simplex(),
xmu_start_value_list(),
xmu_starts(),
xmu_summary_RAM_group_parameters(),
xmu_twin_add_WeightMatrices(),
xmu_twin_check(),
xmu_twin_get_var_names(),
xmu_twin_make_def_means_mats_and_alg(),
xmu_twin_upgrade_selDvs2SelVars(),
xmu_update_covar()
Examples
## Not run:
require(umx)
data(demoOneFactor)
manifests = names(demoOneFactor)
m1 = umxRAM("get_add_ex", data = demoOneFactor, type = "cov",
umxPath("G", to = manifests),
umxPath(var = manifests),
umxPath(var = "G", fixedAt = 1)
)#'
umx_get_bracket_addresses(m1$matrices$A, free= TRUE)
## End(Not run)
Get or set checkpointing for a model
Description
Get the checkpoint status for a model or global options
Usage
umx_get_checkpoint(model = NULL)
Arguments
model |
an optional model to get options from |
Value
None
References
See Also
Other Get and set:
umx,
umx_get_alphas(),
umx_get_options(),
umx_set_auto_plot(),
umx_set_auto_run(),
umx_set_checkpoint(),
umx_set_condensed_slots(),
umx_set_cores(),
umx_set_data_variance_check(),
umx_set_dollar_symbol(),
umx_set_optimization_options(),
umx_set_optimizer(),
umx_set_plot_file_suffix(),
umx_set_plot_format(),
umx_set_separator(),
umx_set_silent(),
umx_set_table_format()
Examples
## Not run:
umx_get_checkpoint() # current global default
require(umx)
data(demoOneFactor)
manifests = names(demoOneFactor)
m1 = umxRAM("One Factor", data = demoOneFactor, type = "cov",
umxPath("G", to = manifests),
umxPath(var = manifests),
umxPath(var = "G", fixedAt = 1)
)
umx_get_checkpoint(model = m1)
## End(Not run)
Display umx options
Description
Show the umx options. Useful for beginners to discover, or people like me to remember :-)
Usage
umx_get_options()
Value
- message
See Also
Other Get and set:
umx,
umx_get_alphas(),
umx_get_checkpoint(),
umx_set_auto_plot(),
umx_set_auto_run(),
umx_set_checkpoint(),
umx_set_condensed_slots(),
umx_set_cores(),
umx_set_data_variance_check(),
umx_set_dollar_symbol(),
umx_set_optimization_options(),
umx_set_optimizer(),
umx_set_plot_file_suffix(),
umx_set_plot_format(),
umx_set_separator(),
umx_set_silent(),
umx_set_table_format()
Examples
umx_get_options()
Search for text
Description
Search names if given a data.frame, or strings if given a vector of strings.
Usage
umx_grep(
df,
grepString,
output = c("both", "label", "name"),
ignore.case = TRUE,
useNames = FALSE
)
Arguments
df |
The |
grepString |
the search string. |
output |
the column name, the label, or both (default). |
ignore.case |
whether to be case sensitive or not (default TRUE = ignore case). |
useNames |
whether to search the names as well as the labels (for SPSS files with label metadata). |
Details
The namez function is more flexible. A handy feature of umx_grep is that it can
search the labels of data imported from SPSS.
nb: To simply grep for a pattern in a string use R's built-in grep() functions, e.g.:
grepl("^NA\\[0-9]", "NA.3")
Value
list of matched column names and/or labels.
References
See Also
Other String Functions:
umx,
umx_explode(),
umx_explode_twin_names(),
umx_names(),
umx_paste_names(),
umx_rot(),
umx_str_chars(),
umx_str_from_object(),
umx_trim()
Examples
umx_grep(mtcars, "hp", output="both", ignore.case= TRUE)
umx_grep(c("hp", "ph"), "hp")
umx_grep(mtcars, "^h.*", output="both", ignore.case= TRUE)
## Not run:
umx_grep(spss_df, "labeltext", output = "label")
umx_grep(spss_df, "labeltext", output = "name")
## End(Not run)
umx_has_CIs
Description
A utility function to return a binary answer to the question "does this OpenMx::mxModel() have confidence intervals?"
Usage
umx_has_CIs(model, check = c("both", "intervals", "output"))
Arguments
model |
The |
check |
What to check for: "intervals" requested, "output" present, or "both". Defaults to "both" |
Value
TRUE or FALSE
References
See Also
Other Test:
umx_check(),
umx_check_OS(),
umx_check_model(),
umx_check_names(),
umx_check_parallel(),
umx_has_been_run(),
umx_has_means(),
umx_has_square_brackets(),
umx_is_MxData(),
umx_is_MxMatrix(),
umx_is_MxModel(),
umx_is_RAM(),
umx_is_cov()
Examples
## Not run:
require(umx)
data(demoOneFactor)
manifests = names(demoOneFactor)
m1 = umxRAM("_has_CI_ex", data = demoOneFactor, type = "cov",
umxPath("g", to = manifests),
umxPath(var = manifests),
umxPath(var = "g", fixedAt = 1.0)
)
umx_has_CIs(m1) # FALSE: no CIs and no output
m1 = mxModel(m1, mxCI("g_to_x1"))
umx_has_CIs(m1, check = "intervals") # TRUE intervals set
umx_has_CIs(m1, check = "output") # FALSE not yet run
m1 = mxRun(m1)
umx_has_CIs(m1, check = "output") # Still FALSE: Set and Run
m1 = mxRun(m1, intervals = TRUE)
umx_has_CIs(m1, check = "output") # TRUE: Set, and Run with intervals = T
umxSummary(m1)
## End(Not run)
umx_has_been_run
Description
check if an mxModel has been run or not
Usage
umx_has_been_run(model, stop = FALSE)
Arguments
model |
The |
stop |
Whether to stop if the model has not been run (defaults to FALSE) |
Value
boolean
References
See Also
Other Test:
umx_check(),
umx_check_OS(),
umx_check_model(),
umx_check_names(),
umx_check_parallel(),
umx_has_CIs(),
umx_has_means(),
umx_has_square_brackets(),
umx_is_MxData(),
umx_is_MxMatrix(),
umx_is_MxModel(),
umx_is_RAM(),
umx_is_cov()
Examples
## Not run:
require(umx)
data(demoOneFactor)
manifests = names(demoOneFactor)
m1 = umxRAM("has_been_run_example", data = demoOneFactor, type = "cov",
umxPath("G", to = manifests),
umxPath(var = manifests),
umxPath(var = "G", fixedAt = 1)
)
umx_has_been_run(m1)
## End(Not run)
umx_has_means
Description
A utility function to return a binary answer to the question "does this OpenMx::mxModel() have a means model?"
Usage
umx_has_means(model)
Arguments
model |
The |
Value
TRUE or FALSE
References
See Also
Other Test:
umx_check(),
umx_check_OS(),
umx_check_model(),
umx_check_names(),
umx_check_parallel(),
umx_has_CIs(),
umx_has_been_run(),
umx_has_square_brackets(),
umx_is_MxData(),
umx_is_MxMatrix(),
umx_is_MxModel(),
umx_is_RAM(),
umx_is_cov()
Examples
## Not run:
require(umx)
data(demoOneFactor)
manifests = names(demoOneFactor)
m1 = umxRAM("has_means_ex", data = demoOneFactor, type = "cov",
umxPath("G", to = manifests),
umxPath(var = manifests),
umxPath(var = "G", fixedAt = 1)
)
umx_has_means(m1)
m1 = mxModel(m1,
mxPath(from = "one", to = manifests),
mxData(demoOneFactor[1:100,], type = "raw")
)
umx_has_means(m1)
m1 = mxRun(m1)
umx_has_means(m1)
## End(Not run)
Check if a label contains square brackets
Description
Helper function to check if a label has square brackets, e.g. "A[1,1]"
Usage
umx_has_square_brackets(input)
Arguments
input |
The label to check for square brackets (string input) |
Value
boolean
References
See Also
Other Test:
umx_check(),
umx_check_OS(),
umx_check_model(),
umx_check_names(),
umx_check_parallel(),
umx_has_CIs(),
umx_has_been_run(),
umx_has_means(),
umx_is_MxData(),
umx_is_MxMatrix(),
umx_is_MxModel(),
umx_is_RAM(),
umx_is_cov()
Examples
umx_has_square_brackets("[hello]")
umx_has_square_brackets("goodbye")
Check if an object is an mxData object
Description
Is the input an MxData?
Usage
umx_is_MxData(x)
Arguments
x |
An object to test for being an MxData object |
Value
- Boolean
References
- <https://github.com/tbates/umx>
See Also
Other Test:
umx_check(),
umx_check_OS(),
umx_check_model(),
umx_check_names(),
umx_check_parallel(),
umx_has_CIs(),
umx_has_been_run(),
umx_has_means(),
umx_has_square_brackets(),
umx_is_MxMatrix(),
umx_is_MxModel(),
umx_is_RAM(),
umx_is_cov()
Examples
umx_is_MxData(mtcars)
umx_is_MxData(mxData(mtcars, type= "raw"))
umx_is_MxData(mxData(cov(mtcars), type= "cov", numObs = 73))
umx_is_MxData(mxDataWLS(na.omit(twinData[, c("wt1", "wt2")]), type= "WLS"))
umx_is_MxMatrix
Description
Utility function returning a binary answer to the question "Is this an OpenMx mxMatrix?"
Usage
umx_is_MxMatrix(obj)
Arguments
obj |
an object to be tested to see if it is an OpenMx |
Value
Boolean
References
See Also
Other Test:
umx_check(),
umx_check_OS(),
umx_check_model(),
umx_check_names(),
umx_check_parallel(),
umx_has_CIs(),
umx_has_been_run(),
umx_has_means(),
umx_has_square_brackets(),
umx_is_MxData(),
umx_is_MxModel(),
umx_is_RAM(),
umx_is_cov()
Examples
x = mxMatrix(name = "eg", type = "Full", nrow = 3, ncol = 3, values = .3)
if(umx_is_MxMatrix(x)){
message("nice OpenMx matrix!")
}
umx_is_MxModel
Description
Utility function returning a binary answer to the question "Is this an OpenMx model?"
Usage
umx_is_MxModel(obj, listOK = FALSE)
Arguments
obj |
An object to be tested to see if it is an OpenMx |
listOK |
Is it acceptable to pass in a list of models? (Default = FALSE) |
Value
Boolean
References
See Also
Other Test:
umx_check(),
umx_check_OS(),
umx_check_model(),
umx_check_names(),
umx_check_parallel(),
umx_has_CIs(),
umx_has_been_run(),
umx_has_means(),
umx_has_square_brackets(),
umx_is_MxData(),
umx_is_MxMatrix(),
umx_is_RAM(),
umx_is_cov()
Examples
m1 = mxModel("test")
if(umx_is_MxModel(m1)){
message("nice OpenMx model!")
}
if(umx_is_MxModel(list(m1,m1), listOK = TRUE)){
message("nice list of OpenMx models!")
}
umx_is_RAM
Description
Utility function returning a binary answer to the question "Is this a RAM model?"
Usage
umx_is_RAM(obj)
Arguments
obj |
an object to be tested to see if it is an OpenMx RAM |
Value
Boolean
References
See Also
Other Test:
umx_check(),
umx_check_OS(),
umx_check_model(),
umx_check_names(),
umx_check_parallel(),
umx_has_CIs(),
umx_has_been_run(),
umx_has_means(),
umx_has_square_brackets(),
umx_is_MxData(),
umx_is_MxMatrix(),
umx_is_MxModel(),
umx_is_cov()
Examples
## Not run:
require(umx)
data(demoOneFactor)
manifests = names(demoOneFactor)
m1 = umxRAM("is_RAM_ex", data = demoOneFactor, type = "cov",
umxPath("G", to = manifests),
umxPath(var = manifests),
umxPath(var = "G", fixedAt = 1)
)
if(umx_is_RAM(m1)){
message("nice RAM model!")
}
if(!umx_is_RAM(m1)){
message("model needs to be a RAM model")
}
## End(Not run)
Check if variables in a dataframe are in a list of classes.
Description
Checks the class of each column in a dataframe, seeing if they are %in% a list of classes. Returns a vector of TRUE and FALSE, or, if all ==TRUE, a single binary (the default).
Usage
umx_is_class(df, classes = NULL, all = TRUE)
Arguments
df |
A dataframe to check |
classes |
vector of valid classes, e.g. numeric |
all |
Whether to return a single all() Boolean or each column individually. |
Value
Boolean or Boolean vector
References
See Also
Other Check or test:
umx,
umx_check_names(),
umx_is_endogenous(),
umx_is_exogenous(),
umx_is_numeric(),
umx_is_ordered()
Examples
umx_is_class(mtcars) # report class list
# Are the variables in mtcars type character?
umx_is_class(mtcars, "character") # FALSE
# They're all numeric data
umx_is_class(mtcars, "numeric") # TRUE
# Show the test-result for each variable in mtcars
umx_is_class(mtcars, "numeric") # TRUE
# Are they _either_ a char OR a num?
umx_is_class(mtcars, c("character", "numeric"))
# Is zygosity a factor (note we don't drop = F to keep as dataframe)
umx_is_class(twinData[,"zygosity", drop=FALSE], classes = "factor")
umx_is_class(mtcars$mpg) # report class of this column (same as class(mpg))
umx_is_cov
Description
test if a data frame, matrix or mxData is type cov or cor, or is likely to be raw...
Usage
umx_is_cov(data = NULL, boolean = FALSE, verbose = FALSE)
Arguments
data |
dataframe to test |
boolean |
whether to return the type ("cov") or a boolean (default = string) |
verbose |
How much feedback to give (default = FALSE) |
Value
- "raw", "cor", or "cov", (or if boolean, then T | F)
References
- <https://github.com/tbates/umx>
See Also
Other Test:
umx_check(),
umx_check_OS(),
umx_check_model(),
umx_check_names(),
umx_check_parallel(),
umx_has_CIs(),
umx_has_been_run(),
umx_has_means(),
umx_has_square_brackets(),
umx_is_MxData(),
umx_is_MxMatrix(),
umx_is_MxModel(),
umx_is_RAM()
Examples
df = cov(mtcars)
umx_is_cov(df)
df = cor(mtcars)
umx_is_cov(df)
umx_is_cov(mxData(df[1:3,1:3], type= "cov", numObs = 200))
umx_is_cov(df, boolean = TRUE)
umx_is_cov(mtcars, boolean = TRUE)
List endogenous variables in a model
Description
Return a list of all the endogenous variables (variables with at least one incoming single-arrow path) in a model.
Usage
umx_is_endogenous(model, manifests_only = TRUE)
Arguments
model |
an |
manifests_only |
Whether to check only manifests (default = TRUE) |
Value
list of endogenous variables
References
See Also
Other Check or test:
umx,
umx_check_names(),
umx_is_class(),
umx_is_exogenous(),
umx_is_numeric(),
umx_is_ordered()
Examples
## Not run:
require(umx)
data(demoOneFactor)
m1 = umxRAM("umx_is_endogenous", data = demoOneFactor, type = "cov",
umxPath("g", to = names(demoOneFactor)),
umxPath(var = "g", fixedAt = 1),
umxPath(var = names(demoOneFactor))
)
umx_is_endogenous(m1, manifests_only = TRUE)
umx_is_endogenous(m1, manifests_only = FALSE)
## End(Not run)
umx_is_exogenous
Description
Return a list of all the exogenous variables (variables with no incoming single-arrow path) in a model.
Usage
umx_is_exogenous(model, manifests_only = TRUE)
Arguments
model |
an |
manifests_only |
Whether to check only manifests (default = TRUE) |
Value
list of exogenous variables
References
See Also
Other Check or test:
umx,
umx_check_names(),
umx_is_class(),
umx_is_endogenous(),
umx_is_numeric(),
umx_is_ordered()
Examples
## Not run:
require(umx)
data(demoOneFactor)
m1 = umxRAM("One Factor", data = demoOneFactor, type = "cov",
umxPath("g", to = names(demoOneFactor)),
umxPath(var = "g", fixedAt = 1),
umxPath(var = names(demoOneFactor))
)
umx_is_exogenous(m1, manifests_only = TRUE)
umx_is_exogenous(m1, manifests_only = FALSE)
## End(Not run)
Check if variables in a dataframe are numeric
Description
Checks across columns of a dataframe, return a vector of TRUE and FALSE, or, if all ==TRUE, a single binary (the default).
Usage
umx_is_numeric(df, all = TRUE)
Arguments
df |
A dataframe to check |
all |
Whether to return a single all() Boolean or each column individually. |
Value
Boolean or Boolean vector
References
See Also
Other Check or test:
umx,
umx_check_names(),
umx_is_class(),
umx_is_endogenous(),
umx_is_exogenous(),
umx_is_ordered()
Examples
umx_is_numeric(mtcars) # TRUE
umx_is_numeric(mtcars, all=FALSE) # vector of TRUE
Test if one or more variables in a dataframe are ordered
Description
Return the names of any ordinal variables in a dataframe
Usage
umx_is_ordered(
df,
names = FALSE,
strict = TRUE,
binary.only = FALSE,
ordinal.only = FALSE,
continuous.only = FALSE,
summaryObject = FALSE
)
Arguments
df |
A |
names |
whether to return the names of ordinal variables, or a binary (T,F) list (default = FALSE) |
strict |
whether to stop when unordered factors are found (default = TRUE) |
binary.only |
only count binary factors (2-levels) (default = FALSE) |
ordinal.only |
only count ordinal factors (3 or more levels) (default = FALSE) |
continuous.only |
use with names = TRUE to get the names of the continuous variables |
summaryObject |
whether to return a nice summary object. Overrides other settings (FALSE) |
Value
vector of variable names or Booleans
References
See Also
Other Check or test:
umx,
umx_check_names(),
umx_is_class(),
umx_is_endogenous(),
umx_is_exogenous(),
umx_is_numeric()
Examples
x = data.frame(ordered(rbinom(100,1,.5))); names(x) = c("x")
umx_is_ordered(x, summaryObject= TRUE) # all ordered factors including binary
tmp = mtcars
tmp$cyl = ordered(mtcars$cyl) # ordered factor
tmp$vs = ordered(mtcars$vs) # binary factor
umx_is_ordered(tmp) # true/false
umx_is_ordered(tmp, strict=FALSE)
umx_is_ordered(tmp, names = TRUE)
umx_is_ordered(tmp, names = TRUE, binary.only = TRUE)
umx_is_ordered(tmp, names = TRUE, ordinal.only = TRUE)
umx_is_ordered(tmp, names = TRUE, continuous.only = TRUE)
umx_is_ordered(tmp, continuous.only = TRUE)
x = umx_is_ordered(tmp, summaryObject= TRUE)
isContinuous = !umx_is_ordered(tmp)
## Not run:
# nb: By default, unordered factors cause a message...
tmp$gear = factor(mtcars$gear) # Unordered factor
umx_is_ordered(tmp)
umx_is_ordered(tmp, strict = FALSE) # compare: no warning
# also: not designed to work on single variables...
umx_is_ordered(tmp$cyl)
# Do this instead...
umx_is_ordered(tmp[, "cyl", drop= FALSE])
## End(Not run)
Log-transform wide twin data with a positive shift
Description
Log-transform wide twin data with a positive shift
Usage
umx_log_wide_twin_data(varsToTransform, sep, data, twins = 1:2)
Arguments
varsToTransform |
The base names of the variables (e.g. "DEP") |
sep |
The separator (e.g. "_T") |
data |
A wide dataframe |
twins |
Suffixes for twins (default 1:2) |
Value
dataframe with transformed variables
Take a long twin-data file and make it wide (one family per row)
Description
umx_long2wide merges on famID. Family members are ordered by twinID.
twinID is equivalent to birth order. Up to 10 twinIDs are allowed (family order).
Note: Not all data sets have an order column, but it is essential to rank subjects correctly.
You might start off with a TWID which is a concatenation of a familyID and a 2 digit twinID
Generating famID and twinID as used by this function
You can capture the last 2 digits with the mod function: twinID = df$TWID %% 100
You can drop the last 2 digits with integer div: famID = df$TWID %/% 100
Note: The functions assumes that if zygosity or any passalong variables are NA in the first family member, they are NA everywhere. i.e., it does not hunt for values that are present elsewhere or try and self-heal missing data.
Usage
umx_long2wide(
data,
famID = NA,
twinID = NA,
zygosity = NA,
vars2keep = NA,
passalong = NA,
twinIDs2keep = NA
)
Arguments
data |
The original (long-format) data file |
famID |
The unique identifier for members of a family |
twinID |
The twinID. Typically 1, 2, 50 51, etc... |
zygosity |
Typically MZFF, DZFF MZMM, DZMM DZOS |
vars2keep |
= The variables you wish to analyse (these will be renamed with paste0("_T", twinID) |
passalong |
= Variables you wish to pass-through (keep, even though not twin vars) |
twinIDs2keep |
= If NA (the default) all twinIDs are kept, else only those listed here. Useful to drop sibs. |
Value
dataframe in wide format
References
See Also
Other Twin Data functions:
umx,
umx_make_TwinData(),
umx_make_twin_data_nice(),
umx_residualize(),
umx_scale_wide_twin_data(),
umx_wide2longTwinData(),
umx_yj_wide_twin_data()
Examples
## Not run:
# ==============================================
# = First make a long format file for the demo =
# ==============================================
data(twinData)
tmp = twinData[, -2]
tmp$twinID1 = 1; tmp$twinID2 = 2
long = umx_wide2long(data = tmp, sep = "")
str(long)
# 'data.frame': 7616 obs. of 11 variables:
# $ fam : int 1 2 3 4 5 6 7 8 9 10 ...
# $ zyg : int 1 1 1 1 1 1 1 1 1 1 ...
# $ part : int 2 2 2 2 2 2 2 2 2 2 ...
# $ cohort : chr "younger" "younger" "younger" "younger" ...
# $ zygosity: Factor w/ 5 levels "MZFF","MZMM",..: 1 1 1 1 1 1 1 1 1 1 ...
# $ wt : int 58 54 55 66 50 60 65 40 60 76 ...
# $ ht : num 1.7 1.63 1.65 1.57 1.61 ...
# $ htwt : num 20.1 20.3 20.2 26.8 19.3 ...
# $ bmi : num 21 21.1 21 23 20.7 ...
# $ age : int 21 24 21 21 19 26 23 29 24 28 ...
# $ twinID : num 1 1 1 1 1 1 1 1 1 1 ...
# OK. Now to demo long2wide...
# Keeping all columns
wide = umx_long2wide(data= long, famID= "fam", twinID= "twinID", zygosity= "zygosity")
namez(wide) # some vars, like part, should have been passed along instead of made into "part_T1"
# ======================================
# = Demo requesting specific vars2keep =
# ======================================
# Just keep bmi and wt
wide = umx_long2wide(data= long, famID= "fam", twinID= "twinID",
zygosity = "zygosity", vars2keep = c("bmi", "wt")
)
namez(wide)
# "fam" "twinID" "zygosity" "bmi_T1" "wt_T1" "bmi_T2" "wt_T2"
# ==================
# = Demo passalong =
# ==================
# Keep bmi and wt, and pass through 'cohort'
wide = umx_long2wide(data= long, famID= "fam", twinID= "twinID", zygosity= "zygosity",
vars2keep = c("bmi", "wt"), passalong = "cohort"
)
namez(wide)
## End(Not run)
Get values from lower triangle of a matrix
Description
umx_lower.tri is a wrapper for lower.tri() and a selection to return
values from a lower matrix in one step.
Usage
umx_lower.tri(x, diag = FALSE)
Arguments
x |
a |
diag |
whether to include the diagonal (default = FALSE). |
Value
values of cells of the lower triangle.
See Also
Other Miscellaneous Utility Functions:
install.OpenMx(),
libs(),
qm(),
umx,
umxLav2RAM(),
umxModelNames(),
umxRAM2Lav(),
umxVersion(),
umx_array_shift(),
umx_find_object(),
umx_msg(),
umx_open_CRAN_page(),
umx_pad(),
umx_print(),
umx_wide2long(),
umx_wide4lmer()
Examples
x = qm(1,2,3|4,5,6|7,8,9)
umx_lower.tri(x)
# 4,7,8
umx_lower.tri(x, diag=TRUE) # 1 4 7 5 8 9
Convert lower-only matrix data to full (or enforce symmetry on a full matrix)
Description
Takes a vector of the lower-triangle of cells in a matrix as you might read-in from a journal article), OR a matrix (for instance from a "lower" [OpenMx::mxMatrix()], and returns a full matrix, copying the lower triangle into the upper.
Usage
umx_lower2full(lower.data, diag = NULL, byrow = TRUE, dimnames = NULL)
Arguments
lower.data |
An [OpenMx::mxMatrix()] |
diag |
A boolean specifying whether the lower.data includes the diagonal |
byrow |
Whether the matrix is to be filled by row or by column (default = TRUE) |
dimnames |
Optional dimnames for the matrix (defaults to NULL) |
Details
*note*: Can also take lower data presented in the form of a data.frame. Note also, if presented with a full matrix, the function will return a matrix with symmetry enforced. Can be handy when you have a "nearly-symmetrical" matrix (with differences in the tenth decimal place).
Value
- [OpenMx::mxMatrix()]
References
- <https://github.com/tbates/umx>
See Also
Other Data Functions:
noNAs(),
prolific_anonymize(),
prolific_check_ID(),
prolific_read_demog(),
umx,
umxFactor(),
umxHetCor(),
umx_as_numeric(),
umx_cont_2_quantiles(),
umx_make_MR_data(),
umx_make_TwinData(),
umx_make_fake_data(),
umx_make_raw_from_cov(),
umx_merge_randomized_columns(),
umx_polychoric(),
umx_polypairwise(),
umx_polytriowise(),
umx_read_lower(),
umx_rename(),
umx_reorder(),
umx_score_scale(),
umx_select_valid(),
umx_stack(),
umx_strings2numeric()
Examples
# 1. Test with a vector in byrow = TRUE order)
tmp = c(
1.0000,
0.6247, 1.0000,
0.3269, 0.3669, 1.0000,
0.4216, 0.3275, 0.6404, 1.0000,
0.2137, 0.2742, 0.1124, 0.0839, 1.0000,
0.4105, 0.4043, 0.2903, 0.2598, 0.1839, 1.0000,
0.3240, 0.4047, 0.3054, 0.2786, 0.0489, 0.2220, 1.0000,
0.2930, 0.2407, 0.4105, 0.3607, 0.0186, 0.1861, 0.2707, 1.0000,
0.2995, 0.2863, 0.5191, 0.5007, 0.0782, 0.3355, 0.2302, 0.2950, 1.0000,
0.0760, 0.0702, 0.2784, 0.1988, 0.1147, 0.1021, 0.0931, -0.0438, 0.2087, 1.000
)
x = umx_lower2full(tmp, diag = TRUE)
# check
isSymmetric(x)
# 2. Test with matrix input
tmpn = c("ROccAsp", "REdAsp", "FOccAsp", "FEdAsp", "RParAsp",
"RIQ", "RSES", "FSES", "FIQ", "FParAsp")
tmp = matrix(nrow = 10, ncol = 10, byrow = TRUE, dimnames = list(tmpn,tmpn), data =
c(1.0000, 0.0000, 0.0000, 0.0000, 0.0000, 0.0000, 0.0000, 0.0000, 0.0000, 0,
0.6247, 1.0000, 0.0000, 0.0000, 0.0000, 0.0000, 0.0000, 0.0000, 0.0000, 0,
0.3269, 0.3669, 1.0000, 0.0000, 0.0000, 0.0000, 0.0000, 0.0000, 0.0000, 0,
0.4216, 0.3275, 0.6404, 1.0000, 0.0000, 0.0000, 0.0000, 0.0000, 0.0000, 0,
0.2137, 0.2742, 0.1124, 0.0839, 1.0000, 0.0000, 0.0000, 0.0000, 0.0000, 0,
0.4105, 0.4043, 0.2903, 0.2598, 0.1839, 1.0000, 0.0000, 0.0000, 0.0000, 0,
0.3240, 0.4047, 0.3054, 0.2786, 0.0489, 0.2220, 1.0000, 0.0000, 0.0000, 0,
0.2930, 0.2407, 0.4105, 0.3607, 0.0186, 0.1861, 0.2707, 1.0000, 0.0000, 0,
0.2995, 0.2863, 0.5191, 0.5007, 0.0782, 0.3355, 0.2302, 0.2950, 1.0000, 0,
0.0760, 0.0702, 0.2784, 0.1988, 0.1147, 0.1021, 0.0931, -0.0438, 0.2087, 1)
)
x = umx_lower2full(tmp, diag= TRUE)
isSymmetric(x)
# 3. Test with lower-vector, no diagonal.
tmp = c(
0.6247,
0.3269, 0.3669,
0.4216, 0.3275, 0.6404,
0.2137, 0.2742, 0.1124, 0.0839,
0.4105, 0.4043, 0.2903, 0.2598, 0.1839,
0.3240, 0.4047, 0.3054, 0.2786, 0.0489, 0.2220,
0.2930, 0.2407, 0.4105, 0.3607, 0.0186, 0.1861, 0.2707,
0.2995, 0.2863, 0.5191, 0.5007, 0.0782, 0.3355, 0.2302, 0.2950,
0.0760, 0.0702, 0.2784, 0.1988, 0.1147, 0.1021, 0.0931, -0.0438, 0.2087
)
umx_lower2full(tmp, diag = FALSE)
# An example with byrow = FALSE
ldiag = c(
1, -.17, -.22, -.19, -.12, .81, -.02, -.26, -.2, -.15,
1, .11, .2, .21, -.01, .7, .1, .7, .1, .17, .22,
1, .52, .68, -.12, .09, .49, .27, .46,
1, .5, -.06, .17, .26, .80, .31,
1, -.1, .19, .36, .23, .42,
1, .02, -19, -.06, -.06,
1, .1, .18, .27,
1, .51, .7,
1, .55,
1)
umx_lower2full(tmp, byrow = FALSE, diag = TRUE)
"make" the umx package using devtools: release to CRAN etc.
Description
Easily run devtools "install", "release", "win", "examples" etc.
Usage
umx_make(
what = c("load", "quickInst", "install", "spell", "sitrep", "deps_install",
"checkCRAN", "testthat", "examples", "win", "rhub", "lastRhub", "release", "git"),
pkg = "~/bin/umx",
check = TRUE,
run = FALSE,
start = NULL,
spelling = "en_US",
which = c("win", "mac", "linux", "solaris"),
run_dont_test = FALSE,
spell = TRUE
)
Arguments
what |
whether to "install", "release" to CRAN, "test", test on "win", "spell", open "git" app, or run "examples")). |
pkg |
the local path to your package. Defaults to my path to umx. |
check |
Whether to run check on the package before release (default = TRUE). |
run |
If what is "examples", whether to also run examples marked don't run. (default FALSE). |
start |
If what is "examples", which function to start from (default (NULL) = beginning). |
spelling |
Whether to check spelling before release (default = "en_US": set NULL to not check). |
which |
What rhub platform to use? c("mac", "linux", "win"). |
run_dont_test |
When checking. |
spell |
for rhub, check spelling? TRUE |
Value
None
References
See Also
Other xmu internal not for end user:
umxModel(),
umxRenameMatrix(),
umx_APA_pval(),
umx_fun_mean_sd(),
umx_get_bracket_addresses(),
umx_standardize(),
umx_string_to_algebra(),
xmuHasSquareBrackets(),
xmuLabel_MATRIX_Model(),
xmuLabel_Matrix(),
xmuLabel_RAM_Model(),
xmuMI(),
xmuMakeDeviationThresholdsMatrices(),
xmuMakeOneHeadedPathsFromPathList(),
xmuMakeTwoHeadedPathsFromPathList(),
xmuMaxLevels(),
xmuMinLevels(),
xmuPropagateLabels(),
xmuRAM2Ordinal(),
xmuTwinSuper_Continuous(),
xmuTwinSuper_NoBinary(),
xmuTwinUpgradeMeansToCovariateModel(),
xmu_CI_merge(),
xmu_CI_stash(),
xmu_DF_to_mxData_TypeCov(),
xmu_PadAndPruneForDefVars(),
xmu_bracket_address2rclabel(),
xmu_cell_is_on(),
xmu_check_levels_identical(),
xmu_check_needs_means(),
xmu_check_variance(),
xmu_clean_label(),
xmu_data_missing(),
xmu_data_swap_a_block(),
xmu_describe_data_WLS(),
xmu_dot_make_paths(),
xmu_dot_make_residuals(),
xmu_dot_maker(),
xmu_dot_move_ranks(),
xmu_dot_rank_str(),
xmu_extract_column(),
xmu_get_CI(),
xmu_lavaan_process_group(),
xmu_make_TwinSuperModel(),
xmu_make_bin_cont_pair_data(),
xmu_make_mxData(),
xmu_match.arg(),
xmu_name_from_lavaan_str(),
xmu_path2twin(),
xmu_path_regex(),
xmu_print_algebras(),
xmu_rclabel_2_bracket_address(),
xmu_relevel_factors(),
xmu_safe_run_summary(),
xmu_set_sep_from_suffix(),
xmu_show_fit_or_comparison(),
xmu_simplex_corner(),
xmu_standardize_ACE(),
xmu_standardize_ACEcov(),
xmu_standardize_ACEv(),
xmu_standardize_CP(),
xmu_standardize_IP(),
xmu_standardize_RAM(),
xmu_standardize_SexLim(),
xmu_standardize_Simplex(),
xmu_start_value_list(),
xmu_starts(),
xmu_summary_RAM_group_parameters(),
xmu_twin_add_WeightMatrices(),
xmu_twin_check(),
xmu_twin_get_var_names(),
xmu_twin_make_def_means_mats_and_alg(),
xmu_twin_upgrade_selDvs2SelVars(),
xmu_update_covar()
Examples
## Not run:
# umx_make() # Just load new code (don't rebuild help etc)
# umx_make(what = "quickInst") # Quick install
# umx_make(what = "install") # Full package rebuild and install
# umx_make(what = "spell") # Spellcheck Rd documents
# umx_make(what = "sitrep") # Are needed packages up to date?
# umx_make(what = "deps_install") # Update needed packages
# umx_make(what = "examples") # Run the examples
# umx_make(what = "checkCRAN") # Run R CMD check
# umx_make(what = "rhub") # Check on rhub
# umx_make(what = "win") # Check on win-builder
# umx_make(what = "release") # Release to CRAN
# tmp = umx_make(what = "lastRhub") # View rhub result
## End(Not run)
Simulate Mendelian Randomization data
Description
umx_make_MR_data returns a dataset containing 4 variables: A variable of interest (Y), a putative cause (X), a qtl (quantitative trait locus) influencing X, and a confounding variable (U) affecting both X and Y.
Usage
umx_make_MR_data(
nSubjects = 1000,
Vqtl = 0.02,
bXY = 0.1,
bUX = 0.5,
bUY = 0.5,
pQTL = 0.5,
seed = 123
)
Arguments
nSubjects |
Number of subjects in sample |
Vqtl |
Variance of QTL affecting causal variable X (Default 0.02) |
bXY |
Causal effect of X on Y (Default 0.1) |
bUX |
Confounding effect of confounder 'U' on X (Default 0.5) |
bUY |
Confounding effect of confounder 'U' on Y (Default 0.5) |
pQTL |
Decreaser allele frequency (Default 0.5) |
seed |
value for the random number generator (Default 123) |
Details
The code to make these Data. Modified from Dave Evans 2016 Boulder workshop talk.
Value
- data.frame
See Also
umx_make_TwinData
Other Data Functions:
noNAs(),
prolific_anonymize(),
prolific_check_ID(),
prolific_read_demog(),
umx,
umxFactor(),
umxHetCor(),
umx_as_numeric(),
umx_cont_2_quantiles(),
umx_lower2full(),
umx_make_TwinData(),
umx_make_fake_data(),
umx_make_raw_from_cov(),
umx_merge_randomized_columns(),
umx_polychoric(),
umx_polypairwise(),
umx_polytriowise(),
umx_read_lower(),
umx_rename(),
umx_reorder(),
umx_score_scale(),
umx_select_valid(),
umx_stack(),
umx_strings2numeric()
Examples
df = umx_make_MR_data(10000)
str(df)
## Not run:
m1 = umxTwoStage(Y ~ X, ~qtl, data = df)
plot(m1)
## End(Not run)
Simulate twin data with control over A, C, and E parameters, as well as moderation of A.
Description
Makes MZ and DZ twin data, optionally with moderated A. By default, the three variance components must sum to 1.
See examples for how to use this: it is pretty flexible.
If you provide 2 varNames, they will be used for twin 1 and twin 2. If you provide one, it will be expanded to var_T1 and var_T2.
note: the function was designed around nSib = 2 and var names = var_T1. It isn't yet smart enough to do, for instance
scaling or shifting to make the min value 0 (normal for most traits we analyse) for nonstandard varNames and 'nSib“.
Note, if you want a power calculator, see power.ACE.test() and umxPower().
Usage
You must supply nMZpairs (you can omit nDZpairs).
You can give any two of A, C, or E and the function deduces the missing parameter so A+C+E == 1.
Moderation
Univariate GxE Data
To simulate data for umxGxE, offer up a list of the average, min and max values for AA, i.e., c(avg = .5, min = 0, max = 1).
umx_make_TwinData will return moderated data, with average value = avg, swinging
down to min and up to max across 3-SDs of the moderator.
Bivariate GxE Data
To simulate data with a moderator that is not shared by both twins. Moderated heritability is specified via the bivariate relationship (AA, CC, EE) and two moderators in each component. AA = list(a11 = .4, a12 = .1, a22 = .15) CC = list(c11 = .2, c12 = .1, c22 = .10) EE = list(e11 = .4, e12 = .3, e22 = .25) Amod = list(Beta_a1 = .025, Beta_a2 = .025) Cmod = list(Beta_c1 = .025, Beta_c2 = .025) Emod = list(Beta_e1 = .025, Beta_e2 = .025)
Usage
umx_make_TwinData(
nMZpairs,
nDZpairs = nMZpairs,
AA = NULL,
CC = NULL,
EE = NULL,
DD = NULL,
varNames = "var",
MZr = NULL,
DZr = MZr,
nSib = 2,
dzAr = 0.5,
scale = FALSE,
mean = 0,
sd = 1,
nThresh = NULL,
sum2one = TRUE,
bivAmod = NULL,
bivCmod = NULL,
bivEmod = NULL,
seed = NULL,
empirical = FALSE
)
Arguments
nMZpairs |
Number of MZ pairs to simulate |
nDZpairs |
Number of DZ pairs to simulate (defaults to nMZpairs) |
AA |
value for A variance. NOTE: See options for use in GxE and Bivariate GxE |
CC |
value for C variance. |
EE |
value for E variance. |
DD |
value for E variance. |
varNames |
name for variables (defaults to 'var') |
MZr |
If MZr and DZr are set (default = NULL), the function returns dataframes of the request n and correlation. |
DZr |
Set to return dataframe using MZr and Dzr (Default NULL) |
nSib |
Number of siblings in a family (default = 2). "3" = extra sib. |
dzAr |
DZ Ar (default .5) |
scale |
Whether to scale output to var=1 mean=0 (Default FALSE) |
mean |
mean for traits (default = 0) (not applied to moderated cases) |
sd |
sd of traits (default = 1) (not applied to moderated cases) |
nThresh |
If supplied, use as thresholds and return mxFactor output? (default is not to) |
sum2one |
Whether to enforce AA + CC + EE summing the one (default = TRUE) |
bivAmod |
Used for Bivariate GxE data: list(Beta_a1 = .025, Beta_a2 = .025) |
bivCmod |
Used for Bivariate GxE data: list(Beta_c1 = .025, Beta_c2 = .025) |
bivEmod |
Used for Bivariate GxE data: list(Beta_e1 = .025, Beta_e2 = .025) |
seed |
Allows user to set.seed() if wanting reproducible dataset |
empirical |
Passed to mvrnorm |
Value
list of mzData and dzData dataframes containing T1 and T2 plus, if needed M1 and M2 (moderator values)
References
See Also
Other Twin Data functions:
umx,
umx_long2wide(),
umx_make_twin_data_nice(),
umx_residualize(),
umx_scale_wide_twin_data(),
umx_wide2longTwinData(),
umx_yj_wide_twin_data()
Other Data Functions:
noNAs(),
prolific_anonymize(),
prolific_check_ID(),
prolific_read_demog(),
umx,
umxFactor(),
umxHetCor(),
umx_as_numeric(),
umx_cont_2_quantiles(),
umx_lower2full(),
umx_make_MR_data(),
umx_make_fake_data(),
umx_make_raw_from_cov(),
umx_merge_randomized_columns(),
umx_polychoric(),
umx_polypairwise(),
umx_polytriowise(),
umx_read_lower(),
umx_rename(),
umx_reorder(),
umx_score_scale(),
umx_select_valid(),
umx_stack(),
umx_strings2numeric()
Examples
# =====================================================================
# = Basic Example, with all elements of std univariate data specified =
# =====================================================================
tmp = umx_make_TwinData(nMZpairs = 10000, AA = .30, CC = .00, EE = .70)
# Show dataframe with 20,000 rows and 3 variables: var_T1, var_T2, and zygosity
str(tmp)
# ===============================
# = How to consume the datasets =
# ===============================
mzData = tmp[tmp$zygosity == "MZ", ]
dzData = tmp[tmp$zygosity == "DZ", ]
str(mzData); str(dzData);
cov(mzData[, c("var_T1", "var_T2")])
cov(dzData[, c("var_T1", "var_T2")])
umxAPA(mzData[, c("var_T1", "var_T2")])
# Prefer to work in path coefficient values? (little a?)
tmp = umx_make_TwinData(2000, AA = .7^2, CC = .0)
mzData = tmp[tmp$zygosity == "MZ", ]
dzData = tmp[tmp$zygosity == "DZ", ]
m1 = umxACE(selDVs="var", sep="_T", mzData= mzData, dzData= dzData)
# Examine correlations
cor(mzData[,c("var_T1","var_T2")])
cor(dzData[,c("var_T1","var_T2")])
# Example with D (left un-modeled in ACE)
tmp = umx_make_TwinData(nMZpairs = 500, AA = .4, DD = .2, CC = .2)
m1 = umxACE(selDVs="var", data = tmp, mzData= "MZ", dzData= "DZ")
# | | a1| c1| e1|
# |:---|----:|----:|----:|
# |var | 0.86| 0.24| 0.45|
m1 = umxACE(selDVs="var", data = tmp, mzData= "MZ", dzData= "DZ", dzCr=.25)
# | | a1|d1 | e1|
# |:---|---:|:--|----:|
# |var | 0.9|. | 0.44|
# =============
# = Shortcuts =
# =============
# Omit nDZpairs (equal numbers of both by default)
tmp = umx_make_TwinData(100, AA = 0.5, CC = 0.3) # omit any one of A, C, or E (sums to 1)
cov(tmp[tmp$zygosity == "DZ", c("var_T1","var_T2")])
# Not limited to unit variance
tmp = umx_make_TwinData(100, AA = 3, CC = 2, EE = 3, sum2one = FALSE)
cov(tmp[tmp$zygosity == "MZ", c("var_T1","var_T2")])
# Output can be scaled (mean=0, std=1)
tmp = umx_make_TwinData(100, AA = .7, CC = .1, scale = TRUE)
cov(tmp[tmp$zygosity == "MZ", c("var_T1","var_T2")])
## Not run:
# ===============
# = GxE Example =
# ===============
AA = c(avg = .5, min = .1, max = .8)
tmp = umx_make_TwinData(nMZpairs = 140, nDZpairs = 240, AA = AA, CC = .35, EE = .65, scale= TRUE)
mzData = tmp[tmp$zygosity == "MZ", ]
dzData = tmp[tmp$zygosity == "DZ", ]
m1 = umxGxE(selDVs = "var", selDefs = "M", sep = "_T", mzData = mzData, dzData = dzData)
# =====================
# = Threshold Example =
# =====================
tmp = umx_make_TwinData(100, AA = .6, CC = .2, nThresh = 3)
str(tmp)
umx_polychoric(subset(tmp, zygosity=="MZ", c("var_T1", "var_T2")))$polychorics
# Running model with 7 parameters
# var_T1 var_T2
# var_T1 1.0000000 0.7435457
# var_T2 0.7435457 1.0000000
# =================================================
# = Just use MZr and DZr (also works with nSib>2) =
# =================================================
tmp = umx_make_TwinData(100, MZr = .86, DZr = .60, nSib= 3, varNames = "IQ")
umxAPA(subset(tmp, zygosity == "MZ", paste0("IQ_T", 1:2)))
umxAPA(subset(tmp, zygosity == "DZ", paste0("IQ_T", 1:2)))
m1 = umxACE(selDVs= "IQ", data = tmp)
m1 = umxACE(selDVs= "IQ", data = tmp, nSib=3)
# TODO tmx_ examples of unmodeled D etc.
# Bivariate GxSES example (see umxGxEbiv)
AA = list(a11 = .4, a12 = .1, a22 = .15)
CC = list(c11 = .2, c12 = .1, c22 = .10)
EE = list(e11 = .4, e12 = .3, e22 = .25)
Amod = list(Beta_a1 = .025, Beta_a2 = .025)
Cmod = list(Beta_c1 = .025, Beta_c2 = .025)
Emod = list(Beta_e1 = .025, Beta_e2 = .025)
tmp = umx_make_TwinData(5000, AA =AA, CC = CC, EE = EE,
bivAmod = Amod, bivCmod =Cmod, bivEmod =Emod)
str(tmp)
# 'data.frame': 10000 obs. of 7 variables:
# $ defM_T1 : num 0.171 0.293 -0.173 0.238 -0.73 ...
# $ defM_T2 : num 0.492 -0.405 -0.696 -0.829 -0.858 ...
# $ M_T1 : num 0.171 0.293 -0.173 0.238 -0.73 ...
# $ var_T1 : num 0.011 0.1045 0.5861 0.0583 1.0225 ...
# $ M_T2 : num 0.492 -0.405 -0.696 -0.829 -0.858 ...
# $ var_T2 : num -0.502 -0.856 -0.154 0.065 -0.268 ...
# $ zygosity: Factor w/ 2 levels "MZ","DZ": 1 1 1 1 1 1 1 1 1 1 ...
# TODO tmx example showing how moderation of A introduces heteroscedasticity in a regression model:
# More residual variance at one extreme of the x axis (moderator)
# m1 = lm(var_T1~ M_T1, data = x);
# x = rbind(tmp[[1]], tmp[[2]])
# plot(residuals(m1)~ x$M_T1, data=x)
## End(Not run)
umx_make_fake_data
Description
This function takes as argument an existing dataset, which must be either a matrix or a data frame. Each column of the dataset must consist either of numeric variables or ordered factors. When one or more ordered factors are included, then a heterogeneous correlation matrix is computed using John Fox's polycor package. Pairwise complete observations are used for all covariances, and the exact pattern of missing data present in the input is placed in the output, provided a new sample size is not requested. Warnings from the polycor::hetcor function are suppressed.
Usage
umx_make_fake_data(
dataset,
digits = 2,
n = NA,
use.names = TRUE,
use.levels = TRUE,
use.miss = TRUE,
mvt.method = "eigen",
het.ML = FALSE,
het.suppress = TRUE
)
Arguments
dataset |
The original dataset of which to make a simulacrum |
digits |
= Round the data to the requested digits (default = 2) |
n |
Number of rows to generate (NA = all rows in dataset) |
use.names |
Whether to name the variables (default = TRUE) |
use.levels |
= Whether to use existing levels (default = TRUE) |
use.miss |
Whether to have data missing as in original (defaults to TRUE) |
mvt.method |
= Passed to hetcor (default = "eigen") |
het.ML |
= Passed to hetcor (default = FALSE) |
het.suppress |
Passed to hetcor (default = TRUE) |
Value
- new dataframe
See Also
[OpenMx::mxGenerateData()]
Other Data Functions:
noNAs(),
prolific_anonymize(),
prolific_check_ID(),
prolific_read_demog(),
umx,
umxFactor(),
umxHetCor(),
umx_as_numeric(),
umx_cont_2_quantiles(),
umx_lower2full(),
umx_make_MR_data(),
umx_make_TwinData(),
umx_make_raw_from_cov(),
umx_merge_randomized_columns(),
umx_polychoric(),
umx_polypairwise(),
umx_polytriowise(),
umx_read_lower(),
umx_rename(),
umx_reorder(),
umx_score_scale(),
umx_select_valid(),
umx_stack(),
umx_strings2numeric()
Examples
fakeCars = umx_make_fake_data(mtcars)
Turn a cov matrix into raw data
Description
A wrapper for MASS::mvrnorm() to simplify turning a covariance matrix into matching raw data.
Usage
umx_make_raw_from_cov(covMat, n, means = 0, varNames = NULL, empirical = FALSE)
Arguments
covMat |
A covariance matrix |
n |
How many rows of data to return |
means |
the means of the raw data (default = 0) |
varNames |
default uses "var1", "var2" |
empirical |
(passed to mvrnorm) Default = FALSE |
Value
data.frame
References
See Also
Other Data Functions:
noNAs(),
prolific_anonymize(),
prolific_check_ID(),
prolific_read_demog(),
umx,
umxFactor(),
umxHetCor(),
umx_as_numeric(),
umx_cont_2_quantiles(),
umx_lower2full(),
umx_make_MR_data(),
umx_make_TwinData(),
umx_make_fake_data(),
umx_merge_randomized_columns(),
umx_polychoric(),
umx_polypairwise(),
umx_polytriowise(),
umx_read_lower(),
umx_rename(),
umx_reorder(),
umx_score_scale(),
umx_select_valid(),
umx_stack(),
umx_strings2numeric()
Examples
covData <- matrix(nrow=6, ncol=6, byrow=TRUE, dimnames=list(paste0("v", 1:6), paste0("v", 1:6)),
data = c(0.9223099, 0.1862938, 0.4374359, 0.8959973, 0.9928430, 0.5320662,
0.1862938, 0.2889364, 0.3927790, 0.3321639, 0.3371594, 0.4476898,
0.4374359, 0.3927790, 1.0069552, 0.6918755, 0.7482155, 0.9013952,
0.8959973, 0.3321639, 0.6918755, 1.8059956, 1.6142005, 0.8040448,
0.9928430, 0.3371594, 0.7482155, 1.6142005, 1.9223567, 0.8777786,
0.5320662, 0.4476898, 0.9013952, 0.8040448, 0.8777786, 1.3997558)
)
myData = umx_make_raw_from_cov(covData, n = 100, means = 1:6)
umxAPA(myData)
covMat = matrix(c(1, .3, .3, 1), nrow=2)
tmp= umx_make_raw_from_cov(covMat, n=10, varNames= c("x", "y"))
cov(tmp)
tmp= umx_make_raw_from_cov(covMat, n=10, varNames= c("x", "y"), empirical= TRUE)
cov(tmp)
tmp= umx_make_raw_from_cov(qm(1, .3| .3, 1), n=10, varNames= c("x", "y"))
cov(tmp)
Convert an excel spreadsheet in a text file on sql statements.
Description
Unlikely to be of use to anyone but the package author :-)
Usage
umx_make_sql_from_excel(theFile = "Finder")
Arguments
theFile |
The xlsx file to read. Default = "Finder") |
Details
On OS X, by default, the file selected in the front-most Finder window will be chosen. If it is blank, a choose file dialog will be thrown.
Read an xlsx file and convert into SQL insert statements (placed on the clipboard) On MacOS, the function can access the current front-most Finder window.
The file name should be the name of the test. Columns should be headed: itemText direction scale type [optional response options]
The SQL fields generated are: itemID, test, native_item_number, item_text, direction, scale, format, author
tabbedPlus: list scored from 0 to n-1
tabbedVertPlus: tabbed, but vertical lay-out
number 2+2\<itemBreak\>min='0' max='7' step='1'
5fm Scored 1-5, anchored: Strongly Disagree | Disagree | Neutral | Agree | Strongly Agree
intro (not) scored, and sequenced as item 0
Value
None
References
See Also
Other File Functions:
dl_from_dropbox(),
umx,
umx_file_load_pseudo(),
umx_move_file(),
umx_open(),
umx_rename_file(),
umx_write_to_clipboard()
Examples
## Not run:
# An example Excel spreadsheet
# local uncompiled path
fp = system.file("inst/extdata", "GQ6.sql.xlsx", package = "umx")
# installed path
fp = system.file("extdata", "GQ6.sql.xlsx", package = "umx")
umx_open(fp)
umx_make_sql_from_excel() # Using file selected in front-most Finder window
umx_make_sql_from_excel("~/Desktop/test.xlsx") # provide a path
## End(Not run)
Convert a twin dataset into umx standard format.
Description
umx_make_twin_data_nice is a function to convert your twin data into a format used across umx. Specifically:
Existing column for zygosity is renamed to "zygosity".
-
sepis set to "_T" The twinID is is set to sequential digits, i.e. 1,2...
Usage
umx_make_twin_data_nice(
data,
sep = "",
zygosity = "zygosity",
numbering,
labelNumericZygosity = FALSE,
levels = 1:5,
labels = c("MZFF", "MZMM", "DZFF", "DZMM", "DZOS")
)
Arguments
data |
a |
sep |
existing separator string (will be updated to "_T"). |
zygosity |
existing zygosity column name (will be renamed |
numbering |
existing twin sequence string (will be updated to _T1, _T2, _T3). |
labelNumericZygosity |
If TRUE numeric zygosity levels will be set to labels. |
levels |
legal levels of zygosity (ignored if labelNumericZygosity = FALSE (default 1:5) |
labels |
labels for each zyg level c("MZFF", "MZMM", "DZFF", "DZMM", "DZOS"). |
Value
References
See Also
Other Twin Data functions:
umx,
umx_long2wide(),
umx_make_TwinData(),
umx_residualize(),
umx_scale_wide_twin_data(),
umx_wide2longTwinData(),
umx_yj_wide_twin_data()
Examples
data(twinData)
tmp = twinData
tmp2 = umx_make_twin_data_nice(twinData, sep="", numbering = 1:5, zygosity="zygosity")
tmp$zygosity=NULL
tmp = umx_make_twin_data_nice(twinData, sep="", numbering = 1:5, zygosity="zygosity")
namez(tmp, "zyg")
levels(tmp$zygosity)
umx_means
Description
Helper to get means from a df that might contain ordered or string data. Factor means are set to "ordVar"
Usage
umx_means(df, ordVar = 0, na.rm = TRUE)
Arguments
df |
a dataframe of raw data from which to get variances. |
ordVar |
value to return for the means of factor data = 0 |
na.rm |
passed to mean - defaults to "na.rm" |
Value
- frame of means
See Also
Other Miscellaneous Stats Functions:
FishersMethod(),
SE_from_p(),
geometric_mean(),
harmonic_mean(),
oddsratio(),
reliability(),
umx,
umxCov2cor(),
umxHetCor(),
umxParan(),
umxWeightedAIC(),
umx_apply(),
umx_cor(),
umx_r_test(),
umx_round(),
umx_scale(),
umx_var()
Examples
tmp = mtcars[,1:4]
tmp$cyl = ordered(mtcars$cyl) # ordered factor
tmp$hp = ordered(mtcars$hp) # binary factor
umx_means(tmp, ordVar = 0, na.rm = TRUE)
umx_merge_randomized_columns
Description
umx_merge_randomized_columns is designed to merge data where subjects have been randomized
to conditions, so they have a value in one column, and NA in the other condition columns.
It returns a new column of merged scores, and a new column of associated conditions.
Usage
umx_merge_randomized_columns(
colNames,
df,
levels = colNames,
newVarName = "score",
newCondName = "condition",
as.factor = FALSE
)
Arguments
colNames |
Names of the columns containing the condition data. |
df |
The data frame |
levels |
optional names for the levels of condition (default = |
newVarName |
Name for the new column holding the newVarName (default "score"). |
newCondName |
Name for the new column holding the condition (default "condition"). |
as.factor |
Turn condition into a factor? (FALSE) |
Value
df with new cols
See Also
Other Data Functions:
noNAs(),
prolific_anonymize(),
prolific_check_ID(),
prolific_read_demog(),
umx,
umxFactor(),
umxHetCor(),
umx_as_numeric(),
umx_cont_2_quantiles(),
umx_lower2full(),
umx_make_MR_data(),
umx_make_TwinData(),
umx_make_fake_data(),
umx_make_raw_from_cov(),
umx_polychoric(),
umx_polypairwise(),
umx_polytriowise(),
umx_read_lower(),
umx_rename(),
umx_reorder(),
umx_score_scale(),
umx_select_valid(),
umx_stack(),
umx_strings2numeric()
Examples
## Not run:
fp = "~/Desktop/Political Ideology_September 13, 2022_10.47.xlsx"
df = readxl::read_excel(fp)
df = df[c(-1,-2), ] # delete temp data and question text
df = data.frame(df)
namez(df, "ris", coll = "vec") # c('RiskAversionNoLotter', 'RiskAversionLottery')
colNames= c('RiskAversionNoLotter', 'RiskAversionLottery')
df = umx_as_numeric(df, colNames, force=TRUE)
tmp = umx_merge_randomized_columns(colNames, df); table(tmp$condition)
tmp = umx_merge_randomized_columns(colNames, df,
levels = c("treatment", "control")); table(tmp$condition)
## End(Not run)
Move files
Description
On OS X, umx_move_file can access the current front-most Finder window.
The file moves are fast and, because you can use regular expressions, powerful.
Usage
umx_move_file(
baseFolder = NA,
regex = NULL,
fileNameList = NA,
destFolder = NA,
test = TRUE,
overwrite = FALSE
)
Arguments
baseFolder |
The folder to search in. If set to "Finder" (and you are on OS X) it will use the current front-most Finder window. If it is blank, a choose folder dialog will be thrown. |
regex |
string to select files to process within the selected folder. |
fileNameList |
List of files to move. |
destFolder |
Folder to move files to. |
test |
Boolean determining whether to change the names, or just report a dry run. |
overwrite |
Boolean determining whether to overwrite files or not (default = FALSE (safe)). |
Value
None
See Also
Other File Functions:
dl_from_dropbox(),
umx,
umx_file_load_pseudo(),
umx_make_sql_from_excel(),
umx_open(),
umx_rename_file(),
umx_write_to_clipboard()
Examples
## Not run:
base = "~/Desktop/"
dest = "~/Music/iTunes/iTunes Music/Music/"
umx_move_file(baseFolder = base, fileNameList = toMove, destFolder = dest, test= TRUE)
# ============================================================
# = Move all files in downloads ending in ".jpeg" to Desktop =
# ============================================================
umx_move_file(baseFolder = "~/Downloads/", regex=".jpeg",
destFolder = "~/Desktop/", test= TRUE)
## End(Not run)
Print the name and compact contents of variable.
Description
Helper function to ease debugging with console notes like: "ObjectName = \<Object Value\>".
This is primarily useful for inline debugging, where seeing, e.g., "nVar = 3" can be useful.
The ability to say umx_msg(nVar) makes this easy.
Usage
umx_msg(x)
Arguments
x |
the thing you want to pretty-print |
Value
NULL
References
See Also
Other Miscellaneous Utility Functions:
install.OpenMx(),
libs(),
qm(),
umx,
umxLav2RAM(),
umxModelNames(),
umxRAM2Lav(),
umxVersion(),
umx_array_shift(),
umx_find_object(),
umx_lower.tri(),
umx_open_CRAN_page(),
umx_pad(),
umx_print(),
umx_wide2long(),
umx_wide4lmer()
Examples
a = "brian"
umx_msg(a)
b = c("brian", "sally", "jane")
umx_msg(b)
umx_msg(mtcars)
umx_names
Description
Convenient equivalent of running grep on names, with value = TRUE and ignore.case = TRUE.
Plus:umx_names can handle dataframes, a model, list of models, model summary, or a vector of strings as input.
In these cases, it will search column names, parameter or summary output names, or the literal string values themselves respectively.
In addition, umx_names can do replacement of a found string (see examples). It can also collapse the result (using paste0)
Note: namez (with a z) is a shortcut for umx_names, which makes it easy to replace where you would otherwise use names.
You can learn more about the matching options (like inverting the selection etc.) in the help for base-R grep.
Usage
umx_names(
df,
pattern = ".*",
replacement = NULL,
ignore.case = TRUE,
perl = FALSE,
value = TRUE,
fixed = FALSE,
useBytes = FALSE,
invert = FALSE,
global = FALSE,
collapse = c("as.is", "vector", "formula")
)
Arguments
df |
dataframe (or other objects, or a list of models) from which to get names. |
pattern |
Used to find only matching names (supports grep/regular expressions) |
replacement |
If not NULL, replaces the found string. Use backreferences ("\1" to "\9") to refer to (subexpressions). |
ignore.case |
default = TRUE (opposite default to grep) |
perl |
Should Perl-compatible regexps be used? Default = FALSE |
value |
Return matching elements themselves (TRUE) or their indices (FALSE) default = TRUE (opposite default to grep) |
fixed |
= FALSE (grep option If TRUE, pattern is a string to be matched as is. Overrides all conflicting arguments.) |
useBytes |
= FALSE logical. grep option. If TRUE, matching is by byte rather than by character. |
invert |
Return indices or values for elements that do not match (default = FALSE). |
global |
replace all instances in each strong, or just the first (Default). |
collapse |
"as.is" leaves alone. as.vector formats as pasteable code, i.e., "c('a', 'b')", not "a" "b" (default NULL), etc. |
Value
vector of matches
References
See Also
Base-R pattern matching functions:
grep(). Andumx_check_names()to check for existence of names in a dataframe.
Other String Functions:
umx,
umx_explode(),
umx_explode_twin_names(),
umx_grep(),
umx_paste_names(),
umx_rot(),
umx_str_chars(),
umx_str_from_object(),
umx_trim()
Examples
# Names from a dataframe, with character matching
umx_names(mtcars, "mpg") # only "mpg" matches this
# Easy-to-type alias "namez"
namez(mtcars, "mpg")
# Use a regular expression to match a pattern
namez(mtcars, "r[ab]") # "drat", "carb"
namez(mtcars, "^d") # vars beginning with 'd' = "disp", drat
# Use this function to replace text in names!
umx_names(mtcars, "mpg", replacement = "hello") # "mpg" replaced with "hello"
# ========================================================================
# = Using the custom collapse option to quote each item, and wrap in c() =
# ========================================================================
namez(mtcars, "m", collapse = "vector") # Paste-able R-code for a vector
# Other options passed to R's grep command
umx_names(mtcars, "mpg" , invert = TRUE) # Non-matches (instead of matches)
umx_names(mtcars, "disp", value = FALSE) # Return indices of matches
umx_names(mtcars, "disp", value = "grepl") # which var matches disp
umx_names(mtcars, "^d" , fixed = TRUE) # Vars containing literal '^d' (none...)
# =======================================
# = Examples using built-in GFF dataset =
# =======================================
# Just show phenotypes for Twin 1
umx_names(GFF, "_T1$") # twin 1
# "zyg" "sex1" "age_T1" "gff_T1" "fc_T1" "qol_T1" "hap_T1"...
umx_names(GFF, "2$") # names ending in 2
umx_names(GFF, "[^12bs]$") # doesn't end in `1`, `2`, `b`, or `s`
# "zyg_6grp" "zyg_2grp" "divorce"
umx_names(mxData(twinData[, c("wt1", "wt2")], type= "raw"))
umx_names(mxData(cov(twinData[, c("wt1", "wt2")], use="comp"), type= "cov", numObs= 1000))
umx_names(mxDataWLS(na.omit(twinData[, c("wt1", "wt2")]), type= "WLS"))
namez(umxMatrix("bob", "Full", 3,3)$labels)
Open a file or folder
Description
Open a file or folder. Works on OS X, mostly on windows, and hopefully on unix.
Usage
umx_open(filepath = getwd())
Arguments
filepath |
The file to open |
Details
NOTE: Your filepath is shQuote()'d by this function.
Value
None
References
See Also
Other File Functions:
dl_from_dropbox(),
umx,
umx_file_load_pseudo(),
umx_make_sql_from_excel(),
umx_move_file(),
umx_rename_file(),
umx_write_to_clipboard()
Examples
## Not run:
umx_open() # Default is to open working directory getwd()
umx_open("~/bin/umx/R/misc_and_utility copy.r")
## End(Not run)
Open the CRAN page for a package
Description
On MacOS, this function opens the CRAN page for a package. Useful for looking up documentation, checking you have an up-to-date version, showing the package to people etc.
Usage
umx_open_CRAN_page(package = "umx", inst = FALSE)
Arguments
package |
An R package name. |
inst |
Install and load if not already installed? |
Value
None
See Also
Other Miscellaneous Utility Functions:
install.OpenMx(),
libs(),
qm(),
umx,
umxLav2RAM(),
umxModelNames(),
umxRAM2Lav(),
umxVersion(),
umx_array_shift(),
umx_find_object(),
umx_lower.tri(),
umx_msg(),
umx_pad(),
umx_print(),
umx_wide2long(),
umx_wide4lmer()
Examples
## Not run:
umx_open_CRAN_page("umx")
## End(Not run)
Pad an Object with NAs
Description
This function pads an R object (list, data.frame, matrix, atomic vector)
with NAs. For matrices, lists and data.frames, this occurs by extending
each (column) vector in the object.
Usage
umx_pad(x, n)
Arguments
x |
An R object (list, data.frame, matrix, atomic vector). |
n |
The final length of each object. |
Value
- padded object
References
- https://github.com/kevinushey/Kmisc/tree/master/man
See Also
Other Miscellaneous Utility Functions:
install.OpenMx(),
libs(),
qm(),
umx,
umxLav2RAM(),
umxModelNames(),
umxRAM2Lav(),
umxVersion(),
umx_array_shift(),
umx_find_object(),
umx_lower.tri(),
umx_msg(),
umx_open_CRAN_page(),
umx_print(),
umx_wide2long(),
umx_wide4lmer()
Examples
umx_pad(1:3, 4)
umx_pad(1:3, 3)
Concatenate base variable names with suffixes to create wide-format variable names (i.e twin-format)
Description
It's easier to work with base names, rather than the twice-as-long hard-to-typo list of column names.
umx_paste_names adds suffixes to names so you can work with that nice short list.
So, you provide bmi, and you get back fully specified family-wise names: c("bmi_T1", "bmi_T2")
note: tvars is a shortcut for umx_paste_names
Usage
umx_paste_names(
varNames,
sep = "",
suffixes = 1:2,
covNames = NULL,
prefix = NULL
)
Arguments
varNames |
a list of base names, e.g c("bmi", "IQ") |
sep |
A string separating the name and the twin suffix, e.g. "_T" (default is "") |
suffixes |
a list of terminal suffixes differentiating the twins default = 1:2) |
covNames |
a list of base names for covariates (to be sorted last in list), e.g c("age", "sex") |
prefix |
a string to prepend to each label, e.g "mean" -> "mean_age" "mean_sex" |
Details
Method 1: Use complete suffixes
You can provide complete suffixes like "_T1" and "_T2". This has the benefit of being explicit and very general:
umx_paste_names(c("var1", "var2"), suffixes = c("_T1", "_T2"))
Note: for quick typing, tvars is an alias for umx_paste_names
Method 2: Use sep and a suffix vector.
Alternatively, you can use sep to add a constant like "_T" after each basename, along
with a vector of suffixes. This has the benefit of showing what is varying:
This is then suffixed with e.g. "1", "2".
umx_paste_names(c("var1", "var2"), sep = "_T", suffixes = 1:2)
Working with covariates
If you are using umxACEcov(), you need to keep all the covariates at the end of the list.
Here's how:
umx_paste_names(c("var1", "var2"), cov = c("cov1"), sep = "_T", suffixes = 1:2)
note: in conventional twin models, the expCov matrix is T1 vars, followed by T2 vars. For covariates, you want
T1vars, T2 vars, T1 covs, T2 covs. This is what covNames accomplishes.
Value
vector of suffixed var names, i.e., c("v1_T1", "v2_T1", "v1_T2", "v2_T2", "cov_T1", "cov_T2")
References
See Also
namez() umx_explode_twin_names()
Other String Functions:
umx,
umx_explode(),
umx_explode_twin_names(),
umx_grep(),
umx_names(),
umx_rot(),
umx_str_chars(),
umx_str_from_object(),
umx_trim()
Examples
# two styles doing the same thing: first is more general
umx_paste_names("bmi", suffixes = c("_T1", "_T2"))
umx_paste_names("bmi", sep = "_T", suffixes = 1:2)
varNames = umx_paste_names(c("N", "E", "O", "A", "C"), "_T", 1:2)
umx_paste_names(c("IQ", "C"), cov = c("age"), sep = "_T", suffixes = 1:2)
umx_paste_names(c("IQ", "C"), cov = c("age"), sep = "_T", prefix= "mean_")
# For quick-typing, tvars is an alias for umx_paste_names
tvars(c("IQ", "C"), cov = "age", sep = "_T", prefix= "mean_")
tvars("IQ")
FIML-based polychoric, polyserial, and Pearson correlations
Description
Compute polychoric/polyserial/Pearson correlations with FIML.
Usage
umx_polychoric(
data,
useDeviations = TRUE,
tryHard = c("no", "yes", "ordinal", "search")
)
Arguments
data |
Dataframe |
useDeviations |
Whether to code the mode using deviation thresholds (default = TRUE) |
tryHard |
'no' uses normal mxRun (default), "yes" uses mxTryHard, and others used named versions: "mxTryHardOrdinal", "mxTryHardWideSearch" |
Value
- list of output and diagnostics. matrix of correlations = $polychorics
References
- Barendse, M. T., Ligtvoet, R., Timmerman, M. E., & Oort, F. J. (2016). Model Fit after Pairwise Maximum Likelihood. *Frontiers in Psychology*, **7**, 528. doi:10.3389/fpsyg.2016.00528.
See Also
Other Data Functions:
noNAs(),
prolific_anonymize(),
prolific_check_ID(),
prolific_read_demog(),
umx,
umxFactor(),
umxHetCor(),
umx_as_numeric(),
umx_cont_2_quantiles(),
umx_lower2full(),
umx_make_MR_data(),
umx_make_TwinData(),
umx_make_fake_data(),
umx_make_raw_from_cov(),
umx_merge_randomized_columns(),
umx_polypairwise(),
umx_polytriowise(),
umx_read_lower(),
umx_rename(),
umx_reorder(),
umx_score_scale(),
umx_select_valid(),
umx_stack(),
umx_strings2numeric()
Examples
## Not run:
tmp = mtcars
tmp$am = umxFactor(mtcars$am)
tmp$vs = umxFactor(mtcars$vs)
tmp = umx_scale(tmp)
x = umx_polychoric(tmp[, c("am", "vs")], tryHard = "yes")
x$polychorics
cor(mtcars[, c("am", "vs")])
## End(Not run)
FIML-based Pairwise polychoric, polyserial, and Pearson correlations
Description
Compute polychoric/polyserial/Pearson correlations with FIML in OpenMx, but pair by pair, not across the whole dataset at once.
Usage
umx_polypairwise(
data,
useDeviations = TRUE,
printFit = FALSE,
use = "any",
tryHard = c("no", "yes", "ordinal", "search")
)
Arguments
data |
Dataframe |
useDeviations |
Whether to code the mode using deviation thresholds (default = TRUE) |
printFit |
Whether to print information about the fit achieved (default = FALSE) |
use |
parameter (default = "any") |
tryHard |
'no' uses normal mxRun (default), "yes" uses mxTryHard, and others used named versions: "mxTryHardOrdinal", "mxTryHardWideSearch" |
Value
- matrix of correlations
References
- Barendse, M. T., Ligtvoet, R., Timmerman, M. E., & Oort, F. J. (2016). Model Fit after Pairwise Maximum Likelihood. *Frontiers in Psychology*, **7**, 528. doi:10.3389/fpsyg.2016.00528.
See Also
Other Data Functions:
noNAs(),
prolific_anonymize(),
prolific_check_ID(),
prolific_read_demog(),
umx,
umxFactor(),
umxHetCor(),
umx_as_numeric(),
umx_cont_2_quantiles(),
umx_lower2full(),
umx_make_MR_data(),
umx_make_TwinData(),
umx_make_fake_data(),
umx_make_raw_from_cov(),
umx_merge_randomized_columns(),
umx_polychoric(),
umx_polytriowise(),
umx_read_lower(),
umx_rename(),
umx_reorder(),
umx_score_scale(),
umx_select_valid(),
umx_stack(),
umx_strings2numeric()
Examples
umx_set_optimizer("SLSQP")
tmp = mtcars
tmp$am = umxFactor(mtcars$am)
tmp$vs = umxFactor(mtcars$vs)
tmp = umx_scale(tmp)
x = umx_polypairwise(tmp[, c("hp", "mpg", "am", "vs")], tryHard = "yes")
x$R
cov2cor(x$R)
cor(mtcars[, c("hp", "mpg", "am", "vs")])
FIML-based trio-based polychoric, polyserial, and Pearson correlations
Description
Compute polychoric/polyserial/Pearson correlations with FIML in OpenMx.
Usage
umx_polytriowise(
data,
useDeviations = TRUE,
printFit = FALSE,
use = "any",
tryHard = c("no", "yes", "ordinal", "search")
)
Arguments
data |
Dataframe |
useDeviations |
Whether to code the mode using deviation thresholds (default = TRUE) |
printFit |
Whether to print information about the fit achieved (default = FALSE) |
use |
parameter (default = "any") |
tryHard |
'no' uses normal mxRun (default), "yes" uses mxTryHard, and others used named versions: "mxTryHardOrdinal", "mxTryHardWideSearch" |
Value
- matrix of correlations
References
- doi:10.3389/fpsyg.2016.00528
See Also
Other Data Functions:
noNAs(),
prolific_anonymize(),
prolific_check_ID(),
prolific_read_demog(),
umx,
umxFactor(),
umxHetCor(),
umx_as_numeric(),
umx_cont_2_quantiles(),
umx_lower2full(),
umx_make_MR_data(),
umx_make_TwinData(),
umx_make_fake_data(),
umx_make_raw_from_cov(),
umx_merge_randomized_columns(),
umx_polychoric(),
umx_polypairwise(),
umx_read_lower(),
umx_rename(),
umx_reorder(),
umx_score_scale(),
umx_select_valid(),
umx_stack(),
umx_strings2numeric()
Examples
tmp = mtcars
tmp$am = umxFactor(mtcars$am)
tmp$vs = umxFactor(mtcars$vs)
tmp = umx_scale(tmp)
x = umx_polytriowise(tmp[, c("hp", "mpg", "am", "vs")], tryHard = "yes")
x$R
cor(mtcars[, c("hp", "mpg", "am", "vs")])
Print tables in a range of formats (markdown default, see umx_set_table_format() for other formats)
or as a web browser table.
Description
To aid interpretability of printed tables from OpenMx (and elsewhere) you can change how NA and zero appear, and suppressing values below a certain cut-off. By default, Zeros have the decimals suppressed, and NAs are suppressed altogether.
Usage
umx_print(
x,
digits = getOption("digits"),
caption = NULL,
report = c("markdown", "html"),
file = c(NA, "tmp.html"),
na.print = "",
zero.print = "0",
justify = "none",
quote = FALSE,
suppress = NULL,
kableExtra = TRUE,
append = FALSE,
sortableDF = TRUE,
html_font = NULL,
style = c("paper", "material_dark", "classic", "classic_2", "minimal", "material"),
bootstrap_options = c("hover", "bordered", "condensed", "responsive"),
lightable_options = "striped",
both = TRUE,
...
)
Arguments
x |
A data.frame to print (matrices will be coerced to data.frame) |
digits |
The number of decimal places to print (getOption("digits")) |
caption |
Optional caption. |
report |
How to report the results. "html" = open in browser. |
file |
Whether to write to a file (defaults to NA (no file). Use "html" to open table in browser. |
na.print |
How to display NAs (default = "") |
zero.print |
How to display 0 values (default = "0") for sparse tables, using "." can produce more readable results. |
justify |
Parameter passed to print (defaults to "none") |
quote |
Whether or not to quote strings (FALSE) |
suppress |
Minimum numeric value to print (NULL = print all values, no matter how small) |
kableExtra |
Whether to print the table using kableExtra (if report="html") |
append |
If html, is this appended to file? (FALSE) |
sortableDF |
If html, is table sortable? (TRUE) |
html_font |
Override default font. e.g. "Times" or '"Arial Narrow", arial, helvetica, sans-s' |
style |
The style for the table "paper","material_dark" etc. |
bootstrap_options |
e.g. border etc. |
lightable_options |
e.g. striped |
both |
If html, is table also printed as markdown? (TRUE) |
... |
Optional parameters for print |
Value
A dataframe of text
See Also
umx_msg(), umx_set_table_format()
Other Miscellaneous Utility Functions:
install.OpenMx(),
libs(),
qm(),
umx,
umxLav2RAM(),
umxModelNames(),
umxRAM2Lav(),
umxVersion(),
umx_array_shift(),
umx_find_object(),
umx_lower.tri(),
umx_msg(),
umx_open_CRAN_page(),
umx_pad(),
umx_wide2long(),
umx_wide4lmer()
Examples
data(mtcars)
umx_print(mtcars[1:10,], digits = 2, zero.print = ".", justify = "left")
umx_print(mtcars[1,1:2], digits = 2, zero.print = "")
umx_print(mtcars[1,1:2], digits = 2, caption = "Hi: I'm the caption!")
## Not run:
umx_print(mtcars[1:10,], report = "html")
## End(Not run)
Test the difference between correlations for significance.
Description
umx_r_test is a wrapper around the cocor test of difference between correlations.
Usage
umx_r_test(
data = NULL,
vars = vars,
alternative = c("two.sided", "greater", "less")
)
Arguments
data |
The dataset. |
vars |
Three or 4 variables forming the two pairs of columns. |
alternative |
A two (default) or one-sided (greater less) test. |
Details
Non-overlapping (no variable in common) correlations in the same dataset.
If 4 variables are provided in vars, umx_r_test conducts a test of
the correlation of var 1 & 2 differs in magnitude from the correlation of var 3 with var 4.
(r.jk and r.hm in cocor speak).
Overlapping (1 variable in common) correlations in the same dataset.
If 3 variables are provided in vars, umx_r_test conducts a test of whether
the correlation of var 1 & 2 differs in magnitude from the correlation of var 1 with var 3.
(r.jk and r.jh in cocor speak).
In the future it will be expanded to handle other correlations, and to take correlations as input.
Value
cocor result.
See Also
Other Miscellaneous Stats Functions:
FishersMethod(),
SE_from_p(),
geometric_mean(),
harmonic_mean(),
oddsratio(),
reliability(),
umx,
umxCov2cor(),
umxHetCor(),
umxParan(),
umxWeightedAIC(),
umx_apply(),
umx_cor(),
umx_means(),
umx_round(),
umx_scale(),
umx_var()
Examples
# Is the correlation of mpg with cylinder count different from that
# obtaining between disp and hp?
vars = c("mpg", "cyl", "disp", "hp")
umx_r_test(mtcars, vars)
umx_r_test(mtcars, c("mpg", "disp", "hp"))
Read lower-triangle of data matrix from console or file
Description
umx_read_lower will read a lower triangle of data, either from the console, or from file, and return a full matrix, optionally coerced to positive definite. This is useful, especially when copying data from a paper that includes just the lower triangle of a correlation matrix.
Usage
umx_read_lower(file = "", diag = TRUE, names = NULL, ensurePD = FALSE)
Arguments
file |
Path to file (Default "" will read from user input) |
diag |
Whether data include diagonal (Default TRUE) |
names |
Variable names. (Default as.character(paste0("X", 1:n)) ) |
ensurePD |
Whether to coerce the resultant matrix to positive definite (Default FALSE) |
Value
References
See Also
Other Data Functions:
noNAs(),
prolific_anonymize(),
prolific_check_ID(),
prolific_read_demog(),
umx,
umxFactor(),
umxHetCor(),
umx_as_numeric(),
umx_cont_2_quantiles(),
umx_lower2full(),
umx_make_MR_data(),
umx_make_TwinData(),
umx_make_fake_data(),
umx_make_raw_from_cov(),
umx_merge_randomized_columns(),
umx_polychoric(),
umx_polypairwise(),
umx_polytriowise(),
umx_rename(),
umx_reorder(),
umx_score_scale(),
umx_select_valid(),
umx_stack(),
umx_strings2numeric()
Examples
## Not run:
require(umx) # for umxRAM
IQtests = c("brainstorm", "matrix", "moral", "shopping", "typing")
allCols = c("C", IQtests, "avgIQ", "maxIQ", "video")
df = umx_read_lower(diag = FALSE, names = allCols)
0.38
0.86 0.30
0.42 0.12 0.27
0.66 0.21 0.38 0.18
0.80 0.13 0.50 0.25 0.43
0.19 0.11 0.19 0.12 -0.06 0.22
0.27 0.09 0.33 0.05 -0.04 0.28 .73
0.52 0.17 0.38 0.37 0.39 0.44 0.18 0.13
dimnames(df) = list(allCols, allCols) # manually add
df = umx_read_lower(file = "", diag = FALSE, names = allCols, ensurePD= TRUE)
0.38
0.86 0.30
0.42 0.12 0.27
0.66 0.21 0.38 0.18
0.80 0.13 0.50 0.25 0.43
0.19 0.11 0.19 0.12 -0.06 0.22
0.27 0.09 0.33 0.05 -0.04 0.28 .73
0.52 0.17 0.38 0.37 0.39 0.44 0.18 0.13
round(df, 2)
m1 = umxRAM("wooley", data = mxData(df, type="cov", numObs = 90),
umxPath("g", to = IQtests),
umxPath(var = "g", fixedAt= 1),
umxPath(var = IQtests)
)
summary(m1)
## End(Not run)
umx_rename
Description
Returns a dataframe with variables renamed as desired.
Usage
umx_rename(
data,
from = NULL,
to = NULL,
regex = NULL,
test = FALSE,
old = "deprecated_from",
replace = "deprecated_to"
)
Arguments
data |
The dataframe in which to rename variables |
from |
List of existing names that will be found and replaced by the contents of replace. (optional: Defaults to NULL). |
to |
If used alone, a named collection of c(oldName = "newName") pairs. OR, if "from" is a list of existing names, the list of new names) OR, if "regex" is a regular expression, the replace string) |
regex |
Regular expression with matches will be replaced using replace as the replace string. (Optional: Defaults to NULL). |
test |
Whether to report a "dry run", not changing anything. (Default = FALSE). |
old |
deprecated: use from |
replace |
deprecated: use to |
Details
Unlike similar functions in other packages, it checks that the variables exist, and that the new names do not.
Importantly, it also supports regular expressions. This allows you to find and replace
text based on patterns and replacements. so to change "replacement" to "in place",
grep=re(place)ment, replace= in \\1.
note:To use replace list, you must say c(old = "new"), not c(old -> "new")
Value
dataframe with columns renamed.
See Also
namez to filter (and replace) names, Also umx_check_names to check for existence of names in a dataframe.
Other Data Functions:
noNAs(),
prolific_anonymize(),
prolific_check_ID(),
prolific_read_demog(),
umx,
umxFactor(),
umxHetCor(),
umx_as_numeric(),
umx_cont_2_quantiles(),
umx_lower2full(),
umx_make_MR_data(),
umx_make_TwinData(),
umx_make_fake_data(),
umx_make_raw_from_cov(),
umx_merge_randomized_columns(),
umx_polychoric(),
umx_polypairwise(),
umx_polytriowise(),
umx_read_lower(),
umx_reorder(),
umx_score_scale(),
umx_select_valid(),
umx_stack(),
umx_strings2numeric()
Examples
tmp = mtcars
tmp = umx_rename(tmp, to = c(cyl = "cylinder"))
# let's check cyl has been changed to cylinder...
namez(tmp, "c")
# Alternate style: from->to, first with a test-run
# Dry run
tmp = umx_rename(tmp, from = "disp", to = "displacement", test= TRUE)
# Actually do it
tmp = umx_rename(tmp, from = c("disp"), to = c("displacement"))
umx_check_names("displacement", data = tmp, die = TRUE)
namez(tmp, "disp")
# This will warn that "disp" does not exist (anymore)
new = c("auto", "displacement", "rear_axle_ratio")
tmp = umx_rename(tmp, from = c("am", "disp", "drat"), to = new)
namez(tmp, "a") # still updated am to auto (and rear_axle_ratio)
# Test using regex (in this case to revert "displacement" to "disp")
tmp = umx_rename(tmp, regex = "lacement", to = "", test= TRUE)
tmp = umx_rename(tmp, regex = "lacement", to = "") # revert to disp
umx_names(tmp, "^d") # all names beginning with a d
# dev: check deprecated format handled...
tmp = umx_rename(tmp, old = c("am", "disp", "drat"), replace = new)
Rename files
Description
Rename files. On OS X, the function can access the current front-most Finder window. The file renaming is fast and, because you can use regular expressions too change names.
Usage
umx_rename_file(
findStr = "old",
replaceStr = NA,
baseFolder = "Finder",
test = TRUE,
ignoreSuffix = TRUE,
listPattern = NULL,
overwrite = FALSE
)
Arguments
findStr |
The pattern to find, i.e., "cats" |
replaceStr |
The replacement pattern "\1 are not dogs" |
baseFolder |
Folder to search in. Default ("Finder") will use the current front-most Finder window (on MacOS). Set to NA for a "choose folder" dialog. |
test |
Boolean determining whether to change files on disk, or just report on what would have happened (Defaults to test = TRUE) |
ignoreSuffix |
Whether to ignore (don't search in) the suffix (file-type like .mpg) TRUE. |
listPattern |
A pre-filter for files |
overwrite |
Boolean determining if an existing file will be overwritten (Defaults to the safe FALSE) |
Value
None
See Also
Other File Functions:
dl_from_dropbox(),
umx,
umx_file_load_pseudo(),
umx_make_sql_from_excel(),
umx_move_file(),
umx_open(),
umx_write_to_clipboard()
Examples
## Not run:
# "Season 01" --> "S01" in current folder in MacOS Finder
umx_rename_file("[Ss]eason +([0-9]+)", replaceStr="S\\1", test = TRUE)
# move date to end of file name
umx_rename_file("^(.*) *([0-9]{2}\\.[0-9]{2}\\.[0-9]+) *(.*)", replaceStr="\\1 \\3 \\2")
## End(Not run)
Reorder or drop variables from a correlation/covariance matrix.
Description
Reorder the variables in a correlation matrix. Can also remove one or more variables from a matrix using this function.
Usage
umx_reorder(old, newOrder, force = FALSE)
Arguments
old |
a square matrix of correlation or covariances to reorder |
newOrder |
Variables you want in the order you wish to have |
force |
Just assume input is value (default = FALSE) |
Value
- the re-ordered/resized matrix
References
- <https://github.com/tbates/umx>
See Also
Other Data Functions:
noNAs(),
prolific_anonymize(),
prolific_check_ID(),
prolific_read_demog(),
umx,
umxFactor(),
umxHetCor(),
umx_as_numeric(),
umx_cont_2_quantiles(),
umx_lower2full(),
umx_make_MR_data(),
umx_make_TwinData(),
umx_make_fake_data(),
umx_make_raw_from_cov(),
umx_merge_randomized_columns(),
umx_polychoric(),
umx_polypairwise(),
umx_polytriowise(),
umx_read_lower(),
umx_rename(),
umx_score_scale(),
umx_select_valid(),
umx_stack(),
umx_strings2numeric()
Examples
oldMatrix = cov(mtcars)
umx_reorder(oldMatrix, newOrder = c("mpg", "cyl", "disp")) # first 3
umx_reorder(oldMatrix, newOrder = c("hp", "disp", "cyl")) # subset and reordered
umx_reorder(oldMatrix, "hp") # edge-case of just 1-var
Easily residualize variables in long or wide dataframes, returning them changed in-place.
Description
Residualize one or more variables residualized against covariates, and return a complete dataframe with residualized variable in place. Optionally, this also works on wide (i.e., twin) data. Just supply suffixes to identify the paired-wide columns (see examples).
Usage
umx_residualize(var, covs = NULL, suffixes = NULL, data)
Arguments
var |
The base name of the variable you want to residualize. Alternatively, a
regression |
covs |
Covariates to residualize on. |
suffixes |
Suffixes that identify the variable for each twin, i.e. c("_T1", "_T2") Up to you to check all variables are present! |
data |
The dataframe containing all the variables |
Details
In R, residuals for a variable can be found with the residuals function:
residuals(lm(mpg ~ wt + am, data = mtcars, na.action = na.exclude))
This result could then be written over the old DV column.
umx_residualize obviates the user having to build the lm, set na.action, or replace the data.
In addition, it has the powerful features of operating on a list of variables, and of operating on
wide data, expanding the var name using a set of variable-name suffixes.
Value
dataframe with var residualized in place (i.e under its original column name)
References
See Also
Other Twin Data functions:
umx,
umx_long2wide(),
umx_make_TwinData(),
umx_make_twin_data_nice(),
umx_scale_wide_twin_data(),
umx_wide2longTwinData(),
umx_yj_wide_twin_data()
Examples
# Residualize mpg on cylinders and displacement
r1 = umx_residualize("mpg", c("cyl", "disp"), data = mtcars)
r2 = residuals(lm(mpg ~ cyl + disp, data = mtcars, na.action = na.exclude))
all(r1$mpg == r2)
# =============================
# = Use the formula interface =
# =============================
r1 = umx_residualize(mpg ~ cyl + I(cyl^2) + disp, data = mtcars)
# validate against using lm
r2 = residuals(lm(mpg ~ cyl + I(cyl^2) + disp, data = mtcars, na.action = na.exclude))
all(r1$mpg == r2)
# ===========================================================
# = Residualize twin data (i.e. wide or "1 family per row") =
# ===========================================================
# Make some toy "twin" data to demonstrate with
tmp = mtcars
tmp$mpg_T1 = tmp$mpg_T2 = tmp$mpg
tmp$cyl_T1 = tmp$cyl_T2 = tmp$cyl
tmp$disp_T1 = tmp$disp_T2 = tmp$disp
covs = c("cyl", "disp")
tmp= umx_residualize(var="mpg", covs=covs, suffixes=c("_T1","_T2"), data = tmp)
str(tmp[1:5, 12:17])
# ===================================
# = Residualize several DVs at once =
# ===================================
df1 = umx_residualize(c("mpg", "hp"), cov = c("cyl", "disp"), data = tmp)
df2 = residuals(lm(hp ~ cyl + disp, data = tmp, na.action = na.exclude))
all(df1$hp == df2)
Rotate a vector
Description
umx_rot rotates the items of a vector (1 place, by default). So: c(1,2,3) -> c(2,3,1)
Usage
umx_rot(vec, na.last = FALSE)
Arguments
vec |
vector to rotate |
na.last |
Whether to set the last value to NA (default = FALSE) |
Value
References
See Also
Other String Functions:
umx,
umx_explode(),
umx_explode_twin_names(),
umx_grep(),
umx_names(),
umx_paste_names(),
umx_str_chars(),
umx_str_from_object(),
umx_trim()
Examples
umx_rot(1:10)
umx_rot(c(3,4,5,6,7))
# [1] 4 5 6 7 3
umx_round
Description
A version of round() which works on dataframes that contain non-numeric data (or data that cannot be coerced to numeric) Helpful for dealing with table output that mixes numeric and string types.
Usage
umx_round(df, digits = getOption("digits"), coerce = FALSE)
Arguments
df |
a dataframe to round in |
digits |
how many digits to round to (defaults to getOption("digits")) |
coerce |
whether to make the column numeric if it is not (default = FALSE) |
Value
References
See Also
Other Miscellaneous Stats Functions:
FishersMethod(),
SE_from_p(),
geometric_mean(),
harmonic_mean(),
oddsratio(),
reliability(),
umx,
umxCov2cor(),
umxHetCor(),
umxParan(),
umxWeightedAIC(),
umx_apply(),
umx_cor(),
umx_means(),
umx_r_test(),
umx_scale(),
umx_var()
Examples
head(umx_round(mtcars, coerce = FALSE))
head(umx_round(mtcars, coerce = TRUE))
Scale data columns, skipping non-scalable columns
Description
umx_scale applies scale() to the columns of a data.frame. By default it scales all numeric columns,
and is smart enough to skip non-scalable columns (strings, factors, etc.).
You can also select which columns to convert. This is useful when you want to avoid numeric columns which are actually factors.
note: By default, the scale() function adds attributes() ("scaled:center" and
"scaled:scale", umx_scale removes these leaving nice numeric columns. Set attr= TRUE to preserve them.
Usage
umx_scale(
df,
varsToScale = NULL,
coerce = FALSE,
attr = FALSE,
verbose = FALSE
)
Arguments
df |
A dataframe to scale (or a numeric vector) |
varsToScale |
(leave blank to scale all) |
coerce |
Whether to coerce non-numerics to numeric (Defaults to FALSE. |
attr |
to strip off the attributes scale creates (FALSE by default) |
verbose |
Whether to report which columns were scaled (default FALSE) |
Value
new dataframe with scaled variables
References
See Also
umx_scale_wide_twin_data scale
Other Miscellaneous Stats Functions:
FishersMethod(),
SE_from_p(),
geometric_mean(),
harmonic_mean(),
oddsratio(),
reliability(),
umx,
umxCov2cor(),
umxHetCor(),
umxParan(),
umxWeightedAIC(),
umx_apply(),
umx_cor(),
umx_means(),
umx_r_test(),
umx_round(),
umx_var()
Examples
data(twinData)
# note: this example is here to remind us why scaling independently for each
# twin would be very bad! Use umx_scale_wide_twin_data() instead!
df = umx_scale(twinData, varsToScale = c("wt1", "wt2"))
df = umx_scale(twinData, attr= TRUE)
plot(wt1 ~ wt2, data = df)
Scale wide twin data
Description
Scale wide data across all twins. You offer up a list of variables to scale, e.g. c("DEP", "bmi")
and the separator (e.g. sep = "_T") and twin suffixes e.g. 1:2 that paste together to make
complete variable names: e.g. "DEP_T1" and "DEP_T2".
Usage
umx_scale_wide_twin_data(varsToScale, sep, data, twins = 1:2)
Arguments
varsToScale |
The base names of the variables ("weight" etc.) |
sep |
The suffix that distinguishes each case, e.g. "_T") |
data |
A wide dataframe |
twins |
Legal digits following sep (default 1:2) |
Value
dataframe with varsToScale standardized
References
See Also
umx_scale
Other Twin Data functions:
umx,
umx_long2wide(),
umx_make_TwinData(),
umx_make_twin_data_nice(),
umx_residualize(),
umx_wide2longTwinData(),
umx_yj_wide_twin_data()
Examples
data(twinData)
df = umx_scale_wide_twin_data(data = twinData, varsToScale = c("ht", "wt"), sep = "")
plot(wt1 ~ wt2, data = df)
Score a psychometric scale by summing normal and reversed items.
Description
Use this function to generate scores as the appropriate sum of responses to the normal and reversed items in a scale.
Items must be named on the pattern basename + N + suffix, where base is the prefix common to all item (column) names, N is item number in the scale, and suffix an optional trail (like "_T1").
pos and rev are vectors of the item numbers for the normal and reverse-scored item numbers.
To reverse items, the function uses max and min as the lowest and highest possible response scores to compute how to reverse items.
note: min defaults to 1.
TIP: If you have strings, umx_score_scale will work (use mapStrings = ). BUT if you want to make a numeric copy, use umx_strings2numeric
Usage
umx_score_scale(
base = NULL,
pos = NULL,
rev = NULL,
min = 1,
max = NULL,
data = NULL,
score = c("total", "proportionCorrect", "errors", "mean", "max", "factor"),
name = NULL,
na.rm = TRUE,
minManifests = NA,
alpha = FALSE,
mapStrings = NULL,
correctAnswer = NULL,
omegaNfactors = 1,
digits = 2,
verbose = FALSE,
suffix = ""
)
Arguments
base |
String common to all item names. |
pos |
The positive-scored item numbers. |
rev |
The reverse-scored item numbers. |
min |
Minimum legal response value (default = 1). Not implemented for values other than 1 so far... |
max |
Maximum legal response value (also used to compute reversed item values). |
data |
The data frame |
score |
Score total (default), proportionCorrect, errors, mean, max, or factor scores |
name |
The name of the scale to be returned. Defaults to " |
na.rm |
Whether to delete NAs when computing scores (Default = TRUE) Note: Choice affects mean! |
minManifests |
How many missing items to tolerate for an individual (when score = factor) |
alpha |
print Reliability (omega and Cronbach's alpha) (TRUE) |
mapStrings |
Recoding input like "No"/"Maybe"/"Yes" into numeric values (0,1,2) |
correctAnswer |
Use when scoring items with one correct response (1/0). |
omegaNfactors |
Number of factors for the omega reliability (default = 1) |
digits |
Rounding for omega etc. (default 2) |
verbose |
Whether to print the whole omega output (FALSE) |
suffix |
(if dealing with, e.g. "_T1") |
Details
In the presence of NAs, score= "mean" and score = "totals" both return NA unless na.rm = TRUE.
score = "max", ignores NAs no matter what.
Value
scores
References
Revelle, W. (2022) psych: Procedures for Personality and Psychological Research, Northwestern University, Evanston, Illinois, USA, https://CRAN.R-project.org/package=psych Version = 2.2.9.
McNeish, D. (2018). Thanks coefficient alpha, we’ll take it from here. Psychological Methods, 23, 412-433. doi:10.1037/met0000144.
See Also
umx_strings2numeric
Other Data Functions:
noNAs(),
prolific_anonymize(),
prolific_check_ID(),
prolific_read_demog(),
umx,
umxFactor(),
umxHetCor(),
umx_as_numeric(),
umx_cont_2_quantiles(),
umx_lower2full(),
umx_make_MR_data(),
umx_make_TwinData(),
umx_make_fake_data(),
umx_make_raw_from_cov(),
umx_merge_randomized_columns(),
umx_polychoric(),
umx_polypairwise(),
umx_polytriowise(),
umx_read_lower(),
umx_rename(),
umx_reorder(),
umx_select_valid(),
umx_stack(),
umx_strings2numeric()
Examples
library(psych)
library(psychTools)
data(bfi)
# ==============================
# = Score Agreeableness totals =
# ==============================
# Handscore subject 1
# A1(R)+A2+A3+A4+A5 = (6+1)-2 +4+3+4+4 = 20
tmp = umx_score_scale(base = "A", pos = 2:5, rev = 1, max = 6, data= bfi, name = "A")
tmp[1, namez(tmp, "A",ignore.case = FALSE)]
# A1 A2 A3 A4 A5 A
# 2 4 3 4 4 20
# ====================
# = Request the mean =
# ====================
tmp = umx_score_scale(name = "A", base = "A",
pos = 2:5, rev = 1, max = 6, data= bfi, score="mean")
tmp$A[1] # = 4
# ========================
# = Request factor score =
# ========================
## Not run:
tmp = umx_score_scale(name = "A", base = "A", pos = 2:5, rev = 1,
max = 6, score = "factor", minManifests = 4, data= bfi)
# g
# A2 0.6574826
# A3 0.7581274
# A4 0.4814788
# A5 0.6272332
# A1 0.3736021
# ==================
# = Request alpha =
# ==================
tmp=umx_score_scale(base="A", pos=2:5, rev=1, max=6, data=bfi, alpha=TRUE)
# omega t = 0.72
## End(Not run)
# ==================
# = na.rm = TRUE ! =
# ==================
tmpDF = bfi
tmpDF[1, "A1"] = NA
tmp = umx_score_scale("A", pos = 2:5, rev = 1, max = 6, data= tmpDF, score="mean")
tmp$A_score[1] # 3.75
tmp= umx_score_scale("A", pos= 2:5, rev= 1, max = 6, data = tmpDF,
score="mean", na.rm=FALSE)
tmp$A_score[1] # NA (reject cases with missing items)
# ===============
# = Score = max =
# ===============
tmp = umx_score_scale("A", pos = 2:5, rev = 1, max = 6,
data = bfi, name = "A", score = "max")
tmp$A[1] # Subject 1 max = 5 (reversed) item 1
# Default scale name
tmp = umx_score_scale("E", pos = 3:5, rev = 1:2, max = 6,
data= tmp, score = "mean", na.rm = FALSE)
tmp$E_score[1]
# Using @BillRevelle's psych package: More diagnostics, including alpha
scores= psych::scoreItems(items = bfi, min = 1, max = 6, keys = list(
E = c("-E1","-E2", "E3", "E4", "E5"),
A = c("-A1", "A2", "A3", "A4", "A5")
))
summary(scores)
scores$scores[1, ]
# E A
# 3.8 4.0
# Compare output
# (note, by default psych::scoreItems replaces NAs with the sample median...)
RevelleE = as.numeric(scores$scores[,"E"])
RevelleE == tmp[,"E_score"]
# =======================
# = MapStrings examples =
# =======================
mapStrings = c(
"Very Inaccurate", "Moderately Inaccurate",
"Slightly Inaccurate", "Slightly Accurate",
"Moderately Accurate", "Very Accurate")
bfi$As1 = factor(bfi$A1, levels = 1:6, labels = mapStrings)
bfi$As2 = factor(bfi$A2, levels = 1:6, labels = mapStrings)
bfi$As3 = factor(bfi$A3, levels = 1:6, labels = mapStrings)
bfi$As4 = factor(bfi$A4, levels = 1:6, labels = mapStrings)
bfi$As5 = factor(bfi$A5, levels = 1:6, labels = mapStrings)
bfi= umx_score_scale(name="A" , base="A", pos=2:5, rev=1, max=6, data=bfi)
bfi= umx_score_scale(name="As", base="As", pos=2:5, rev=1, mapStrings = mapStrings, data= bfi)
Update NA values in one column with valid entries from another
Description
Merge valid entries from two columns
Usage
umx_select_valid(col1, col2, bothways = FALSE, data)
Arguments
col1 |
name of the first column |
col2 |
name of the second column |
bothways |
Whether to replace from 1 to 2 as well as from 2 to 1 |
data |
The dataframe containing the two columns. |
Value
Updated dataframe
See Also
Other Data Functions:
noNAs(),
prolific_anonymize(),
prolific_check_ID(),
prolific_read_demog(),
umx,
umxFactor(),
umxHetCor(),
umx_as_numeric(),
umx_cont_2_quantiles(),
umx_lower2full(),
umx_make_MR_data(),
umx_make_TwinData(),
umx_make_fake_data(),
umx_make_raw_from_cov(),
umx_merge_randomized_columns(),
umx_polychoric(),
umx_polypairwise(),
umx_polytriowise(),
umx_read_lower(),
umx_rename(),
umx_reorder(),
umx_score_scale(),
umx_stack(),
umx_strings2numeric()
Examples
tmp = mtcars
tmp$newDisp = tmp$disp
tmp$disp[c(1,3,6)] = NA
anyNA(tmp$disp) # column has NAs
tmp = umx_select_valid("disp", "newDisp", data = tmp)
anyNA(tmp$disp) # column repaired
umx_set_auto_plot
Description
Set autoPlot default for models like umxACE umxGxE etc.
Usage
umx_set_auto_plot(autoPlot = NULL, silent = FALSE)
Arguments
autoPlot |
If TRUE, sets the umx_auto_plot option. Else returns the current value of umx_auto_plot |
silent |
If TRUE, no message will be printed. |
Value
Current umx_auto_plot setting
existing value
References
See Also
Other Get and set:
umx,
umx_get_alphas(),
umx_get_checkpoint(),
umx_get_options(),
umx_set_auto_run(),
umx_set_checkpoint(),
umx_set_condensed_slots(),
umx_set_cores(),
umx_set_data_variance_check(),
umx_set_dollar_symbol(),
umx_set_optimization_options(),
umx_set_optimizer(),
umx_set_plot_file_suffix(),
umx_set_plot_format(),
umx_set_separator(),
umx_set_silent(),
umx_set_table_format()
Examples
library(umx)
umx_set_auto_plot() # print current state
old = umx_set_auto_plot(silent = TRUE) # store existing value
old
umx_set_auto_plot(TRUE) # set to on (internally stored as "name")
umx_set_auto_plot(FALSE) # set to off (internally stored as NA)
umx_set_auto_plot(old) # reinstate
Automatically run models?
Description
Set autoRun default for models like umxRAM(), umxACE() etc.
Usage
umx_set_auto_run(autoRun = NA, silent = FALSE)
Arguments
autoRun |
If TRUE or FALSE, sets the umx_auto_run option. Else returns the current value of umx_auto_run |
silent |
If TRUE, no message will be printed. |
Value
Current umx_auto_run setting
See Also
Other Get and set:
umx,
umx_get_alphas(),
umx_get_checkpoint(),
umx_get_options(),
umx_set_auto_plot(),
umx_set_checkpoint(),
umx_set_condensed_slots(),
umx_set_cores(),
umx_set_data_variance_check(),
umx_set_dollar_symbol(),
umx_set_optimization_options(),
umx_set_optimizer(),
umx_set_plot_file_suffix(),
umx_set_plot_format(),
umx_set_separator(),
umx_set_silent(),
umx_set_table_format()
Examples
library(umx)
umx_set_auto_run() # print existing value
old = umx_set_auto_run(silent = TRUE) # store existing value
umx_set_auto_run(FALSE) # set to FALSE
umx_set_auto_run(old) # reinstate
umx_set_checkpoint
Description
Set the checkpoint status for a model or global options
Usage
umx_set_checkpoint(
interval = 1,
units = c("evaluations", "iterations", "minutes"),
prefix = "",
directory = getwd(),
model = NULL
)
Arguments
interval |
How many units between checkpoints: Default = 1. A value of zero sets always to 'No' (i.e., do not checkpoint all models during optimization) |
units |
units to count in: Default unit is 'evaluations' ('minutes' is also legal) |
prefix |
string prefix to add to all checkpoint filenames (default = "") |
directory |
a directory, i.e "~/Desktop" (defaults to getwd()) |
model |
(optional) model to set options in (default = NULL) |
Value
mxModel if provided
References
See Also
Other Get and set:
umx,
umx_get_alphas(),
umx_get_checkpoint(),
umx_get_options(),
umx_set_auto_plot(),
umx_set_auto_run(),
umx_set_condensed_slots(),
umx_set_cores(),
umx_set_data_variance_check(),
umx_set_dollar_symbol(),
umx_set_optimization_options(),
umx_set_optimizer(),
umx_set_plot_file_suffix(),
umx_set_plot_format(),
umx_set_separator(),
umx_set_silent(),
umx_set_table_format()
Examples
## Not run:
umx_set_checkpoint(interval = 1, "evaluations", dir = "~/Desktop/")
# Turn off checkpointing with interval = 0
umx_set_checkpoint(interval = 0)
umx_set_checkpoint(2, "evaluations", prefix="SNP_1")
require(umx)
data(demoOneFactor)
manifests = names(demoOneFactor)
m1 = umxRAM("One Factor", data = demoOneFactor, type = "cov",
umxPath("G", to = manifests),
umxPath(var = manifests),
umxPath(var = "G", fixedAt = 1)
)
m1 = umx_set_checkpoint(model = m1)
m1 = mxRun(m1)
umx_checkpoint(0)
## End(Not run)
umx_set_condensed_slots
Description
Sets whether newly-created mxMatrices are to be condensed (set to NULL if not being used) or not.
Usage
umx_set_condensed_slots(state = NA, silent = FALSE)
Arguments
state |
what state (TRUE or FALSE) to set condensed slots (default NA returns current value). |
silent |
If TRUE, no message will be printed. |
Value
current value of condensed slots
References
See Also
Other Get and set:
umx,
umx_get_alphas(),
umx_get_checkpoint(),
umx_get_options(),
umx_set_auto_plot(),
umx_set_auto_run(),
umx_set_checkpoint(),
umx_set_cores(),
umx_set_data_variance_check(),
umx_set_dollar_symbol(),
umx_set_optimization_options(),
umx_set_optimizer(),
umx_set_plot_file_suffix(),
umx_set_plot_format(),
umx_set_separator(),
umx_set_silent(),
umx_set_table_format()
Examples
library(umx)
umx_set_condensed_slots() # print
old = umx_set_condensed_slots(silent = TRUE) # store the existing state
umx_set_condensed_slots(TRUE) # update globally
umx_set_condensed_slots(old) # set back
umx_set_cores
Description
set the number of cores (threads) used by OpenMx
Usage
umx_set_cores(cores = NA, model = NULL, silent = FALSE)
Arguments
cores |
number of cores to use. NA (the default) returns current value. "-1" will set to |
model |
an (optional) model to set. If left NULL, the global option is updated. |
silent |
If TRUE, no message will be printed. |
Value
number of cores
References
See Also
Other Get and set:
umx,
umx_get_alphas(),
umx_get_checkpoint(),
umx_get_options(),
umx_set_auto_plot(),
umx_set_auto_run(),
umx_set_checkpoint(),
umx_set_condensed_slots(),
umx_set_data_variance_check(),
umx_set_dollar_symbol(),
umx_set_optimization_options(),
umx_set_optimizer(),
umx_set_plot_file_suffix(),
umx_set_plot_format(),
umx_set_separator(),
umx_set_silent(),
umx_set_table_format()
Examples
library(umx)
manifests = c("mpg", "disp", "gear")
m1 = mxModel("ind", type = "RAM",
manifestVars = manifests,
mxPath(from = manifests, arrows = 2),
mxPath(from = "one", to = manifests),
mxData(mtcars[, manifests], type = "raw")
)
umx_set_cores() # print current value
oldCores = umx_set_cores(silent = TRUE) # store existing value
umx_set_cores(omxDetectCores()) # set to max
umx_set_cores(-1); umx_set_cores() # set to max
m1 = umx_set_cores(1, m1) # set m1 usage to 1 core
umx_set_cores(model = m1) # show new value for m1
umx_set_cores(oldCores) # reinstate old global value
umx_set_data_variance_check
Description
Set default for data checking in models like umxACE umxGxE etc.
Usage
umx_set_data_variance_check(minVar = NULL, maxVarRatio = NULL, silent = FALSE)
Arguments
minVar |
Set the threshold at which to warn user about variables with too-small variance. Else returns the current value of umx_minVar |
maxVarRatio |
Set the option for threshold at which to warn user variances differ too much. Else returns the current value of umx_maxVarRatio |
silent |
If TRUE, no message will be printed. |
Value
- list of umx_minVar and umx_maxVarRatio settings
See Also
xmu_check_variance which uses these to check sanity in the variances of a data frame.
Other Get and set:
umx,
umx_get_alphas(),
umx_get_checkpoint(),
umx_get_options(),
umx_set_auto_plot(),
umx_set_auto_run(),
umx_set_checkpoint(),
umx_set_condensed_slots(),
umx_set_cores(),
umx_set_dollar_symbol(),
umx_set_optimization_options(),
umx_set_optimizer(),
umx_set_plot_file_suffix(),
umx_set_plot_format(),
umx_set_separator(),
umx_set_silent(),
umx_set_table_format()
Examples
library(umx)
umx_set_data_variance_check() # print current state
old = umx_set_data_variance_check(silent = TRUE) # store existing value
umx_set_data_variance_check(minVar = .01)
umx_set_data_variance_check(maxVarRatio = 500)
umx_set_data_variance_check(minVar = old$minVar, maxVarRatio = old$maxVarRatio) # reinstate
Set the symbol for money
Description
Set umx_set_dollar_symbol (used in e.g. [fin_interest()]
Usage
umx_set_dollar_symbol(umx.dollar.symbol = NULL, silent = FALSE)
Arguments
umx.dollar.symbol |
symbol for money calculations. |
silent |
If TRUE, no message will be printed. |
Value
- Current umx.dollar.symbol
See Also
Other Get and set:
umx,
umx_get_alphas(),
umx_get_checkpoint(),
umx_get_options(),
umx_set_auto_plot(),
umx_set_auto_run(),
umx_set_checkpoint(),
umx_set_condensed_slots(),
umx_set_cores(),
umx_set_data_variance_check(),
umx_set_optimization_options(),
umx_set_optimizer(),
umx_set_plot_file_suffix(),
umx_set_plot_format(),
umx_set_separator(),
umx_set_silent(),
umx_set_table_format()
Examples
library(umx)
umx_set_dollar_symbol() # show current state
old = umx_set_dollar_symbol(silent=TRUE) # store existing value
fin_interest(100)
umx_set_dollar_symbol(old) # reinstate
Set options that affect optimization in OpenMx
Description
umx_set_optimization_options provides access to get and set options affecting optimization.
Usage
umx_set_optimization_options(
opt = c("mvnRelEps", "mvnMaxPointsA", "Parallel diagnostics"),
value = NULL,
model = NULL,
silent = FALSE
)
Arguments
opt |
default returns current values of the options listed. Currently "mvnRelEps", "mvnMaxPointsA", and "Parallel diagnostics". |
value |
If not NULL, the value to set the opt to (can be a list of length(opt)) |
model |
A model for which to set the optimizer. Default (NULL) sets the optimizer globally. |
silent |
If TRUE, no message will be printed. |
Details
note: For mvnRelEps, values between .0001 to .01 are conventional. Smaller values slow optimization.
Value
current values if no value set.
References
See Also
Other Get and set:
umx,
umx_get_alphas(),
umx_get_checkpoint(),
umx_get_options(),
umx_set_auto_plot(),
umx_set_auto_run(),
umx_set_checkpoint(),
umx_set_condensed_slots(),
umx_set_cores(),
umx_set_data_variance_check(),
umx_set_dollar_symbol(),
umx_set_optimizer(),
umx_set_plot_file_suffix(),
umx_set_plot_format(),
umx_set_separator(),
umx_set_silent(),
umx_set_table_format()
Examples
# show current value for selected or all options
umx_set_optimization_options() # print the existing state(s)
umx_set_optimization_options("mvnRelEps")
## Not run:
umx_set_optimization_options("mvnRelEps", .01) # update globally
umx_set_optimization_options("Parallel diagnostics", value = "Yes")
## End(Not run)
Set the optimizer in OpenMx
Description
umx_set_optimizer provides an easy way to get and set the default optimizer.
Usage
umx_set_optimizer(opt = NA, model = NULL, silent = FALSE)
Arguments
opt |
default (NA) returns current value. Current alternatives are "NPSOL" "SLSQP" and "CSOLNP". |
model |
A model for which to set the optimizer. Default (NULL) sets the optimizer globally. |
silent |
If TRUE, no message will be printed. |
Value
current optimizer if nothing requested to be set.
References
See Also
Other Get and set:
umx,
umx_get_alphas(),
umx_get_checkpoint(),
umx_get_options(),
umx_set_auto_plot(),
umx_set_auto_run(),
umx_set_checkpoint(),
umx_set_condensed_slots(),
umx_set_cores(),
umx_set_data_variance_check(),
umx_set_dollar_symbol(),
umx_set_optimization_options(),
umx_set_plot_file_suffix(),
umx_set_plot_format(),
umx_set_separator(),
umx_set_silent(),
umx_set_table_format()
Examples
library(umx)
umx_set_optimizer() # print the existing state
old = umx_set_optimizer(silent = TRUE) # store the existing state
umx_set_optimizer("SLSQP") # update globally
umx_set_optimizer(old) # set back
Set output suffix used in umx SEM diagram files saved to disk.
Description
umx SEM diagram files can have a suffix of "gv" (default) or "dot".
Interrogate the setting by calling with no value: it will return the current setting.
To change the setting call with "gv" or "dot". Or use TRUE to toggle the setting.
Usage
umx_set_plot_file_suffix(umx.plot.suffix = NULL, silent = FALSE)
Arguments
umx.plot.suffix |
The suffix for plot files (if empty current value is returned). "TRUE", toggles setting. |
silent |
If TRUE, no message will be printed. |
Value
Current setting
References
See Also
Other Get and set:
umx,
umx_get_alphas(),
umx_get_checkpoint(),
umx_get_options(),
umx_set_auto_plot(),
umx_set_auto_run(),
umx_set_checkpoint(),
umx_set_condensed_slots(),
umx_set_cores(),
umx_set_data_variance_check(),
umx_set_dollar_symbol(),
umx_set_optimization_options(),
umx_set_optimizer(),
umx_set_plot_format(),
umx_set_separator(),
umx_set_silent(),
umx_set_table_format()
Examples
umx_set_plot_file_suffix() # print current state
old = umx_set_plot_file_suffix(silent = TRUE) # store current value
umx_set_plot_file_suffix("dot")
umx_set_plot_file_suffix("gv")
umx_set_plot_file_suffix(old) # reinstate
Set output format of plots (structural diagrams) in umx
Description
Set output format of plots (default = "DiagrammeR::DiagrammeR()", alternatives are graphviz, svg, png, pdf). If you call this with no
value, it will return the current setting. If you call it with TRUE, it toggles the setting.
Usage
umx_set_plot_format(umx.plot.format = NULL, silent = FALSE)
Arguments
umx.plot.format |
format for plots (if empty, returns the current value of umx.plot.format). If "TRUE", then toggles |
silent |
If TRUE, no message will be printed. |
Value
Current umx.plot.format setting
References
See Also
Other Get and set:
umx,
umx_get_alphas(),
umx_get_checkpoint(),
umx_get_options(),
umx_set_auto_plot(),
umx_set_auto_run(),
umx_set_checkpoint(),
umx_set_condensed_slots(),
umx_set_cores(),
umx_set_data_variance_check(),
umx_set_dollar_symbol(),
umx_set_optimization_options(),
umx_set_optimizer(),
umx_set_plot_file_suffix(),
umx_set_separator(),
umx_set_silent(),
umx_set_table_format()
Examples
library(umx)
umx_set_plot_format() # print current state
old = umx_set_plot_format(silent = TRUE) # store current value
umx_set_plot_format("graphviz")
umx_set_plot_format("DiagrammeR")
umx_set_plot_format("png")
umx_set_plot_format("pdf")
umx_set_plot_format(old) # reinstate
Set the separator
Description
Set umx_default_separator (used in CI\[low sep high\] ). Default = ","
Usage
umx_set_separator(umx_default_separator = NULL, silent = FALSE)
Arguments
umx_default_separator |
separator for CIs etc. (if empty, returns the current value) |
silent |
If TRUE, no message will be printed. |
Value
- Current umx_default_separator
See Also
Other Get and set:
umx,
umx_get_alphas(),
umx_get_checkpoint(),
umx_get_options(),
umx_set_auto_plot(),
umx_set_auto_run(),
umx_set_checkpoint(),
umx_set_condensed_slots(),
umx_set_cores(),
umx_set_data_variance_check(),
umx_set_dollar_symbol(),
umx_set_optimization_options(),
umx_set_optimizer(),
umx_set_plot_file_suffix(),
umx_set_plot_format(),
umx_set_silent(),
umx_set_table_format()
Examples
library(umx)
umx_set_separator() # show current state
old = umx_set_separator(silent=TRUE) # store existing value
umx_set_separator("|")
umxAPA(.3, .2)
umx_set_separator(old) # reinstate
Turn off most console and summary output from umx
Description
Running multiple analyses or simulations, it can be handy to turn off the automatic summary,
graphing, and printing that umx does to help interactive sessions. umx_set_silent does this.
Summary and graph output, as well as progress and durable console output will be suppressed.
Usage
umx_set_silent(value = NA, silent = FALSE)
Arguments
value |
Boolean stating if umx Models should run silently (TRUE). |
silent |
If TRUE, this function itself will just return the state of the option, with no user message. |
Details
Not every function knows about silent, but most, like umxRAM() etc do.
Under the hood, umx_set_silent sets options("umx_silent"). This can be set to either TRUE or FALSE.
If TRUE, then the progress messages from model runs are suppressed. Useful for power simulations etc.
Value
Current silent value
References
See Also
Other Get and set:
umx,
umx_get_alphas(),
umx_get_checkpoint(),
umx_get_options(),
umx_set_auto_plot(),
umx_set_auto_run(),
umx_set_checkpoint(),
umx_set_condensed_slots(),
umx_set_cores(),
umx_set_data_variance_check(),
umx_set_dollar_symbol(),
umx_set_optimization_options(),
umx_set_optimizer(),
umx_set_plot_file_suffix(),
umx_set_plot_format(),
umx_set_separator(),
umx_set_table_format()
Examples
library(umx)
old = umx_set_silent() # print & store existing value
umx_set_silent(FALSE, silent = TRUE) # set to FALSE
umx_set_silent(old) # reinstate
umx_set_silent() # print existing value
umx_set_table_format
Description
Set knitr.table.format default (output style for tables). Legal values are "latex", "html", "markdown", "pandoc", and "rst".
Usage
umx_set_table_format(knitr.table.format = NULL, silent = FALSE)
Arguments
knitr.table.format |
format for tables (if empty, returns the current value of knitr.table.format) |
silent |
If TRUE, no message will be printed. |
Value
Current knitr.table.format setting
References
See Also
Other Get and set:
umx,
umx_get_alphas(),
umx_get_checkpoint(),
umx_get_options(),
umx_set_auto_plot(),
umx_set_auto_run(),
umx_set_checkpoint(),
umx_set_condensed_slots(),
umx_set_cores(),
umx_set_data_variance_check(),
umx_set_dollar_symbol(),
umx_set_optimization_options(),
umx_set_optimizer(),
umx_set_plot_file_suffix(),
umx_set_plot_format(),
umx_set_separator(),
umx_set_silent()
Examples
library(umx)
umx_set_table_format() # show current state
old = umx_set_table_format() # store existing value
umx_set_table_format("latex")
umx_set_table_format("html")
umx_set_table_format("markdown")
umx_set_table_format("") # get available options
umx_set_table_format(old) # reinstate
Stack data like stack() does, with more control.
Description
Operates like stack(), but can preserve ("passalong") other variables on each row,
and allows the user control over the values and group column names for ease of use.
Usage
umx_stack(x, select, passalong, valuesName = "values", groupName = "ind")
Arguments
x |
a dataframe containing twin data. |
select |
The variables to stack (wide 2 long) |
passalong |
Variables to preserve on each row (e.g. age) |
valuesName |
The name for the new stacked column (default = "values") |
groupName |
The name for the column containing the grouping variable (default = "ind") |
Value
long-format dataframe
See Also
Other Data Functions:
noNAs(),
prolific_anonymize(),
prolific_check_ID(),
prolific_read_demog(),
umx,
umxFactor(),
umxHetCor(),
umx_as_numeric(),
umx_cont_2_quantiles(),
umx_lower2full(),
umx_make_MR_data(),
umx_make_TwinData(),
umx_make_fake_data(),
umx_make_raw_from_cov(),
umx_merge_randomized_columns(),
umx_polychoric(),
umx_polypairwise(),
umx_polytriowise(),
umx_read_lower(),
umx_rename(),
umx_reorder(),
umx_score_scale(),
umx_select_valid(),
umx_strings2numeric()
Examples
# Base-R stack function
df = stack(mtcars, select = c("disp", "hp"), drop=FALSE)
# umx_stack, with additional variables passed along
df= umx_stack(mtcars, select= c("disp", "hp"), passalong= "mpg")
str(df) # ind is a factor, with levels select
ggplot2::qplot(x = mpg, y= values, color=ind, data = df)
Return a standardized version of a Structural Model
Description
Return the standardized version of a model (such as ACE, CP etc.)
Versions exist for RAM, ACE, ACEv, ACEcov, IP, CP and GxE models.
Usage
umx_standardize(model, ...)
Arguments
model |
The |
... |
Other parameters. |
Details
umx_standardize takes umx models, including RAM and twin models, and returns a standardized version.
See Also
Other xmu internal not for end user:
umxModel(),
umxRenameMatrix(),
umx_APA_pval(),
umx_fun_mean_sd(),
umx_get_bracket_addresses(),
umx_make(),
umx_string_to_algebra(),
xmuHasSquareBrackets(),
xmuLabel_MATRIX_Model(),
xmuLabel_Matrix(),
xmuLabel_RAM_Model(),
xmuMI(),
xmuMakeDeviationThresholdsMatrices(),
xmuMakeOneHeadedPathsFromPathList(),
xmuMakeTwoHeadedPathsFromPathList(),
xmuMaxLevels(),
xmuMinLevels(),
xmuPropagateLabels(),
xmuRAM2Ordinal(),
xmuTwinSuper_Continuous(),
xmuTwinSuper_NoBinary(),
xmuTwinUpgradeMeansToCovariateModel(),
xmu_CI_merge(),
xmu_CI_stash(),
xmu_DF_to_mxData_TypeCov(),
xmu_PadAndPruneForDefVars(),
xmu_bracket_address2rclabel(),
xmu_cell_is_on(),
xmu_check_levels_identical(),
xmu_check_needs_means(),
xmu_check_variance(),
xmu_clean_label(),
xmu_data_missing(),
xmu_data_swap_a_block(),
xmu_describe_data_WLS(),
xmu_dot_make_paths(),
xmu_dot_make_residuals(),
xmu_dot_maker(),
xmu_dot_move_ranks(),
xmu_dot_rank_str(),
xmu_extract_column(),
xmu_get_CI(),
xmu_lavaan_process_group(),
xmu_make_TwinSuperModel(),
xmu_make_bin_cont_pair_data(),
xmu_make_mxData(),
xmu_match.arg(),
xmu_name_from_lavaan_str(),
xmu_path2twin(),
xmu_path_regex(),
xmu_print_algebras(),
xmu_rclabel_2_bracket_address(),
xmu_relevel_factors(),
xmu_safe_run_summary(),
xmu_set_sep_from_suffix(),
xmu_show_fit_or_comparison(),
xmu_simplex_corner(),
xmu_standardize_ACE(),
xmu_standardize_ACEcov(),
xmu_standardize_ACEv(),
xmu_standardize_CP(),
xmu_standardize_IP(),
xmu_standardize_RAM(),
xmu_standardize_SexLim(),
xmu_standardize_Simplex(),
xmu_start_value_list(),
xmu_starts(),
xmu_summary_RAM_group_parameters(),
xmu_twin_add_WeightMatrices(),
xmu_twin_check(),
xmu_twin_get_var_names(),
xmu_twin_make_def_means_mats_and_alg(),
xmu_twin_upgrade_selDvs2SelVars(),
xmu_update_covar()
Select desired characters from a string
Description
umx_str_chars returns desired characters of a string
Usage
umx_str_chars(what, which)
Arguments
what |
A string |
which |
Chars to select out. |
Value
Array of selected characters
References
See Also
Other String Functions:
umx,
umx_explode(),
umx_explode_twin_names(),
umx_grep(),
umx_names(),
umx_paste_names(),
umx_rot(),
umx_str_from_object(),
umx_trim()
Examples
umx_str_chars("myFpassUword", c(3,8))
Return variable name as a string
Description
Utility to return an object's name as a string
Usage
umx_str_from_object(x)
Arguments
x |
an object |
Value
name as string
References
See Also
Other String Functions:
umx,
umx_explode(),
umx_explode_twin_names(),
umx_grep(),
umx_names(),
umx_paste_names(),
umx_rot(),
umx_str_chars(),
umx_trim()
Examples
umx_str_from_object(mtcars)
# "mtcars"
Convert a string to an OpenMx algebra
Description
This is useful use to quickly and easily insert values from R variables into the string (using paste() and rep() etc.), then parse the string as an mxAlgebra argument.
Usage
umx_string_to_algebra(algString, name = NA, dimnames = NA)
Arguments
algString |
a string to turn into an algebra |
name |
of the returned algebra |
dimnames |
of the returned algebra |
Details
A use case is including a matrix exponent (that is A %% A %% A %*% A...) with a variable exponent.
Value
References
See Also
Other xmu internal not for end user:
umxModel(),
umxRenameMatrix(),
umx_APA_pval(),
umx_fun_mean_sd(),
umx_get_bracket_addresses(),
umx_make(),
umx_standardize(),
xmuHasSquareBrackets(),
xmuLabel_MATRIX_Model(),
xmuLabel_Matrix(),
xmuLabel_RAM_Model(),
xmuMI(),
xmuMakeDeviationThresholdsMatrices(),
xmuMakeOneHeadedPathsFromPathList(),
xmuMakeTwoHeadedPathsFromPathList(),
xmuMaxLevels(),
xmuMinLevels(),
xmuPropagateLabels(),
xmuRAM2Ordinal(),
xmuTwinSuper_Continuous(),
xmuTwinSuper_NoBinary(),
xmuTwinUpgradeMeansToCovariateModel(),
xmu_CI_merge(),
xmu_CI_stash(),
xmu_DF_to_mxData_TypeCov(),
xmu_PadAndPruneForDefVars(),
xmu_bracket_address2rclabel(),
xmu_cell_is_on(),
xmu_check_levels_identical(),
xmu_check_needs_means(),
xmu_check_variance(),
xmu_clean_label(),
xmu_data_missing(),
xmu_data_swap_a_block(),
xmu_describe_data_WLS(),
xmu_dot_make_paths(),
xmu_dot_make_residuals(),
xmu_dot_maker(),
xmu_dot_move_ranks(),
xmu_dot_rank_str(),
xmu_extract_column(),
xmu_get_CI(),
xmu_lavaan_process_group(),
xmu_make_TwinSuperModel(),
xmu_make_bin_cont_pair_data(),
xmu_make_mxData(),
xmu_match.arg(),
xmu_name_from_lavaan_str(),
xmu_path2twin(),
xmu_path_regex(),
xmu_print_algebras(),
xmu_rclabel_2_bracket_address(),
xmu_relevel_factors(),
xmu_safe_run_summary(),
xmu_set_sep_from_suffix(),
xmu_show_fit_or_comparison(),
xmu_simplex_corner(),
xmu_standardize_ACE(),
xmu_standardize_ACEcov(),
xmu_standardize_ACEv(),
xmu_standardize_CP(),
xmu_standardize_IP(),
xmu_standardize_RAM(),
xmu_standardize_SexLim(),
xmu_standardize_Simplex(),
xmu_start_value_list(),
xmu_starts(),
xmu_summary_RAM_group_parameters(),
xmu_twin_add_WeightMatrices(),
xmu_twin_check(),
xmu_twin_get_var_names(),
xmu_twin_make_def_means_mats_and_alg(),
xmu_twin_upgrade_selDvs2SelVars(),
xmu_update_covar()
Examples
## Not run:
alg = umx_string_to_algebra(paste(rep("A", nReps), collapse = " %*% "), name = "test_case")
## End(Not run)
A wrapper to map columns of strings to numeric.
Description
If you give one column name, the column is converted from string to numeric, and returned as a vector. If multiple column names are given (or cols is not set), each is converted, and an updated data.frame returned.
Usage
umx_strings2numeric(df, cols = NA, mapStrings = NULL)
Arguments
df |
The df |
cols |
(optional) list of columns (default = use all) |
mapStrings |
legal strings which will be mapped in order to numbers. |
Value
df
See Also
Other Data Functions:
noNAs(),
prolific_anonymize(),
prolific_check_ID(),
prolific_read_demog(),
umx,
umxFactor(),
umxHetCor(),
umx_as_numeric(),
umx_cont_2_quantiles(),
umx_lower2full(),
umx_make_MR_data(),
umx_make_TwinData(),
umx_make_fake_data(),
umx_make_raw_from_cov(),
umx_merge_randomized_columns(),
umx_polychoric(),
umx_polypairwise(),
umx_polytriowise(),
umx_read_lower(),
umx_rename(),
umx_reorder(),
umx_score_scale(),
umx_select_valid(),
umx_stack()
Examples
tmp = data.frame(x=letters)
umx_strings2numeric(tmp, mapStrings = letters)
umx_strings2numeric(tmp, cols= "x", mapStrings = letters)
umx_time
Description
A function to compactly report how long a model took to execute. Comes with some preset styles User can set the format with C-style string formatting.
Usage
umx_time(
x = NA,
formatStr = c("simple", "std", "custom %H %M %OS3"),
tz = "GMT",
autoRun = TRUE
)
Arguments
x |
A |
formatStr |
A format string, defining how to show the time (defaults to human readable) |
tz |
time zone in which the model was executed (defaults to "GMT") |
autoRun |
If TRUE (default), run the model if it appears not to have been. |
Details
The default time format is "simple", which gives only the biggest unit used. i.e., "x seconds" for times under 1 minute. "std" shows time in the format adopted in OpenMx 2.0 e.g. "Wall clock time (HH:MM:SS.hh): 00:00:01.16"
If a list of models is provided, time deltas will also be reported.
If instead of a model the key word "start" is given in x, a start time will be recorded. "stop" gives the time since "start" was called (and clears the timer)
If a model has not been run, umx_time will run it for you.
Value
invisible time string
References
See Also
Other Reporting Functions:
umx,
umxAPA(),
umxFactorScores(),
umxGetLatents(),
umxGetManifests(),
umxGetModel(),
umxGetParameters(),
umxParameters(),
umx_aggregate()
Examples
## Not run:
require(umx)
umx_time('stop') # alert user stop called when not yet started...
umx_time('stop')
umx_time('start')
data(demoOneFactor)
latents = c("G")
manifests = names(demoOneFactor)
myData = mxData(cov(demoOneFactor), type = "cov", numObs=500)
m1 = umxRAM("umx_time_example", data = myData,
umxPath(from = latents, to = manifests),
umxPath(var = manifests),
umxPath(var = latents, fixedAt = 1)
)
umx_time(m1) # report time from mxModel
m2 = umxRun(m1)
umx_time(c(m1, m2)) # print comparison table
umx_time('stop') # report the time since timer last started, and restart
umx_time('stop') # report the time since timer was restarted.
## End(Not run)
Trim whitespace surrounding a string.
Description
Returns string without leading or trailing whitespace, like the php function.
See also built-in base::trimws() does the same.
Usage
umx_trim(string, removeThis = NULL)
Arguments
string |
to trim |
removeThis |
if not NULL then this regular expression is removed wherever found in 'string' |
Value
string
References
See Also
Other String Functions:
umx,
umx_explode(),
umx_explode_twin_names(),
umx_grep(),
umx_names(),
umx_paste_names(),
umx_rot(),
umx_str_chars(),
umx_str_from_object()
Examples
umx_trim(" dog") # "dog"
trimws(" dog ", "l") # added by R in v 3.3.0
umx_trim("dog ") # "dog"
umx_trim("\t dog \n") # "dog"
umx_trim("xlsx dog.xlsx", "\\.?xlsx ?") # "dog"
Get variances from a df that might contain some non-numeric columns
Description
Pass in any dataframe and get variances despite some non-numeric columns. Cells involving these non-numeric columns are set to ordVar (default = 1).
Usage
umx_var(
df,
format = c("full", "diag", "lower"),
use = c("complete.obs", "pairwise.complete.obs", "everything", "all.obs",
"na.or.complete"),
ordVar = 1,
digits = NULL,
strict = TRUE,
allowCorForFactorCovs = FALSE
)
Arguments
df |
A dataframe of raw data from which to get variances. |
format |
to return: options are c("full", "diag", "lower"). Defaults to full, but this is not implemented yet. |
use |
Passed to |
ordVar |
The value to return at any ordinal columns (defaults to 1). |
digits |
digits to round output to (Ignored if NULL). Set for easy printing. |
strict |
Whether to allow non-ordered factors to be processed (default = FALSE (no)). |
allowCorForFactorCovs |
When ordinal data are present, use heterochoric correlations in affected cells, in place of covariances. |
Value
References
See Also
Other Miscellaneous Stats Functions:
FishersMethod(),
SE_from_p(),
geometric_mean(),
harmonic_mean(),
oddsratio(),
reliability(),
umx,
umxCov2cor(),
umxHetCor(),
umxParan(),
umxWeightedAIC(),
umx_apply(),
umx_cor(),
umx_means(),
umx_r_test(),
umx_round(),
umx_scale()
Examples
tmp = mtcars[,1:4]
tmp$cyl = ordered(mtcars$cyl) # ordered factor
tmp$hp = ordered(mtcars$hp) # binary factor
umx_var(tmp, format = "diag", ordVar = 1, use = "pair")
tmp2 = tmp[, c(1, 3)]
umx_var(tmp2, format = "diag")
umx_var(tmp2, format = "full")
data(myFADataRaw)
df = myFADataRaw[,c("z1", "z2", "z3")]
df$z1 = mxFactor(df$z1, levels = c(0, 1))
df$z2 = mxFactor(df$z2, levels = c(0, 1))
df$z3 = mxFactor(df$z3, levels = c(0, 1, 2))
umx_var(df, format = "diag")
umx_var(df, format = "full", allowCorForFactorCovs=TRUE)
# Ordinal/continuous mix
data(twinData)
twinData= umx_scale_wide_twin_data(data=twinData,varsToScale="wt",sep= "")
# Cut BMI column to form ordinal obesity variables
obLevels = c('normal', 'overweight', 'obese')
cuts = quantile(twinData[, "bmi1"], probs = c(.5, .8), na.rm = TRUE)
twinData$obese1=cut(twinData$bmi1,breaks=c(-Inf,cuts,Inf),labels=obLevels)
twinData$obese2=cut(twinData$bmi2,breaks=c(-Inf,cuts,Inf),labels=obLevels)
# Make the ordinal variables into mxFactors
ordDVs = c("obese1", "obese2")
twinData[, ordDVs] = umxFactor(twinData[, ordDVs])
varStarts = umx_var(twinData[, c(ordDVs, "wt1", "wt2")],
format= "diag", ordVar = 1, use = "pairwise.complete.obs")
umx_wide2long
Description
Makes wide data long using reshape
Hopefully a more robust interface to reshape()
For twin data, this calls umx_wide2longTwinData(data =data, sep = sep, verbose = verbose)
Usage
umx_wide2long(
data = df,
timevar = list(condition = c("control", "expt")),
repeated = list(example = c("easyexample", "hardexample"), grade = c("grd1", "grd2")),
covs = c("Age", "Sex"),
idvar = "PID",
sep = "_T",
verbose = FALSE
)
Arguments
data |
A data.frame to make long. |
timevar |
A list of the conditions individuals are in that generate repeated measures, list(condition = c("control", "expt")) |
repeated |
A list of varied inputs and their levels: i.e., list(exam = c("easy", "hard"), ...) |
covs |
A vector of variables that do not vary, e.g., c("Age", "Sex", "IQ"). |
idvar |
The column containing the unique ID of the subjects "PID". |
sep |
For twin data - calls = umx_wide2longTwinData default "_T" |
verbose |
Whether to be verbose (FALSE) |
Details
This is for processing data in which subjects (identified by a idvar column, have repeated measures on one or more outcomes.
The goal is to make the data into long format, for passing to functions like lme4::lmer().
You must:
Set
timevar. This is a list of the conditions that you repeated. The name becomes a column in the long output. e.g.,list(difficulty = c("easy", "hard"))Set
repeatedThis is a list of the measured outcomes, e.g.list(DV = c("NASA1_frust", "NASA2_frust"), effort = c("NASA1_eff", "NASA2_eff"))Set
covsThis is vector of non-repeated non-varying IVs c("age", "sex", "IQ").
Table: The resulting output is like this:
| idvar | condition | Age | DV |
| 001 | "easy" | 45 | 10 |
| 001 | "hard" | 45 | 75 |
| 002 | "easy" | 19 | 54 |
| 002 | "hard" | 19 | 74 |
Value
a long version of the df.
See Also
Other Miscellaneous Utility Functions:
install.OpenMx(),
libs(),
qm(),
umx,
umxLav2RAM(),
umxModelNames(),
umxRAM2Lav(),
umxVersion(),
umx_array_shift(),
umx_find_object(),
umx_lower.tri(),
umx_msg(),
umx_open_CRAN_page(),
umx_pad(),
umx_print(),
umx_wide4lmer()
Examples
## Not run:
timevar = list(difficulty = c("easy", "hard"))
repeated = list(
frustration = c("NASA1_frustration", "NASA2_frustration"),
effort = c("NASA1_effort", "NASA2_effort")
)
df.l = umx_long2wide(data, timevar, repeated, covs = c("Age"), idvar = "PID")
## End(Not run)
Change twin data from wide (2 twins per row) to long format.
Description
Just detects the data columns for twin 1, and twin 2, then returns them stacked on top of each other (rbind) with the non-twin specific columns copied for each as well.
*Note*, zygosity codings differ among labs. One scheme uses 1 = MZFF, 2 = MZMM, 3 = DZFF, 4 = DZMM, 5 = DZOS or DZFM, 6 = DZMF, with 9 = unknown, and then 50, 51,... for siblings.
Typically, OS twins are ordered Female/Male.
Usage
umx_wide2longTwinData(data, sep = "_T", verbose = FALSE)
Arguments
data |
a dataframe containing twin data. |
sep |
the string between the var name and twin suffix, i.e., var_T1 = _T |
verbose |
Report the non-twin and twin columns (default = FALSE). |
Value
- long-format dataframe
See Also
[reshape()], [umx_wide2long()], [umx_merge_randomized_columns()], [umx_select_valid()]
Other Twin Data functions:
umx,
umx_long2wide(),
umx_make_TwinData(),
umx_make_twin_data_nice(),
umx_residualize(),
umx_scale_wide_twin_data(),
umx_yj_wide_twin_data()
Examples
long = umx_wide2longTwinData(data = twinData, sep = "")
long = umx_wide2longTwinData(data = twinData, sep = "", verbose = TRUE)
str(long)
str(twinData)
Take a long dataframe and make it wide for repeated measures and multi-level analysis
Description
umx_wide4lmer Transform data from wide to long format for repeated measures and multi-level modeling in R.
Wraps reshape stats::reshape()
Usage
umx_wide4lmer(
repeated = list(y = c("y1", "y2")),
timevar = list(cond = c("cont", "expt")),
covs = c("Age", "Sex", "Conscientiousness"),
data = df,
idvar = "PID"
)
Arguments
repeated |
list of repeated measures each in list(y = c("y1", "y2")) form |
timevar |
list of conditions in a list, e.g., list(condition = c("cont", "expt")), |
covs |
vector of covariates e.g., c("Age", "Sex", "Conscientiousness") |
data |
A (long-format) data file |
idvar |
The variable which links repeated measures, e.g., "ID" |
References
See Also
Other Miscellaneous Utility Functions:
install.OpenMx(),
libs(),
qm(),
umx,
umxLav2RAM(),
umxModelNames(),
umxRAM2Lav(),
umxVersion(),
umx_array_shift(),
umx_find_object(),
umx_lower.tri(),
umx_msg(),
umx_open_CRAN_page(),
umx_pad(),
umx_print(),
umx_wide2long()
Examples
## Not run:
covs = c("Age", "Sex", "Conscientiousness")
timevar = list(Difficulty = c("short", "long"))
repeated = list(
Frustration = c("NASA_Frustration1", "NASA_Frustration2"),
Effort = c("NASA_Effort1" , "NASA_Effort2"),
Efficacy = c("NASA_Performance1", "NASA_Performance2"),
Howmany = c("howmany_30secs" , "howmany_60secs")
)
df.l = umx_wide4lmer(repeated = repeated, timevar = timevar, covs = covs, data = df, idvar = "PID")
## End(Not run)
umx_write_to_clipboard
Description
umx_write_to_clipboard writes data to the clipboard
Usage
umx_write_to_clipboard(x)
Arguments
x |
something to paste to the clipboard |
Details
Works on Mac. Let me know if it fails on windows or Unix.
Value
None
See Also
Other File Functions:
dl_from_dropbox(),
umx,
umx_file_load_pseudo(),
umx_make_sql_from_excel(),
umx_move_file(),
umx_open(),
umx_rename_file()
Examples
## Not run:
umx_write_to_clipboard("hello")
## End(Not run)
Yeo-Johnson transform wide twin data (Non-destructive)
Description
umx_yj_wide_twin_data applies the Yeo-Johnson transformation to wide twin data.
It "stacks" the data across twins (T1 and T2) to estimate a single optimal
Maximum Likelihood lambda parameter. This ensures that the transformation
is identical for both twins, preserving the twin covariance structure.
Usage
umx_yj_wide_twin_data(
data,
varsToTransform,
sep = "_T",
twins = 1:2,
suffix = "_yj",
verbose = TRUE
)
Arguments
data |
A wide dataframe |
varsToTransform |
The base names of the variables (e.g. "CAQ") |
sep |
The separator (e.g. "_T") |
twins |
Suffixes for twins (default 1:2) |
suffix |
The suffix for the new transformed columns (default "_yj") |
verbose |
Whether to print parameters and plot distributions (default TRUE) |
Details
The Yeo-Johnson transformation is a power transform that handles zero and
negative values natively. It is often superior to log(x+1) because it
uses MLE to find the mathematically optimal power to minimize skewness.
When verbose = TRUE, the function reports the lambda value and provides
a diagnostic plot comparing the raw and transformed distributions.
Value
dataframe with original and new transformed variables
References
Yeo, I. K., & Johnson, R. A. (2000). A new family of power transformations to improve normality or symmetry. Biometrika, 87(4), 954-959.
Cragg, J. G. (1971). Some Statistical Models for Limited Dependent Variables with Application to the Demand for Durable Goods. Econometrica, 39(5), 829-844.
See Also
Other Twin Data functions:
umx,
umx_long2wide(),
umx_make_TwinData(),
umx_make_twin_data_nice(),
umx_residualize(),
umx_scale_wide_twin_data(),
umx_wide2longTwinData()
Examples
# df = umx_yj_wide_twin_data(data = df, varsToTransform = c("CAQ"), sep = "_T")
Anthropometric data on twins
Description
A dataset containing height, weight, BMI, and skin-fold fat measures in several hundred US twin families participating in the MCV Cardiovascular Twin Study (PI Schieken). Biceps and Triceps are folds above and below the upper arm (holding arm palm upward), Calf (fold on the calf muscle), Subscapular (fold over the shoulder blade), Suprailiacal (fold between the hip and ribs).
Usage
data(us_skinfold_data)
Format
A data frame with 53940 twin families (1 per row) each twin measured on 10 variables.
Details
-
fan FamilyID (t1=male,t2=female)
-
zyg Zygosity 1:mzm, 2:mzf, 3:dzm, 4:dzf, 5:dzo
-
ht_T1 Height of twin 1 (cm)
-
wt_T1 Weight of twin 1 (kg)
-
bmi_T1 BMI of twin 1
-
bml_T1 log BMI of twin 1
-
bic_T1 Biceps Skinfold of twin 1
-
caf_T1 Calf Skinfold of twin 1
-
ssc_T1 Subscapular Skinfold of twin 1
-
sil_T1 Suprailiacal Skinfold of twin 1
-
tri_T1 Triceps Skinfold of twin 1
-
ht_T2 Height of twin 2
-
wt_T2 Weight of twin 2
-
bmi_T2 BMI of twin 2
-
bml_T2 log BMI of twin 2
-
bic_T2 Biceps Skinfold of twin 2
-
caf_T2 Calf Skinfold of twin 2
-
ssc_T2 Subscapular Skinfold of twin 2
-
sil_T2 Suprailiacal Skinfold of twin 2
-
tri_T2 Triceps Skinfold of twin 2
References
Moskowitz, W. B., Schwartz, P. F., & Schieken, R. M. (1999). Childhood passive smoking, race, and coronary artery disease risk: the MCV Twin Study. Medical College of Virginia. Archives of Pediatrics and Adolescent Medicine, 153, 446-453. https://pubmed.ncbi.nlm.nih.gov/10323623/
See Also
Other datasets:
Fischbein_wt,
GFF,
docData,
iqdat,
umx
Examples
## Not run:
data(us_skinfold_data)
str(us_skinfold_data)
par(mfrow = c(1, 2)) # 1 rows and 3 columns
plot(ht_T1 ~ht_T2, ylim = c(130, 165), data = subset(us_skinfold_data, zyg == 1))
plot(ht_T1 ~ht_T2, ylim = c(130, 165), data = subset(us_skinfold_data, zyg == 3))
par(mfrow = c(1, 1)) # back to as it was
## End(Not run)
xmuHasSquareBrackets
Description
Tests if an input has square brackets
Usage
xmuHasSquareBrackets(input)
Arguments
input |
an input to test |
Value
TRUE/FALSE
See Also
Other xmu internal not for end user:
umxModel(),
umxRenameMatrix(),
umx_APA_pval(),
umx_fun_mean_sd(),
umx_get_bracket_addresses(),
umx_make(),
umx_standardize(),
umx_string_to_algebra(),
xmuLabel_MATRIX_Model(),
xmuLabel_Matrix(),
xmuLabel_RAM_Model(),
xmuMI(),
xmuMakeDeviationThresholdsMatrices(),
xmuMakeOneHeadedPathsFromPathList(),
xmuMakeTwoHeadedPathsFromPathList(),
xmuMaxLevels(),
xmuMinLevels(),
xmuPropagateLabels(),
xmuRAM2Ordinal(),
xmuTwinSuper_Continuous(),
xmuTwinSuper_NoBinary(),
xmuTwinUpgradeMeansToCovariateModel(),
xmu_CI_merge(),
xmu_CI_stash(),
xmu_DF_to_mxData_TypeCov(),
xmu_PadAndPruneForDefVars(),
xmu_bracket_address2rclabel(),
xmu_cell_is_on(),
xmu_check_levels_identical(),
xmu_check_needs_means(),
xmu_check_variance(),
xmu_clean_label(),
xmu_data_missing(),
xmu_data_swap_a_block(),
xmu_describe_data_WLS(),
xmu_dot_make_paths(),
xmu_dot_make_residuals(),
xmu_dot_maker(),
xmu_dot_move_ranks(),
xmu_dot_rank_str(),
xmu_extract_column(),
xmu_get_CI(),
xmu_lavaan_process_group(),
xmu_make_TwinSuperModel(),
xmu_make_bin_cont_pair_data(),
xmu_make_mxData(),
xmu_match.arg(),
xmu_name_from_lavaan_str(),
xmu_path2twin(),
xmu_path_regex(),
xmu_print_algebras(),
xmu_rclabel_2_bracket_address(),
xmu_relevel_factors(),
xmu_safe_run_summary(),
xmu_set_sep_from_suffix(),
xmu_show_fit_or_comparison(),
xmu_simplex_corner(),
xmu_standardize_ACE(),
xmu_standardize_ACEcov(),
xmu_standardize_ACEv(),
xmu_standardize_CP(),
xmu_standardize_IP(),
xmu_standardize_RAM(),
xmu_standardize_SexLim(),
xmu_standardize_Simplex(),
xmu_start_value_list(),
xmu_starts(),
xmu_summary_RAM_group_parameters(),
xmu_twin_add_WeightMatrices(),
xmu_twin_check(),
xmu_twin_get_var_names(),
xmu_twin_make_def_means_mats_and_alg(),
xmu_twin_upgrade_selDvs2SelVars(),
xmu_update_covar()
Examples
xmuHasSquareBrackets("A[1,2]")
xmuLabel: Add labels to a RAM model, matrix, or path
Description
xmuLabel adds labels to things, be it an: OpenMx::mxModel() (RAM or matrix based), an OpenMx::mxPath(), or an OpenMx::mxMatrix()
This is a core function in umx: Adding labels to paths opens the door to umxEquate(), as well as OpenMx::omxSetParameters()
Usage
xmuLabel(
obj,
suffix = "",
baseName = NA,
setfree = FALSE,
drop = 0,
labelFixedCells = TRUE,
jiggle = NA,
boundDiag = NA,
verbose = FALSE,
overRideExisting = FALSE,
name = NULL
)
Arguments
obj |
An |
suffix |
String to append to each label (might be used to distinguish, say male and female submodels in a model) |
baseName |
String to prepend to labels. Defaults to NA ("") |
setfree |
Whether to label only the free paths (defaults to FALSE) |
drop |
The value to fix "drop" paths to (defaults to 0) |
labelFixedCells |
= TRUE |
jiggle |
How much to jiggle values in a matrix or list of path values |
boundDiag |
Whether to bound the diagonal of a matrix |
verbose |
How much feedback to give the user (default = FALSE) |
overRideExisting |
= FALSE |
name |
Optional new name if given a model. Default (NULL) does not rename model. |
Value
References
See Also
Other Advanced Model Building Functions:
umx,
umxAlgebra(),
umxFixAll(),
umxJiggle(),
umxRun(),
umxThresholdMatrix(),
umxUnexplainedCausalNexus(),
xmuValues()
Examples
## Not run:
# ==============================================================
# = Show how OpenMx models are not labeled, and then add labels =
# ==============================================================
require(umx)
data(demoOneFactor)
latents = c("G")
manifests = names(demoOneFactor)
m1 = mxModel("One Factor", type = "RAM",
manifestVars = manifests, latentVars = latents,
mxPath(from = latents , to = manifests),
mxPath(from = manifests, arrows = 2),
mxPath(from = latents , arrows = 2, free = FALSE, values = 1.0),
mxData(cov(demoOneFactor), type = "cov", numObs=500)
)
umxGetParameters(m1) # Default "matrix address" labels, i.e "One Factor.S[2,2]"
m1 = xmuLabel(m1)
umxGetParameters(m1, free = TRUE) # Informative labels: "G_to_x1", "x4_with_x4", etc.
# =======================================================================
# = Create a new model, with suffixes added to paths, and model renamed =
# =======================================================================
m2 = xmuLabel(m1, suffix= "_male", overRideExisting= TRUE, name = "male")
umxGetParameters(m2, free = TRUE) # suffixes added
# =============================
# = Example Labeling a matrix =
# =============================
a = xmuLabel(mxMatrix(name = "a", "Full", 3, 3, values = 1:9))
a$labels
a = xmuLabel(mxMatrix(name = "a", "Full", 3, 3, values = 1:9), baseName="bob")
a$labels
# note: labels with "data." in the name are left untouched!
a = mxMatrix(name = "a", "Full", 1,3, labels = c("data.a", "test", NA))
a$labels
xmuLabel(a, verbose = TRUE)
xmuLabel(a, verbose = TRUE, overRideExisting = FALSE)
xmuLabel(a, verbose = TRUE, overRideExisting = TRUE)
## End(Not run)
xmuLabel_MATRIX_Model (not a user function)
Description
This function will label all the free parameters in a (non-RAM) OpenMx OpenMx::mxModel()
nb: We don't assume what each matrix is for. Instead, the function just sticks labels like "a_r1c1" into each cell
i.e., matrix-name + _ + r + rowNumber + c + colNumber
Usage
xmuLabel_MATRIX_Model(model, suffix = "", verbose = TRUE)
Arguments
model |
a matrix-style mxModel to label |
suffix |
a string to append to each label |
verbose |
how much feedback to give |
Details
Model developers should just call xmuLabel()
Value
The labeled
OpenMx::mxModel()
See Also
Other xmu internal not for end user:
umxModel(),
umxRenameMatrix(),
umx_APA_pval(),
umx_fun_mean_sd(),
umx_get_bracket_addresses(),
umx_make(),
umx_standardize(),
umx_string_to_algebra(),
xmuHasSquareBrackets(),
xmuLabel_Matrix(),
xmuLabel_RAM_Model(),
xmuMI(),
xmuMakeDeviationThresholdsMatrices(),
xmuMakeOneHeadedPathsFromPathList(),
xmuMakeTwoHeadedPathsFromPathList(),
xmuMaxLevels(),
xmuMinLevels(),
xmuPropagateLabels(),
xmuRAM2Ordinal(),
xmuTwinSuper_Continuous(),
xmuTwinSuper_NoBinary(),
xmuTwinUpgradeMeansToCovariateModel(),
xmu_CI_merge(),
xmu_CI_stash(),
xmu_DF_to_mxData_TypeCov(),
xmu_PadAndPruneForDefVars(),
xmu_bracket_address2rclabel(),
xmu_cell_is_on(),
xmu_check_levels_identical(),
xmu_check_needs_means(),
xmu_check_variance(),
xmu_clean_label(),
xmu_data_missing(),
xmu_data_swap_a_block(),
xmu_describe_data_WLS(),
xmu_dot_make_paths(),
xmu_dot_make_residuals(),
xmu_dot_maker(),
xmu_dot_move_ranks(),
xmu_dot_rank_str(),
xmu_extract_column(),
xmu_get_CI(),
xmu_lavaan_process_group(),
xmu_make_TwinSuperModel(),
xmu_make_bin_cont_pair_data(),
xmu_make_mxData(),
xmu_match.arg(),
xmu_name_from_lavaan_str(),
xmu_path2twin(),
xmu_path_regex(),
xmu_print_algebras(),
xmu_rclabel_2_bracket_address(),
xmu_relevel_factors(),
xmu_safe_run_summary(),
xmu_set_sep_from_suffix(),
xmu_show_fit_or_comparison(),
xmu_simplex_corner(),
xmu_standardize_ACE(),
xmu_standardize_ACEcov(),
xmu_standardize_ACEv(),
xmu_standardize_CP(),
xmu_standardize_IP(),
xmu_standardize_RAM(),
xmu_standardize_SexLim(),
xmu_standardize_Simplex(),
xmu_start_value_list(),
xmu_starts(),
xmu_summary_RAM_group_parameters(),
xmu_twin_add_WeightMatrices(),
xmu_twin_check(),
xmu_twin_get_var_names(),
xmu_twin_make_def_means_mats_and_alg(),
xmu_twin_upgrade_selDvs2SelVars(),
xmu_update_covar()
Examples
require(umx)
data(demoOneFactor)
m2 <- mxModel("label_ex",
mxMatrix("Full", 5, 1, values = 0.2, free = TRUE, name = "A"),
mxMatrix("Symm", 1, 1, values = 1.0, free = FALSE, name = "L"),
mxMatrix("Diag", 5, 5, values = 1.0, free = TRUE, name = "U"),
mxAlgebra(A %*% L %*% t(A) + U, name = "R"),
mxExpectationNormal("R", dimnames = names(demoOneFactor)),
mxFitFunctionML(),
mxData(cov(demoOneFactor), type = "cov", numObs=500)
)
m3 = umx:::xmuLabel_MATRIX_Model(m2)
m4 = umx:::xmuLabel_MATRIX_Model(m2, suffix = "male")
# explore these with omxGetParameters(m4)
xmuLabel_Matrix (not a user function)
Description
This function will label all the free parameters in an OpenMx::mxMatrix()
Usage
xmuLabel_Matrix(
mx_matrix = NA,
baseName = NA,
setfree = FALSE,
drop = 0,
jiggle = NA,
boundDiag = NA,
suffix = "",
verbose = TRUE,
labelFixedCells = FALSE,
overRideExisting = FALSE
)
Arguments
mx_matrix |
an mxMatrix |
baseName |
A base name for the labels NA |
setfree |
Whether to set free cells FALSE |
drop |
What values to drop 0 |
jiggle |
= whether to jiggle start values |
boundDiag |
set diagonal element lbounds to this numeric value (default = NA = ignore) |
suffix |
a string to append to each label |
verbose |
how much feedback to give |
labelFixedCells |
= FALSE |
overRideExisting |
Whether to overRideExisting (Default FALSE) |
Details
Model developers should just call xmuLabel()
Purpose: label the cells of an mxMatrix Detail: Defaults to the handy "name_r1c1" where name is the matrix name, and r1c1 = row 1 col 1. Use case: You should not use this: call xmuLabel umx:::xmuLabel_Matrix(mxMatrix("Lower", 3, 3, values = 1, name = "a", byrow = TRUE), jiggle = .05, boundDiag = NA); umx:::xmuLabel_Matrix(mxMatrix("Full" , 3, 3, values = 1, name = "a", byrow = TRUE)); umx:::xmuLabel_Matrix(mxMatrix("Symm" , 3, 3, values = 1, name = "a", byrow = TRUE), jiggle = .05, boundDiag = NA); umx:::xmuLabel_Matrix(mxMatrix("Full" , 1, 1, values = 1, name = "a", labels= "data.a")); umx:::xmuLabel_Matrix(mxMatrix("Full" , 1, 1, values = 1, name = "a", labels= "data.a"), overRideExisting = TRUE); umx:::xmuLabel_Matrix(mxMatrix("Full" , 1, 1, values = 1, name = "a", labels= "test"), overRideExisting = TRUE); See also: fit2 = omxSetParameters(fit1, labels = "a_r1c1", free = FALSE, value = 0, name = "drop_a_row1_c1")
Value
The labeled
OpenMx::mxMatrix()
See Also
Other xmu internal not for end user:
umxModel(),
umxRenameMatrix(),
umx_APA_pval(),
umx_fun_mean_sd(),
umx_get_bracket_addresses(),
umx_make(),
umx_standardize(),
umx_string_to_algebra(),
xmuHasSquareBrackets(),
xmuLabel_MATRIX_Model(),
xmuLabel_RAM_Model(),
xmuMI(),
xmuMakeDeviationThresholdsMatrices(),
xmuMakeOneHeadedPathsFromPathList(),
xmuMakeTwoHeadedPathsFromPathList(),
xmuMaxLevels(),
xmuMinLevels(),
xmuPropagateLabels(),
xmuRAM2Ordinal(),
xmuTwinSuper_Continuous(),
xmuTwinSuper_NoBinary(),
xmuTwinUpgradeMeansToCovariateModel(),
xmu_CI_merge(),
xmu_CI_stash(),
xmu_DF_to_mxData_TypeCov(),
xmu_PadAndPruneForDefVars(),
xmu_bracket_address2rclabel(),
xmu_cell_is_on(),
xmu_check_levels_identical(),
xmu_check_needs_means(),
xmu_check_variance(),
xmu_clean_label(),
xmu_data_missing(),
xmu_data_swap_a_block(),
xmu_describe_data_WLS(),
xmu_dot_make_paths(),
xmu_dot_make_residuals(),
xmu_dot_maker(),
xmu_dot_move_ranks(),
xmu_dot_rank_str(),
xmu_extract_column(),
xmu_get_CI(),
xmu_lavaan_process_group(),
xmu_make_TwinSuperModel(),
xmu_make_bin_cont_pair_data(),
xmu_make_mxData(),
xmu_match.arg(),
xmu_name_from_lavaan_str(),
xmu_path2twin(),
xmu_path_regex(),
xmu_print_algebras(),
xmu_rclabel_2_bracket_address(),
xmu_relevel_factors(),
xmu_safe_run_summary(),
xmu_set_sep_from_suffix(),
xmu_show_fit_or_comparison(),
xmu_simplex_corner(),
xmu_standardize_ACE(),
xmu_standardize_ACEcov(),
xmu_standardize_ACEv(),
xmu_standardize_CP(),
xmu_standardize_IP(),
xmu_standardize_RAM(),
xmu_standardize_SexLim(),
xmu_standardize_Simplex(),
xmu_start_value_list(),
xmu_starts(),
xmu_summary_RAM_group_parameters(),
xmu_twin_add_WeightMatrices(),
xmu_twin_check(),
xmu_twin_get_var_names(),
xmu_twin_make_def_means_mats_and_alg(),
xmu_twin_upgrade_selDvs2SelVars(),
xmu_update_covar()
xmuLabel_RAM_Model (not a user function)
Description
This function will label all the free parameters in a RAM OpenMx::mxModel()
Usage
xmuLabel_RAM_Model(
model,
suffix = "",
labelFixedCells = TRUE,
overRideExisting = FALSE,
verbose = FALSE,
name = NULL
)
Arguments
model |
a RAM mxModel to label |
suffix |
a string to append to each label |
labelFixedCells |
Whether to labelFixedCells (Default TRUE) |
overRideExisting |
Whether to overRideExisting (Default FALSE) |
verbose |
how much feedback to give |
name |
Add optional name parameter to rename returned model (default = leave it along) |
Details
Model developers should just call xmuLabel()
Value
The labeled
OpenMx::mxModel()
See Also
Other xmu internal not for end user:
umxModel(),
umxRenameMatrix(),
umx_APA_pval(),
umx_fun_mean_sd(),
umx_get_bracket_addresses(),
umx_make(),
umx_standardize(),
umx_string_to_algebra(),
xmuHasSquareBrackets(),
xmuLabel_MATRIX_Model(),
xmuLabel_Matrix(),
xmuMI(),
xmuMakeDeviationThresholdsMatrices(),
xmuMakeOneHeadedPathsFromPathList(),
xmuMakeTwoHeadedPathsFromPathList(),
xmuMaxLevels(),
xmuMinLevels(),
xmuPropagateLabels(),
xmuRAM2Ordinal(),
xmuTwinSuper_Continuous(),
xmuTwinSuper_NoBinary(),
xmuTwinUpgradeMeansToCovariateModel(),
xmu_CI_merge(),
xmu_CI_stash(),
xmu_DF_to_mxData_TypeCov(),
xmu_PadAndPruneForDefVars(),
xmu_bracket_address2rclabel(),
xmu_cell_is_on(),
xmu_check_levels_identical(),
xmu_check_needs_means(),
xmu_check_variance(),
xmu_clean_label(),
xmu_data_missing(),
xmu_data_swap_a_block(),
xmu_describe_data_WLS(),
xmu_dot_make_paths(),
xmu_dot_make_residuals(),
xmu_dot_maker(),
xmu_dot_move_ranks(),
xmu_dot_rank_str(),
xmu_extract_column(),
xmu_get_CI(),
xmu_lavaan_process_group(),
xmu_make_TwinSuperModel(),
xmu_make_bin_cont_pair_data(),
xmu_make_mxData(),
xmu_match.arg(),
xmu_name_from_lavaan_str(),
xmu_path2twin(),
xmu_path_regex(),
xmu_print_algebras(),
xmu_rclabel_2_bracket_address(),
xmu_relevel_factors(),
xmu_safe_run_summary(),
xmu_set_sep_from_suffix(),
xmu_show_fit_or_comparison(),
xmu_simplex_corner(),
xmu_standardize_ACE(),
xmu_standardize_ACEcov(),
xmu_standardize_ACEv(),
xmu_standardize_CP(),
xmu_standardize_IP(),
xmu_standardize_RAM(),
xmu_standardize_SexLim(),
xmu_standardize_Simplex(),
xmu_start_value_list(),
xmu_starts(),
xmu_summary_RAM_group_parameters(),
xmu_twin_add_WeightMatrices(),
xmu_twin_check(),
xmu_twin_get_var_names(),
xmu_twin_make_def_means_mats_and_alg(),
xmu_twin_upgrade_selDvs2SelVars(),
xmu_update_covar()
Examples
require(umx); data(demoOneFactor)
# raw but no means
m1 <- mxModel("label_ex", mxData(demoOneFactor, type = "raw"), type="RAM",
manifestVars = "x1", latentVars= "G",
umxPath("G", to = "x1"),
umxPath(var = "x1"),
umxPath(var = "G", fixedAt = 1)
)
xmuLabel_RAM_Model(m1)
xmuMI (not for end users)
Description
A function to compute and report modifications which would improve fit.
You will probably use umxMI() instead
Usage
xmuMI(model, vector = TRUE)
Arguments
model |
an |
vector |
= Whether to report the results as a vector default = TRUE |
See Also
Other xmu internal not for end user:
umxModel(),
umxRenameMatrix(),
umx_APA_pval(),
umx_fun_mean_sd(),
umx_get_bracket_addresses(),
umx_make(),
umx_standardize(),
umx_string_to_algebra(),
xmuHasSquareBrackets(),
xmuLabel_MATRIX_Model(),
xmuLabel_Matrix(),
xmuLabel_RAM_Model(),
xmuMakeDeviationThresholdsMatrices(),
xmuMakeOneHeadedPathsFromPathList(),
xmuMakeTwoHeadedPathsFromPathList(),
xmuMaxLevels(),
xmuMinLevels(),
xmuPropagateLabels(),
xmuRAM2Ordinal(),
xmuTwinSuper_Continuous(),
xmuTwinSuper_NoBinary(),
xmuTwinUpgradeMeansToCovariateModel(),
xmu_CI_merge(),
xmu_CI_stash(),
xmu_DF_to_mxData_TypeCov(),
xmu_PadAndPruneForDefVars(),
xmu_bracket_address2rclabel(),
xmu_cell_is_on(),
xmu_check_levels_identical(),
xmu_check_needs_means(),
xmu_check_variance(),
xmu_clean_label(),
xmu_data_missing(),
xmu_data_swap_a_block(),
xmu_describe_data_WLS(),
xmu_dot_make_paths(),
xmu_dot_make_residuals(),
xmu_dot_maker(),
xmu_dot_move_ranks(),
xmu_dot_rank_str(),
xmu_extract_column(),
xmu_get_CI(),
xmu_lavaan_process_group(),
xmu_make_TwinSuperModel(),
xmu_make_bin_cont_pair_data(),
xmu_make_mxData(),
xmu_match.arg(),
xmu_name_from_lavaan_str(),
xmu_path2twin(),
xmu_path_regex(),
xmu_print_algebras(),
xmu_rclabel_2_bracket_address(),
xmu_relevel_factors(),
xmu_safe_run_summary(),
xmu_set_sep_from_suffix(),
xmu_show_fit_or_comparison(),
xmu_simplex_corner(),
xmu_standardize_ACE(),
xmu_standardize_ACEcov(),
xmu_standardize_ACEv(),
xmu_standardize_CP(),
xmu_standardize_IP(),
xmu_standardize_RAM(),
xmu_standardize_SexLim(),
xmu_standardize_Simplex(),
xmu_start_value_list(),
xmu_starts(),
xmu_summary_RAM_group_parameters(),
xmu_twin_add_WeightMatrices(),
xmu_twin_check(),
xmu_twin_get_var_names(),
xmu_twin_make_def_means_mats_and_alg(),
xmu_twin_upgrade_selDvs2SelVars(),
xmu_update_covar()
Make a deviation-based mxRAMObjective for ordinal models.
Description
Purpose: return a mxRAMObjective(A = "A", S = "S", F = "F", M = "M", thresholds = "thresh"), mxData(df, type = "raw") use-case see: umxMakeThresholdMatrix
Usage
xmuMakeDeviationThresholdsMatrices(df, droplevels, verbose)
Arguments
df |
a dataframe |
droplevels |
whether to droplevels or not |
verbose |
how verbose to be |
Value
- list of matrices
See Also
Other xmu internal not for end user:
umxModel(),
umxRenameMatrix(),
umx_APA_pval(),
umx_fun_mean_sd(),
umx_get_bracket_addresses(),
umx_make(),
umx_standardize(),
umx_string_to_algebra(),
xmuHasSquareBrackets(),
xmuLabel_MATRIX_Model(),
xmuLabel_Matrix(),
xmuLabel_RAM_Model(),
xmuMI(),
xmuMakeOneHeadedPathsFromPathList(),
xmuMakeTwoHeadedPathsFromPathList(),
xmuMaxLevels(),
xmuMinLevels(),
xmuPropagateLabels(),
xmuRAM2Ordinal(),
xmuTwinSuper_Continuous(),
xmuTwinSuper_NoBinary(),
xmuTwinUpgradeMeansToCovariateModel(),
xmu_CI_merge(),
xmu_CI_stash(),
xmu_DF_to_mxData_TypeCov(),
xmu_PadAndPruneForDefVars(),
xmu_bracket_address2rclabel(),
xmu_cell_is_on(),
xmu_check_levels_identical(),
xmu_check_needs_means(),
xmu_check_variance(),
xmu_clean_label(),
xmu_data_missing(),
xmu_data_swap_a_block(),
xmu_describe_data_WLS(),
xmu_dot_make_paths(),
xmu_dot_make_residuals(),
xmu_dot_maker(),
xmu_dot_move_ranks(),
xmu_dot_rank_str(),
xmu_extract_column(),
xmu_get_CI(),
xmu_lavaan_process_group(),
xmu_make_TwinSuperModel(),
xmu_make_bin_cont_pair_data(),
xmu_make_mxData(),
xmu_match.arg(),
xmu_name_from_lavaan_str(),
xmu_path2twin(),
xmu_path_regex(),
xmu_print_algebras(),
xmu_rclabel_2_bracket_address(),
xmu_relevel_factors(),
xmu_safe_run_summary(),
xmu_set_sep_from_suffix(),
xmu_show_fit_or_comparison(),
xmu_simplex_corner(),
xmu_standardize_ACE(),
xmu_standardize_ACEcov(),
xmu_standardize_ACEv(),
xmu_standardize_CP(),
xmu_standardize_IP(),
xmu_standardize_RAM(),
xmu_standardize_SexLim(),
xmu_standardize_Simplex(),
xmu_start_value_list(),
xmu_starts(),
xmu_summary_RAM_group_parameters(),
xmu_twin_add_WeightMatrices(),
xmu_twin_check(),
xmu_twin_get_var_names(),
xmu_twin_make_def_means_mats_and_alg(),
xmu_twin_upgrade_selDvs2SelVars(),
xmu_update_covar()
xmuMakeOneHeadedPathsFromPathList
Description
Make one-headed paths
Usage
xmuMakeOneHeadedPathsFromPathList(sourceList, destinationList)
Arguments
sourceList |
A sourceList |
destinationList |
A destinationList |
Value
added items
See Also
Other xmu internal not for end user:
umxModel(),
umxRenameMatrix(),
umx_APA_pval(),
umx_fun_mean_sd(),
umx_get_bracket_addresses(),
umx_make(),
umx_standardize(),
umx_string_to_algebra(),
xmuHasSquareBrackets(),
xmuLabel_MATRIX_Model(),
xmuLabel_Matrix(),
xmuLabel_RAM_Model(),
xmuMI(),
xmuMakeDeviationThresholdsMatrices(),
xmuMakeTwoHeadedPathsFromPathList(),
xmuMaxLevels(),
xmuMinLevels(),
xmuPropagateLabels(),
xmuRAM2Ordinal(),
xmuTwinSuper_Continuous(),
xmuTwinSuper_NoBinary(),
xmuTwinUpgradeMeansToCovariateModel(),
xmu_CI_merge(),
xmu_CI_stash(),
xmu_DF_to_mxData_TypeCov(),
xmu_PadAndPruneForDefVars(),
xmu_bracket_address2rclabel(),
xmu_cell_is_on(),
xmu_check_levels_identical(),
xmu_check_needs_means(),
xmu_check_variance(),
xmu_clean_label(),
xmu_data_missing(),
xmu_data_swap_a_block(),
xmu_describe_data_WLS(),
xmu_dot_make_paths(),
xmu_dot_make_residuals(),
xmu_dot_maker(),
xmu_dot_move_ranks(),
xmu_dot_rank_str(),
xmu_extract_column(),
xmu_get_CI(),
xmu_lavaan_process_group(),
xmu_make_TwinSuperModel(),
xmu_make_bin_cont_pair_data(),
xmu_make_mxData(),
xmu_match.arg(),
xmu_name_from_lavaan_str(),
xmu_path2twin(),
xmu_path_regex(),
xmu_print_algebras(),
xmu_rclabel_2_bracket_address(),
xmu_relevel_factors(),
xmu_safe_run_summary(),
xmu_set_sep_from_suffix(),
xmu_show_fit_or_comparison(),
xmu_simplex_corner(),
xmu_standardize_ACE(),
xmu_standardize_ACEcov(),
xmu_standardize_ACEv(),
xmu_standardize_CP(),
xmu_standardize_IP(),
xmu_standardize_RAM(),
xmu_standardize_SexLim(),
xmu_standardize_Simplex(),
xmu_start_value_list(),
xmu_starts(),
xmu_summary_RAM_group_parameters(),
xmu_twin_add_WeightMatrices(),
xmu_twin_check(),
xmu_twin_get_var_names(),
xmu_twin_make_def_means_mats_and_alg(),
xmu_twin_upgrade_selDvs2SelVars(),
xmu_update_covar()
xmuMakeTwoHeadedPathsFromPathList
Description
Make two-headed paths
Usage
xmuMakeTwoHeadedPathsFromPathList(pathList)
Arguments
pathList |
A list of paths |
Value
added items
See Also
Other xmu internal not for end user:
umxModel(),
umxRenameMatrix(),
umx_APA_pval(),
umx_fun_mean_sd(),
umx_get_bracket_addresses(),
umx_make(),
umx_standardize(),
umx_string_to_algebra(),
xmuHasSquareBrackets(),
xmuLabel_MATRIX_Model(),
xmuLabel_Matrix(),
xmuLabel_RAM_Model(),
xmuMI(),
xmuMakeDeviationThresholdsMatrices(),
xmuMakeOneHeadedPathsFromPathList(),
xmuMaxLevels(),
xmuMinLevels(),
xmuPropagateLabels(),
xmuRAM2Ordinal(),
xmuTwinSuper_Continuous(),
xmuTwinSuper_NoBinary(),
xmuTwinUpgradeMeansToCovariateModel(),
xmu_CI_merge(),
xmu_CI_stash(),
xmu_DF_to_mxData_TypeCov(),
xmu_PadAndPruneForDefVars(),
xmu_bracket_address2rclabel(),
xmu_cell_is_on(),
xmu_check_levels_identical(),
xmu_check_needs_means(),
xmu_check_variance(),
xmu_clean_label(),
xmu_data_missing(),
xmu_data_swap_a_block(),
xmu_describe_data_WLS(),
xmu_dot_make_paths(),
xmu_dot_make_residuals(),
xmu_dot_maker(),
xmu_dot_move_ranks(),
xmu_dot_rank_str(),
xmu_extract_column(),
xmu_get_CI(),
xmu_lavaan_process_group(),
xmu_make_TwinSuperModel(),
xmu_make_bin_cont_pair_data(),
xmu_make_mxData(),
xmu_match.arg(),
xmu_name_from_lavaan_str(),
xmu_path2twin(),
xmu_path_regex(),
xmu_print_algebras(),
xmu_rclabel_2_bracket_address(),
xmu_relevel_factors(),
xmu_safe_run_summary(),
xmu_set_sep_from_suffix(),
xmu_show_fit_or_comparison(),
xmu_simplex_corner(),
xmu_standardize_ACE(),
xmu_standardize_ACEcov(),
xmu_standardize_ACEv(),
xmu_standardize_CP(),
xmu_standardize_IP(),
xmu_standardize_RAM(),
xmu_standardize_SexLim(),
xmu_standardize_Simplex(),
xmu_start_value_list(),
xmu_starts(),
xmu_summary_RAM_group_parameters(),
xmu_twin_add_WeightMatrices(),
xmu_twin_check(),
xmu_twin_get_var_names(),
xmu_twin_make_def_means_mats_and_alg(),
xmu_twin_upgrade_selDvs2SelVars(),
xmu_update_covar()
xmuMaxLevels
Description
Get the max levels from df
Usage
xmuMaxLevels(df, what = c("value", "name"))
Arguments
df |
Dataframe to search through |
what |
Either "value" or "name" ( of the max-level column) |
Value
max number of levels in frame
See Also
Other xmu internal not for end user:
umxModel(),
umxRenameMatrix(),
umx_APA_pval(),
umx_fun_mean_sd(),
umx_get_bracket_addresses(),
umx_make(),
umx_standardize(),
umx_string_to_algebra(),
xmuHasSquareBrackets(),
xmuLabel_MATRIX_Model(),
xmuLabel_Matrix(),
xmuLabel_RAM_Model(),
xmuMI(),
xmuMakeDeviationThresholdsMatrices(),
xmuMakeOneHeadedPathsFromPathList(),
xmuMakeTwoHeadedPathsFromPathList(),
xmuMinLevels(),
xmuPropagateLabels(),
xmuRAM2Ordinal(),
xmuTwinSuper_Continuous(),
xmuTwinSuper_NoBinary(),
xmuTwinUpgradeMeansToCovariateModel(),
xmu_CI_merge(),
xmu_CI_stash(),
xmu_DF_to_mxData_TypeCov(),
xmu_PadAndPruneForDefVars(),
xmu_bracket_address2rclabel(),
xmu_cell_is_on(),
xmu_check_levels_identical(),
xmu_check_needs_means(),
xmu_check_variance(),
xmu_clean_label(),
xmu_data_missing(),
xmu_data_swap_a_block(),
xmu_describe_data_WLS(),
xmu_dot_make_paths(),
xmu_dot_make_residuals(),
xmu_dot_maker(),
xmu_dot_move_ranks(),
xmu_dot_rank_str(),
xmu_extract_column(),
xmu_get_CI(),
xmu_lavaan_process_group(),
xmu_make_TwinSuperModel(),
xmu_make_bin_cont_pair_data(),
xmu_make_mxData(),
xmu_match.arg(),
xmu_name_from_lavaan_str(),
xmu_path2twin(),
xmu_path_regex(),
xmu_print_algebras(),
xmu_rclabel_2_bracket_address(),
xmu_relevel_factors(),
xmu_safe_run_summary(),
xmu_set_sep_from_suffix(),
xmu_show_fit_or_comparison(),
xmu_simplex_corner(),
xmu_standardize_ACE(),
xmu_standardize_ACEcov(),
xmu_standardize_ACEv(),
xmu_standardize_CP(),
xmu_standardize_IP(),
xmu_standardize_RAM(),
xmu_standardize_SexLim(),
xmu_standardize_Simplex(),
xmu_start_value_list(),
xmu_starts(),
xmu_summary_RAM_group_parameters(),
xmu_twin_add_WeightMatrices(),
xmu_twin_check(),
xmu_twin_get_var_names(),
xmu_twin_make_def_means_mats_and_alg(),
xmu_twin_upgrade_selDvs2SelVars(),
xmu_update_covar()
Examples
xmuMaxLevels(mtcars) # NA = no ordinal vars
xmuMaxLevels(umxFactor(mtcars))
xmuMaxLevels(umxFactor(mtcars), what = "name")
xmuMinLevels
Description
Get the min levels from df
Usage
xmuMinLevels(df, what = c("value", "name"))
Arguments
df |
Dataframe to search through |
what |
Either "value" or "name" (of the min-level column) |
Value
min number of levels in frame
See Also
Other xmu internal not for end user:
umxModel(),
umxRenameMatrix(),
umx_APA_pval(),
umx_fun_mean_sd(),
umx_get_bracket_addresses(),
umx_make(),
umx_standardize(),
umx_string_to_algebra(),
xmuHasSquareBrackets(),
xmuLabel_MATRIX_Model(),
xmuLabel_Matrix(),
xmuLabel_RAM_Model(),
xmuMI(),
xmuMakeDeviationThresholdsMatrices(),
xmuMakeOneHeadedPathsFromPathList(),
xmuMakeTwoHeadedPathsFromPathList(),
xmuMaxLevels(),
xmuPropagateLabels(),
xmuRAM2Ordinal(),
xmuTwinSuper_Continuous(),
xmuTwinSuper_NoBinary(),
xmuTwinUpgradeMeansToCovariateModel(),
xmu_CI_merge(),
xmu_CI_stash(),
xmu_DF_to_mxData_TypeCov(),
xmu_PadAndPruneForDefVars(),
xmu_bracket_address2rclabel(),
xmu_cell_is_on(),
xmu_check_levels_identical(),
xmu_check_needs_means(),
xmu_check_variance(),
xmu_clean_label(),
xmu_data_missing(),
xmu_data_swap_a_block(),
xmu_describe_data_WLS(),
xmu_dot_make_paths(),
xmu_dot_make_residuals(),
xmu_dot_maker(),
xmu_dot_move_ranks(),
xmu_dot_rank_str(),
xmu_extract_column(),
xmu_get_CI(),
xmu_lavaan_process_group(),
xmu_make_TwinSuperModel(),
xmu_make_bin_cont_pair_data(),
xmu_make_mxData(),
xmu_match.arg(),
xmu_name_from_lavaan_str(),
xmu_path2twin(),
xmu_path_regex(),
xmu_print_algebras(),
xmu_rclabel_2_bracket_address(),
xmu_relevel_factors(),
xmu_safe_run_summary(),
xmu_set_sep_from_suffix(),
xmu_show_fit_or_comparison(),
xmu_simplex_corner(),
xmu_standardize_ACE(),
xmu_standardize_ACEcov(),
xmu_standardize_ACEv(),
xmu_standardize_CP(),
xmu_standardize_IP(),
xmu_standardize_RAM(),
xmu_standardize_SexLim(),
xmu_standardize_Simplex(),
xmu_start_value_list(),
xmu_starts(),
xmu_summary_RAM_group_parameters(),
xmu_twin_add_WeightMatrices(),
xmu_twin_check(),
xmu_twin_get_var_names(),
xmu_twin_make_def_means_mats_and_alg(),
xmu_twin_upgrade_selDvs2SelVars(),
xmu_update_covar()
Examples
xmuMinLevels(mtcars) # NA = no ordinal vars
xmuMinLevels(umxFactor(mtcars))
xmuMinLevels(umxFactor(mtcars), what = "name")
xmuPropagateLabels (not a user function)
Description
You should be calling xmuLabel().
This function is called by xmuLabel_MATRIX_Model
Usage
xmuPropagateLabels(model, suffix = "", verbose = TRUE)
Arguments
model |
a model to label |
suffix |
a string to append to each label |
verbose |
whether to say what is being done |
Value
See Also
Other xmu internal not for end user:
umxModel(),
umxRenameMatrix(),
umx_APA_pval(),
umx_fun_mean_sd(),
umx_get_bracket_addresses(),
umx_make(),
umx_standardize(),
umx_string_to_algebra(),
xmuHasSquareBrackets(),
xmuLabel_MATRIX_Model(),
xmuLabel_Matrix(),
xmuLabel_RAM_Model(),
xmuMI(),
xmuMakeDeviationThresholdsMatrices(),
xmuMakeOneHeadedPathsFromPathList(),
xmuMakeTwoHeadedPathsFromPathList(),
xmuMaxLevels(),
xmuMinLevels(),
xmuRAM2Ordinal(),
xmuTwinSuper_Continuous(),
xmuTwinSuper_NoBinary(),
xmuTwinUpgradeMeansToCovariateModel(),
xmu_CI_merge(),
xmu_CI_stash(),
xmu_DF_to_mxData_TypeCov(),
xmu_PadAndPruneForDefVars(),
xmu_bracket_address2rclabel(),
xmu_cell_is_on(),
xmu_check_levels_identical(),
xmu_check_needs_means(),
xmu_check_variance(),
xmu_clean_label(),
xmu_data_missing(),
xmu_data_swap_a_block(),
xmu_describe_data_WLS(),
xmu_dot_make_paths(),
xmu_dot_make_residuals(),
xmu_dot_maker(),
xmu_dot_move_ranks(),
xmu_dot_rank_str(),
xmu_extract_column(),
xmu_get_CI(),
xmu_lavaan_process_group(),
xmu_make_TwinSuperModel(),
xmu_make_bin_cont_pair_data(),
xmu_make_mxData(),
xmu_match.arg(),
xmu_name_from_lavaan_str(),
xmu_path2twin(),
xmu_path_regex(),
xmu_print_algebras(),
xmu_rclabel_2_bracket_address(),
xmu_relevel_factors(),
xmu_safe_run_summary(),
xmu_set_sep_from_suffix(),
xmu_show_fit_or_comparison(),
xmu_simplex_corner(),
xmu_standardize_ACE(),
xmu_standardize_ACEcov(),
xmu_standardize_ACEv(),
xmu_standardize_CP(),
xmu_standardize_IP(),
xmu_standardize_RAM(),
xmu_standardize_SexLim(),
xmu_standardize_Simplex(),
xmu_start_value_list(),
xmu_starts(),
xmu_summary_RAM_group_parameters(),
xmu_twin_add_WeightMatrices(),
xmu_twin_check(),
xmu_twin_get_var_names(),
xmu_twin_make_def_means_mats_and_alg(),
xmu_twin_upgrade_selDvs2SelVars(),
xmu_update_covar()
Examples
require(umx)
data(demoOneFactor)
latents = c("G")
manifests = names(demoOneFactor)
m1 = mxModel("propage_example", type = "RAM",
manifestVars = manifests, latentVars = latents,
mxPath(from = latents , to = manifests),
mxPath(from = manifests, arrows = 2),
mxPath(from = latents , arrows = 2, free = FALSE, values = 1.0),
mxData(cov(demoOneFactor), type = "cov", numObs=500)
)
m1 = umx:::xmuPropagateLabels(m1, suffix = "MZ")
xmuRAM2Ordinal
Description
xmuRAM2Ordinal: Convert a RAM model whose data contain ordinal variables to a threshold-based model
Usage
xmuRAM2Ordinal(model, verbose = TRUE, name = NULL)
Arguments
model |
An RAM model to add thresholds too. |
verbose |
Tell the user what was added and why (Default = TRUE). |
name |
= A new name for the modified model. Default (NULL) = leave it as is). |
Value
See Also
Other xmu internal not for end user:
umxModel(),
umxRenameMatrix(),
umx_APA_pval(),
umx_fun_mean_sd(),
umx_get_bracket_addresses(),
umx_make(),
umx_standardize(),
umx_string_to_algebra(),
xmuHasSquareBrackets(),
xmuLabel_MATRIX_Model(),
xmuLabel_Matrix(),
xmuLabel_RAM_Model(),
xmuMI(),
xmuMakeDeviationThresholdsMatrices(),
xmuMakeOneHeadedPathsFromPathList(),
xmuMakeTwoHeadedPathsFromPathList(),
xmuMaxLevels(),
xmuMinLevels(),
xmuPropagateLabels(),
xmuTwinSuper_Continuous(),
xmuTwinSuper_NoBinary(),
xmuTwinUpgradeMeansToCovariateModel(),
xmu_CI_merge(),
xmu_CI_stash(),
xmu_DF_to_mxData_TypeCov(),
xmu_PadAndPruneForDefVars(),
xmu_bracket_address2rclabel(),
xmu_cell_is_on(),
xmu_check_levels_identical(),
xmu_check_needs_means(),
xmu_check_variance(),
xmu_clean_label(),
xmu_data_missing(),
xmu_data_swap_a_block(),
xmu_describe_data_WLS(),
xmu_dot_make_paths(),
xmu_dot_make_residuals(),
xmu_dot_maker(),
xmu_dot_move_ranks(),
xmu_dot_rank_str(),
xmu_extract_column(),
xmu_get_CI(),
xmu_lavaan_process_group(),
xmu_make_TwinSuperModel(),
xmu_make_bin_cont_pair_data(),
xmu_make_mxData(),
xmu_match.arg(),
xmu_name_from_lavaan_str(),
xmu_path2twin(),
xmu_path_regex(),
xmu_print_algebras(),
xmu_rclabel_2_bracket_address(),
xmu_relevel_factors(),
xmu_safe_run_summary(),
xmu_set_sep_from_suffix(),
xmu_show_fit_or_comparison(),
xmu_simplex_corner(),
xmu_standardize_ACE(),
xmu_standardize_ACEcov(),
xmu_standardize_ACEv(),
xmu_standardize_CP(),
xmu_standardize_IP(),
xmu_standardize_RAM(),
xmu_standardize_SexLim(),
xmu_standardize_Simplex(),
xmu_start_value_list(),
xmu_starts(),
xmu_summary_RAM_group_parameters(),
xmu_twin_add_WeightMatrices(),
xmu_twin_check(),
xmu_twin_get_var_names(),
xmu_twin_make_def_means_mats_and_alg(),
xmu_twin_upgrade_selDvs2SelVars(),
xmu_update_covar()
Examples
## Not run:
data(twinData)
# Cut to form category of 20% obese subjects
obesityLevels = c('normal', 'obese')
cutPoints = quantile(twinData[, "bmi1"], probs = .2, na.rm = TRUE)
twinData$obese1 = cut(twinData$bmi1, breaks = c(-Inf, cutPoints, Inf), labels = obesityLevels)
twinData$obese2 = cut(twinData$bmi2, breaks = c(-Inf, cutPoints, Inf), labels = obesityLevels)
ordDVs = c("obese1", "obese2")
twinData[, ordDVs] = umxFactor(twinData[, ordDVs])
mzData = twinData[twinData$zygosity %in% "MZFF",]
m1 = umxRAM("tim", data = mzData,
umxPath("bmi1", with = "bmi2"),
umxPath(v.m.= c("bmi1", "bmi2"))
)
m1 = umxRAM("tim", data = mzData,
umxPath("obese1", with = "obese2"),
umxPath(v.m.= c("obese1", "obese2"))
)
## End(Not run)
Create core of twin model for all-continuous data.
Description
Sets up top, MZ and DZ submodels with a means model, data, and expectation for all-continuous data.
called by xmu_make_TwinSuperModel().
Usage
xmuTwinSuper_Continuous(
name = NULL,
fullVars,
fullCovs = NULL,
sep,
mzData,
dzData,
equateMeans,
type,
allContinuousMethod,
nSib
)
Arguments
name |
The name of the supermodel |
fullVars |
Full Variable names (wt_T1) |
fullCovs |
Full Covariate names (age_T1) |
sep |
default "_T" |
mzData |
An mxData object containing the MZ data |
dzData |
An mxData object containing the DZ data |
equateMeans |
Whether to equate the means across twins (default TRUE) |
type |
type |
allContinuousMethod |
allContinuousMethod |
nSib |
nSib |
Value
A twin model
See Also
Other xmu internal not for end user:
umxModel(),
umxRenameMatrix(),
umx_APA_pval(),
umx_fun_mean_sd(),
umx_get_bracket_addresses(),
umx_make(),
umx_standardize(),
umx_string_to_algebra(),
xmuHasSquareBrackets(),
xmuLabel_MATRIX_Model(),
xmuLabel_Matrix(),
xmuLabel_RAM_Model(),
xmuMI(),
xmuMakeDeviationThresholdsMatrices(),
xmuMakeOneHeadedPathsFromPathList(),
xmuMakeTwoHeadedPathsFromPathList(),
xmuMaxLevels(),
xmuMinLevels(),
xmuPropagateLabels(),
xmuRAM2Ordinal(),
xmuTwinSuper_NoBinary(),
xmuTwinUpgradeMeansToCovariateModel(),
xmu_CI_merge(),
xmu_CI_stash(),
xmu_DF_to_mxData_TypeCov(),
xmu_PadAndPruneForDefVars(),
xmu_bracket_address2rclabel(),
xmu_cell_is_on(),
xmu_check_levels_identical(),
xmu_check_needs_means(),
xmu_check_variance(),
xmu_clean_label(),
xmu_data_missing(),
xmu_data_swap_a_block(),
xmu_describe_data_WLS(),
xmu_dot_make_paths(),
xmu_dot_make_residuals(),
xmu_dot_maker(),
xmu_dot_move_ranks(),
xmu_dot_rank_str(),
xmu_extract_column(),
xmu_get_CI(),
xmu_lavaan_process_group(),
xmu_make_TwinSuperModel(),
xmu_make_bin_cont_pair_data(),
xmu_make_mxData(),
xmu_match.arg(),
xmu_name_from_lavaan_str(),
xmu_path2twin(),
xmu_path_regex(),
xmu_print_algebras(),
xmu_rclabel_2_bracket_address(),
xmu_relevel_factors(),
xmu_safe_run_summary(),
xmu_set_sep_from_suffix(),
xmu_show_fit_or_comparison(),
xmu_simplex_corner(),
xmu_standardize_ACE(),
xmu_standardize_ACEcov(),
xmu_standardize_ACEv(),
xmu_standardize_CP(),
xmu_standardize_IP(),
xmu_standardize_RAM(),
xmu_standardize_SexLim(),
xmu_standardize_Simplex(),
xmu_start_value_list(),
xmu_starts(),
xmu_summary_RAM_group_parameters(),
xmu_twin_add_WeightMatrices(),
xmu_twin_check(),
xmu_twin_get_var_names(),
xmu_twin_make_def_means_mats_and_alg(),
xmu_twin_upgrade_selDvs2SelVars(),
xmu_update_covar()
Examples
## Not run:
xmuTwinSuper_Continuous(name="twin_super", selVars = selVars, selCovs = selCovs,
mzData = mzData, dzData = dzData, equateMeans = TRUE, type = type,
allContinuousMethod = allContinuousMethod, nSib= nSib, sep = "_T" )
## End(Not run)
xmuTwinSuper_NoBinary
Description
xmuTwinSuper_NoBinary
Usage
xmuTwinSuper_NoBinary(
name = NULL,
fullVars,
fullCovs = NULL,
mzData,
dzData,
sep,
nSib,
equateMeans = TRUE,
verbose = FALSE
)
Arguments
name |
= NULL |
fullVars |
full names of variables |
fullCovs |
full names of covariates |
mzData |
mzData |
dzData |
dzData |
sep |
sep |
nSib |
nSib |
equateMeans |
T/F |
verbose |
(Default FALSE) |
Value
twin model
Handle 1 or more ordinal variables (no binary)
Means ordinal, but no binary Means: all free, start cont at the measured value, ordinals @0
Notes: Ordinal requires:
Variable set to mxFactor
For Binary variables:
Latent means of binary variables fixedAt 0 (or by data.def?)
Latent variance (A + C + E) constrained == 1
For Ordinal variables, first 2 thresholds fixed
See Also
Other xmu internal not for end user:
umxModel(),
umxRenameMatrix(),
umx_APA_pval(),
umx_fun_mean_sd(),
umx_get_bracket_addresses(),
umx_make(),
umx_standardize(),
umx_string_to_algebra(),
xmuHasSquareBrackets(),
xmuLabel_MATRIX_Model(),
xmuLabel_Matrix(),
xmuLabel_RAM_Model(),
xmuMI(),
xmuMakeDeviationThresholdsMatrices(),
xmuMakeOneHeadedPathsFromPathList(),
xmuMakeTwoHeadedPathsFromPathList(),
xmuMaxLevels(),
xmuMinLevels(),
xmuPropagateLabels(),
xmuRAM2Ordinal(),
xmuTwinSuper_Continuous(),
xmuTwinUpgradeMeansToCovariateModel(),
xmu_CI_merge(),
xmu_CI_stash(),
xmu_DF_to_mxData_TypeCov(),
xmu_PadAndPruneForDefVars(),
xmu_bracket_address2rclabel(),
xmu_cell_is_on(),
xmu_check_levels_identical(),
xmu_check_needs_means(),
xmu_check_variance(),
xmu_clean_label(),
xmu_data_missing(),
xmu_data_swap_a_block(),
xmu_describe_data_WLS(),
xmu_dot_make_paths(),
xmu_dot_make_residuals(),
xmu_dot_maker(),
xmu_dot_move_ranks(),
xmu_dot_rank_str(),
xmu_extract_column(),
xmu_get_CI(),
xmu_lavaan_process_group(),
xmu_make_TwinSuperModel(),
xmu_make_bin_cont_pair_data(),
xmu_make_mxData(),
xmu_match.arg(),
xmu_name_from_lavaan_str(),
xmu_path2twin(),
xmu_path_regex(),
xmu_print_algebras(),
xmu_rclabel_2_bracket_address(),
xmu_relevel_factors(),
xmu_safe_run_summary(),
xmu_set_sep_from_suffix(),
xmu_show_fit_or_comparison(),
xmu_simplex_corner(),
xmu_standardize_ACE(),
xmu_standardize_ACEcov(),
xmu_standardize_ACEv(),
xmu_standardize_CP(),
xmu_standardize_IP(),
xmu_standardize_RAM(),
xmu_standardize_SexLim(),
xmu_standardize_Simplex(),
xmu_start_value_list(),
xmu_starts(),
xmu_summary_RAM_group_parameters(),
xmu_twin_add_WeightMatrices(),
xmu_twin_check(),
xmu_twin_get_var_names(),
xmu_twin_make_def_means_mats_and_alg(),
xmu_twin_upgrade_selDvs2SelVars(),
xmu_update_covar()
Examples
#
Not for end-users: Add a means model with covariates to a twin model
Description
Does the following to model (i.e., a umx top/MZ/DZ supermodel):
Change
top.expMeanstotop.intercept.Create
top.meansBetasfor beta weights in rows (of covariates) and columns for each variable.Add matrices for each twin's data.cov vars (matrixes are called
T1DefVars).Switch
mxExpectationNormalin each data group to point to the localexpMean.Add "expMean" algebra to each data group.
-
grp.expMeansumstop.interceptandgrp.DefVars %*% top.meansBetasfor each twin.
Usage
xmuTwinUpgradeMeansToCovariateModel(model, fullVars, fullCovs, nSib, sep)
Arguments
model |
The |
fullVars |
the FULL names of manifest variables |
fullCovs |
the FULL names of definition variables |
nSib |
How many siblings |
sep |
How twin variable names have been expanded, e.g. "_T". |
Details
In umx models with no covariates, means live in top$expMean
Value
model, now with means model extended to covariates.
See Also
called by
xmuTwinSuper_Continuous()
Other xmu internal not for end user:
umxModel(),
umxRenameMatrix(),
umx_APA_pval(),
umx_fun_mean_sd(),
umx_get_bracket_addresses(),
umx_make(),
umx_standardize(),
umx_string_to_algebra(),
xmuHasSquareBrackets(),
xmuLabel_MATRIX_Model(),
xmuLabel_Matrix(),
xmuLabel_RAM_Model(),
xmuMI(),
xmuMakeDeviationThresholdsMatrices(),
xmuMakeOneHeadedPathsFromPathList(),
xmuMakeTwoHeadedPathsFromPathList(),
xmuMaxLevels(),
xmuMinLevels(),
xmuPropagateLabels(),
xmuRAM2Ordinal(),
xmuTwinSuper_Continuous(),
xmuTwinSuper_NoBinary(),
xmu_CI_merge(),
xmu_CI_stash(),
xmu_DF_to_mxData_TypeCov(),
xmu_PadAndPruneForDefVars(),
xmu_bracket_address2rclabel(),
xmu_cell_is_on(),
xmu_check_levels_identical(),
xmu_check_needs_means(),
xmu_check_variance(),
xmu_clean_label(),
xmu_data_missing(),
xmu_data_swap_a_block(),
xmu_describe_data_WLS(),
xmu_dot_make_paths(),
xmu_dot_make_residuals(),
xmu_dot_maker(),
xmu_dot_move_ranks(),
xmu_dot_rank_str(),
xmu_extract_column(),
xmu_get_CI(),
xmu_lavaan_process_group(),
xmu_make_TwinSuperModel(),
xmu_make_bin_cont_pair_data(),
xmu_make_mxData(),
xmu_match.arg(),
xmu_name_from_lavaan_str(),
xmu_path2twin(),
xmu_path_regex(),
xmu_print_algebras(),
xmu_rclabel_2_bracket_address(),
xmu_relevel_factors(),
xmu_safe_run_summary(),
xmu_set_sep_from_suffix(),
xmu_show_fit_or_comparison(),
xmu_simplex_corner(),
xmu_standardize_ACE(),
xmu_standardize_ACEcov(),
xmu_standardize_ACEv(),
xmu_standardize_CP(),
xmu_standardize_IP(),
xmu_standardize_RAM(),
xmu_standardize_SexLim(),
xmu_standardize_Simplex(),
xmu_start_value_list(),
xmu_starts(),
xmu_summary_RAM_group_parameters(),
xmu_twin_add_WeightMatrices(),
xmu_twin_check(),
xmu_twin_get_var_names(),
xmu_twin_make_def_means_mats_and_alg(),
xmu_twin_upgrade_selDvs2SelVars(),
xmu_update_covar()
Examples
## Not run:
data(twinData) # ?twinData from Australian twins.
twinData[, c("ht1", "ht2")] = twinData[, c("ht1", "ht2")] * 10
mzData = twinData[twinData$zygosity %in% "MZFF", ]
dzData = twinData[twinData$zygosity %in% "DZFF", ]
# m1 = umxACE(selDVs= "ht", sep= "", dzData= dzData, mzData= mzData, autoRun= FALSE)
# m2 = xmuTwinUpgradeMeansToCovariateModel(m1, fullVars = c("ht1", "ht2"),
# fullCovs = c("age1", "sex1", "age2", "sex2"), sep = "")
## End(Not run)
xmuValues: Set values in RAM model, matrix, or path
Description
For models to be estimated, it is essential that path values start at credible values.
xmuValues takes on that task for you.
Usage
xmuValues(obj = NA, sd = NA, n = 1, onlyTouchZeros = FALSE)
Arguments
obj |
The RAM or matrix |
sd |
Optional Standard Deviation for start values |
n |
Optional Mean for start values |
onlyTouchZeros |
Don't alter parameters that have starts (useful to speed |
Details
xmuValues can set start values for the free parameters in both RAM and Matrix OpenMx::mxModel()s.
It can also take an mxMatrix as input.
It tries to be smart in guessing starts from the values in your data and the model type.
note: If you give xmuValues a numeric input, it will use obj as the mean, and return a list of length n, with sd = sd.
Value
-
OpenMx::mxModel()with updated start values
References
See Also
Core functions:
Other Advanced Model Building Functions:
umx,
umxAlgebra(),
umxFixAll(),
umxJiggle(),
umxRun(),
umxThresholdMatrix(),
umxUnexplainedCausalNexus(),
xmuLabel()
Examples
## Not run:
require(umx)
data(demoOneFactor)
latents = c("G")
manifests = names(demoOneFactor)
# ====================================================================
# = Make an OpenMx model (which will lack start values and labels..) =
# ====================================================================
m1 = mxModel("One Factor", type = "RAM",
manifestVars = manifests, latentVars = latents,
mxPath(from = latents , to = manifests),
mxPath(from = manifests, arrows = 2),
mxPath(from = latents , arrows = 2, free = FALSE, values = 1.0),
mxData(cov(demoOneFactor), type = "cov", numObs=500)
)
mxEval(S, m1) # default variances are jiggled away from near-zero
# Add start values to the model
m1 = xmuValues(m1)
mxEval(S, m1) # plausible variances
umx_print(mxEval(S,m1), 3, zero.print = ".") # plausible variances
xmuValues(14, sd = 1, n = 10) # Return vector of length 10, with mean 14 and sd 1
## End(Not run)
xmu_CI_merge
Description
if you compute some CIs in one model and some in another (copy of the same model, perhaps to get some parallelism), this is a simple helper to kludge them together.
Usage
xmu_CI_merge(m1, m2)
Arguments
m1 |
first copy of the model |
m2 |
second copy of the model |
Value
- [OpenMx::mxModel()]
References
- <https://github.com/tbates/umx>
See Also
Other xmu internal not for end user:
umxModel(),
umxRenameMatrix(),
umx_APA_pval(),
umx_fun_mean_sd(),
umx_get_bracket_addresses(),
umx_make(),
umx_standardize(),
umx_string_to_algebra(),
xmuHasSquareBrackets(),
xmuLabel_MATRIX_Model(),
xmuLabel_Matrix(),
xmuLabel_RAM_Model(),
xmuMI(),
xmuMakeDeviationThresholdsMatrices(),
xmuMakeOneHeadedPathsFromPathList(),
xmuMakeTwoHeadedPathsFromPathList(),
xmuMaxLevels(),
xmuMinLevels(),
xmuPropagateLabels(),
xmuRAM2Ordinal(),
xmuTwinSuper_Continuous(),
xmuTwinSuper_NoBinary(),
xmuTwinUpgradeMeansToCovariateModel(),
xmu_CI_stash(),
xmu_DF_to_mxData_TypeCov(),
xmu_PadAndPruneForDefVars(),
xmu_bracket_address2rclabel(),
xmu_cell_is_on(),
xmu_check_levels_identical(),
xmu_check_needs_means(),
xmu_check_variance(),
xmu_clean_label(),
xmu_data_missing(),
xmu_data_swap_a_block(),
xmu_describe_data_WLS(),
xmu_dot_make_paths(),
xmu_dot_make_residuals(),
xmu_dot_maker(),
xmu_dot_move_ranks(),
xmu_dot_rank_str(),
xmu_extract_column(),
xmu_get_CI(),
xmu_lavaan_process_group(),
xmu_make_TwinSuperModel(),
xmu_make_bin_cont_pair_data(),
xmu_make_mxData(),
xmu_match.arg(),
xmu_name_from_lavaan_str(),
xmu_path2twin(),
xmu_path_regex(),
xmu_print_algebras(),
xmu_rclabel_2_bracket_address(),
xmu_relevel_factors(),
xmu_safe_run_summary(),
xmu_set_sep_from_suffix(),
xmu_show_fit_or_comparison(),
xmu_simplex_corner(),
xmu_standardize_ACE(),
xmu_standardize_ACEcov(),
xmu_standardize_ACEv(),
xmu_standardize_CP(),
xmu_standardize_IP(),
xmu_standardize_RAM(),
xmu_standardize_SexLim(),
xmu_standardize_Simplex(),
xmu_start_value_list(),
xmu_starts(),
xmu_summary_RAM_group_parameters(),
xmu_twin_add_WeightMatrices(),
xmu_twin_check(),
xmu_twin_get_var_names(),
xmu_twin_make_def_means_mats_and_alg(),
xmu_twin_upgrade_selDvs2SelVars(),
xmu_update_covar()
Examples
## Not run:
xmu_CI_merge(m1, m2)
## End(Not run)
Stash the CI values of a model as strings in the values of the model
Description
Stash formatted CIs (e.g. ".1 [-.1, .3]") as strings, overwriting the parameter values of the model.
Usage
xmu_CI_stash(model, digits = 3, dropZeros = FALSE, stdAlg2mat = TRUE)
Arguments
model |
An |
digits |
rounding. |
dropZeros |
makes strings for failed CIs? |
stdAlg2mat |
treat std as algebra: stash in non std matrix. |
Details
I might change this to a lookup-function that gets a CI string if one exists.
Value
References
See Also
Other xmu internal not for end user:
umxModel(),
umxRenameMatrix(),
umx_APA_pval(),
umx_fun_mean_sd(),
umx_get_bracket_addresses(),
umx_make(),
umx_standardize(),
umx_string_to_algebra(),
xmuHasSquareBrackets(),
xmuLabel_MATRIX_Model(),
xmuLabel_Matrix(),
xmuLabel_RAM_Model(),
xmuMI(),
xmuMakeDeviationThresholdsMatrices(),
xmuMakeOneHeadedPathsFromPathList(),
xmuMakeTwoHeadedPathsFromPathList(),
xmuMaxLevels(),
xmuMinLevels(),
xmuPropagateLabels(),
xmuRAM2Ordinal(),
xmuTwinSuper_Continuous(),
xmuTwinSuper_NoBinary(),
xmuTwinUpgradeMeansToCovariateModel(),
xmu_CI_merge(),
xmu_DF_to_mxData_TypeCov(),
xmu_PadAndPruneForDefVars(),
xmu_bracket_address2rclabel(),
xmu_cell_is_on(),
xmu_check_levels_identical(),
xmu_check_needs_means(),
xmu_check_variance(),
xmu_clean_label(),
xmu_data_missing(),
xmu_data_swap_a_block(),
xmu_describe_data_WLS(),
xmu_dot_make_paths(),
xmu_dot_make_residuals(),
xmu_dot_maker(),
xmu_dot_move_ranks(),
xmu_dot_rank_str(),
xmu_extract_column(),
xmu_get_CI(),
xmu_lavaan_process_group(),
xmu_make_TwinSuperModel(),
xmu_make_bin_cont_pair_data(),
xmu_make_mxData(),
xmu_match.arg(),
xmu_name_from_lavaan_str(),
xmu_path2twin(),
xmu_path_regex(),
xmu_print_algebras(),
xmu_rclabel_2_bracket_address(),
xmu_relevel_factors(),
xmu_safe_run_summary(),
xmu_set_sep_from_suffix(),
xmu_show_fit_or_comparison(),
xmu_simplex_corner(),
xmu_standardize_ACE(),
xmu_standardize_ACEcov(),
xmu_standardize_ACEv(),
xmu_standardize_CP(),
xmu_standardize_IP(),
xmu_standardize_RAM(),
xmu_standardize_SexLim(),
xmu_standardize_Simplex(),
xmu_start_value_list(),
xmu_starts(),
xmu_summary_RAM_group_parameters(),
xmu_twin_add_WeightMatrices(),
xmu_twin_check(),
xmu_twin_get_var_names(),
xmu_twin_make_def_means_mats_and_alg(),
xmu_twin_upgrade_selDvs2SelVars(),
xmu_update_covar()
Convert a dataframe into a cov mxData object
Description
xmu_DF_to_mxData_TypeCov converts a dataframe into OpenMx::mxData() with type="cov" and nrow = numObs
and optionally adding means.
Usage
xmu_DF_to_mxData_TypeCov(
df,
columns = NA,
use = c("complete.obs", "everything", "all.obs", "na.or.complete",
"pairwise.complete.obs")
)
Arguments
df |
the dataframe to covert to an mxData type cov object. |
columns |
= Which columns to keep (default is all). |
use |
= Default is "complete.obs". |
Value
-
OpenMx::mxData()of type = cov
References
See Also
Other xmu internal not for end user:
umxModel(),
umxRenameMatrix(),
umx_APA_pval(),
umx_fun_mean_sd(),
umx_get_bracket_addresses(),
umx_make(),
umx_standardize(),
umx_string_to_algebra(),
xmuHasSquareBrackets(),
xmuLabel_MATRIX_Model(),
xmuLabel_Matrix(),
xmuLabel_RAM_Model(),
xmuMI(),
xmuMakeDeviationThresholdsMatrices(),
xmuMakeOneHeadedPathsFromPathList(),
xmuMakeTwoHeadedPathsFromPathList(),
xmuMaxLevels(),
xmuMinLevels(),
xmuPropagateLabels(),
xmuRAM2Ordinal(),
xmuTwinSuper_Continuous(),
xmuTwinSuper_NoBinary(),
xmuTwinUpgradeMeansToCovariateModel(),
xmu_CI_merge(),
xmu_CI_stash(),
xmu_PadAndPruneForDefVars(),
xmu_bracket_address2rclabel(),
xmu_cell_is_on(),
xmu_check_levels_identical(),
xmu_check_needs_means(),
xmu_check_variance(),
xmu_clean_label(),
xmu_data_missing(),
xmu_data_swap_a_block(),
xmu_describe_data_WLS(),
xmu_dot_make_paths(),
xmu_dot_make_residuals(),
xmu_dot_maker(),
xmu_dot_move_ranks(),
xmu_dot_rank_str(),
xmu_extract_column(),
xmu_get_CI(),
xmu_lavaan_process_group(),
xmu_make_TwinSuperModel(),
xmu_make_bin_cont_pair_data(),
xmu_make_mxData(),
xmu_match.arg(),
xmu_name_from_lavaan_str(),
xmu_path2twin(),
xmu_path_regex(),
xmu_print_algebras(),
xmu_rclabel_2_bracket_address(),
xmu_relevel_factors(),
xmu_safe_run_summary(),
xmu_set_sep_from_suffix(),
xmu_show_fit_or_comparison(),
xmu_simplex_corner(),
xmu_standardize_ACE(),
xmu_standardize_ACEcov(),
xmu_standardize_ACEv(),
xmu_standardize_CP(),
xmu_standardize_IP(),
xmu_standardize_RAM(),
xmu_standardize_SexLim(),
xmu_standardize_Simplex(),
xmu_start_value_list(),
xmu_starts(),
xmu_summary_RAM_group_parameters(),
xmu_twin_add_WeightMatrices(),
xmu_twin_check(),
xmu_twin_get_var_names(),
xmu_twin_make_def_means_mats_and_alg(),
xmu_twin_upgrade_selDvs2SelVars(),
xmu_update_covar()
Examples
xmu_DF_to_mxData_TypeCov(mtcars, c("mpg", "hp"))
Where all data are missing for a twin, add default values for definition variables, allowing the row to be kept
Description
Replaces NAs in definition slots with the mean for that variable ONLY where all data are missing for that twin.
Usage
xmu_PadAndPruneForDefVars(
df,
varNames,
defNames,
suffixes,
highDefValue = 99,
rm = c("drop_missing_def", "pad_with_mean")
)
Arguments
df |
The dataframe to process |
varNames |
list of names of the variables being analysed |
defNames |
list of covariates |
suffixes |
that map names on columns in df (i.e., c("T1", "T2")) |
highDefValue |
What to replace missing definition variables (covariates) with. Default = 99 |
rm |
= how to handle missing values in the varNames. Default is "drop_missing_def", "pad_with_mean") |
Value
dataframe
See Also
Other xmu internal not for end user:
umxModel(),
umxRenameMatrix(),
umx_APA_pval(),
umx_fun_mean_sd(),
umx_get_bracket_addresses(),
umx_make(),
umx_standardize(),
umx_string_to_algebra(),
xmuHasSquareBrackets(),
xmuLabel_MATRIX_Model(),
xmuLabel_Matrix(),
xmuLabel_RAM_Model(),
xmuMI(),
xmuMakeDeviationThresholdsMatrices(),
xmuMakeOneHeadedPathsFromPathList(),
xmuMakeTwoHeadedPathsFromPathList(),
xmuMaxLevels(),
xmuMinLevels(),
xmuPropagateLabels(),
xmuRAM2Ordinal(),
xmuTwinSuper_Continuous(),
xmuTwinSuper_NoBinary(),
xmuTwinUpgradeMeansToCovariateModel(),
xmu_CI_merge(),
xmu_CI_stash(),
xmu_DF_to_mxData_TypeCov(),
xmu_bracket_address2rclabel(),
xmu_cell_is_on(),
xmu_check_levels_identical(),
xmu_check_needs_means(),
xmu_check_variance(),
xmu_clean_label(),
xmu_data_missing(),
xmu_data_swap_a_block(),
xmu_describe_data_WLS(),
xmu_dot_make_paths(),
xmu_dot_make_residuals(),
xmu_dot_maker(),
xmu_dot_move_ranks(),
xmu_dot_rank_str(),
xmu_extract_column(),
xmu_get_CI(),
xmu_lavaan_process_group(),
xmu_make_TwinSuperModel(),
xmu_make_bin_cont_pair_data(),
xmu_make_mxData(),
xmu_match.arg(),
xmu_name_from_lavaan_str(),
xmu_path2twin(),
xmu_path_regex(),
xmu_print_algebras(),
xmu_rclabel_2_bracket_address(),
xmu_relevel_factors(),
xmu_safe_run_summary(),
xmu_set_sep_from_suffix(),
xmu_show_fit_or_comparison(),
xmu_simplex_corner(),
xmu_standardize_ACE(),
xmu_standardize_ACEcov(),
xmu_standardize_ACEv(),
xmu_standardize_CP(),
xmu_standardize_IP(),
xmu_standardize_RAM(),
xmu_standardize_SexLim(),
xmu_standardize_Simplex(),
xmu_start_value_list(),
xmu_starts(),
xmu_summary_RAM_group_parameters(),
xmu_twin_add_WeightMatrices(),
xmu_twin_check(),
xmu_twin_get_var_names(),
xmu_twin_make_def_means_mats_and_alg(),
xmu_twin_upgrade_selDvs2SelVars(),
xmu_update_covar()
Examples
## Not run:
data(twinData)
sum(is.na(twinData$ht1))
df = xmu_PadAndPruneForDefVars(twinData, varNames = "ht", defNames = "wt", c("1", "2"))
## End(Not run)
Convert a bracket address into an A_rXcX-style label.
Description
Takes a label like A[1,1] and returns "A_r1c1".
Usage
xmu_bracket_address2rclabel(label, keepPrefix = TRUE)
Arguments
label |
A bracket label |
keepPrefix |
Keep any prefix found e.g. "model.top" |
Value
label e.g. "ai_r1c1"
References
See Also
Other xmu internal not for end user:
umxModel(),
umxRenameMatrix(),
umx_APA_pval(),
umx_fun_mean_sd(),
umx_get_bracket_addresses(),
umx_make(),
umx_standardize(),
umx_string_to_algebra(),
xmuHasSquareBrackets(),
xmuLabel_MATRIX_Model(),
xmuLabel_Matrix(),
xmuLabel_RAM_Model(),
xmuMI(),
xmuMakeDeviationThresholdsMatrices(),
xmuMakeOneHeadedPathsFromPathList(),
xmuMakeTwoHeadedPathsFromPathList(),
xmuMaxLevels(),
xmuMinLevels(),
xmuPropagateLabels(),
xmuRAM2Ordinal(),
xmuTwinSuper_Continuous(),
xmuTwinSuper_NoBinary(),
xmuTwinUpgradeMeansToCovariateModel(),
xmu_CI_merge(),
xmu_CI_stash(),
xmu_DF_to_mxData_TypeCov(),
xmu_PadAndPruneForDefVars(),
xmu_cell_is_on(),
xmu_check_levels_identical(),
xmu_check_needs_means(),
xmu_check_variance(),
xmu_clean_label(),
xmu_data_missing(),
xmu_data_swap_a_block(),
xmu_describe_data_WLS(),
xmu_dot_make_paths(),
xmu_dot_make_residuals(),
xmu_dot_maker(),
xmu_dot_move_ranks(),
xmu_dot_rank_str(),
xmu_extract_column(),
xmu_get_CI(),
xmu_lavaan_process_group(),
xmu_make_TwinSuperModel(),
xmu_make_bin_cont_pair_data(),
xmu_make_mxData(),
xmu_match.arg(),
xmu_name_from_lavaan_str(),
xmu_path2twin(),
xmu_path_regex(),
xmu_print_algebras(),
xmu_rclabel_2_bracket_address(),
xmu_relevel_factors(),
xmu_safe_run_summary(),
xmu_set_sep_from_suffix(),
xmu_show_fit_or_comparison(),
xmu_simplex_corner(),
xmu_standardize_ACE(),
xmu_standardize_ACEcov(),
xmu_standardize_ACEv(),
xmu_standardize_CP(),
xmu_standardize_IP(),
xmu_standardize_RAM(),
xmu_standardize_SexLim(),
xmu_standardize_Simplex(),
xmu_start_value_list(),
xmu_starts(),
xmu_summary_RAM_group_parameters(),
xmu_twin_add_WeightMatrices(),
xmu_twin_check(),
xmu_twin_get_var_names(),
xmu_twin_make_def_means_mats_and_alg(),
xmu_twin_upgrade_selDvs2SelVars(),
xmu_update_covar()
Examples
xmu_bracket_address2rclabel(label = "A[1,1]")
xmu_bracket_address2rclabel(label = "top.A[1,1]")
xmu_bracket_address2rclabel(label = "A_std[1,1]")
Return whether a cell is in a set location of a matrix
Description
Helper to determine is a cell is in a set location of a matrix or not. Left is useful for, e.g. twin means matrices.
Usage
xmu_cell_is_on(
r,
c,
where = c("diag", "lower", "lower_inc", "upper", "upper_inc", "any", "left"),
mat = NULL
)
Arguments
r |
which row the cell is on. |
c |
which column the cell is in. |
where |
the location (any, diag, lower or upper (or _inc) or left). |
mat |
(optionally) provide matrix to check dimensions against r and c. |
Value
References
See Also
Other xmu internal not for end user:
umxModel(),
umxRenameMatrix(),
umx_APA_pval(),
umx_fun_mean_sd(),
umx_get_bracket_addresses(),
umx_make(),
umx_standardize(),
umx_string_to_algebra(),
xmuHasSquareBrackets(),
xmuLabel_MATRIX_Model(),
xmuLabel_Matrix(),
xmuLabel_RAM_Model(),
xmuMI(),
xmuMakeDeviationThresholdsMatrices(),
xmuMakeOneHeadedPathsFromPathList(),
xmuMakeTwoHeadedPathsFromPathList(),
xmuMaxLevels(),
xmuMinLevels(),
xmuPropagateLabels(),
xmuRAM2Ordinal(),
xmuTwinSuper_Continuous(),
xmuTwinSuper_NoBinary(),
xmuTwinUpgradeMeansToCovariateModel(),
xmu_CI_merge(),
xmu_CI_stash(),
xmu_DF_to_mxData_TypeCov(),
xmu_PadAndPruneForDefVars(),
xmu_bracket_address2rclabel(),
xmu_check_levels_identical(),
xmu_check_needs_means(),
xmu_check_variance(),
xmu_clean_label(),
xmu_data_missing(),
xmu_data_swap_a_block(),
xmu_describe_data_WLS(),
xmu_dot_make_paths(),
xmu_dot_make_residuals(),
xmu_dot_maker(),
xmu_dot_move_ranks(),
xmu_dot_rank_str(),
xmu_extract_column(),
xmu_get_CI(),
xmu_lavaan_process_group(),
xmu_make_TwinSuperModel(),
xmu_make_bin_cont_pair_data(),
xmu_make_mxData(),
xmu_match.arg(),
xmu_name_from_lavaan_str(),
xmu_path2twin(),
xmu_path_regex(),
xmu_print_algebras(),
xmu_rclabel_2_bracket_address(),
xmu_relevel_factors(),
xmu_safe_run_summary(),
xmu_set_sep_from_suffix(),
xmu_show_fit_or_comparison(),
xmu_simplex_corner(),
xmu_standardize_ACE(),
xmu_standardize_ACEcov(),
xmu_standardize_ACEv(),
xmu_standardize_CP(),
xmu_standardize_IP(),
xmu_standardize_RAM(),
xmu_standardize_SexLim(),
xmu_standardize_Simplex(),
xmu_start_value_list(),
xmu_starts(),
xmu_summary_RAM_group_parameters(),
xmu_twin_add_WeightMatrices(),
xmu_twin_check(),
xmu_twin_get_var_names(),
xmu_twin_make_def_means_mats_and_alg(),
xmu_twin_upgrade_selDvs2SelVars(),
xmu_update_covar()
Examples
xmu_cell_is_on(r = 3, c = 3, "lower")
xmu_cell_is_on(r = 3, c = 3, "lower_inc")
xmu_cell_is_on(r = 3, c = 3, "upper")
xmu_cell_is_on(r = 3, c = 3, "upper_inc")
xmu_cell_is_on(r = 3, c = 3, "diag")
xmu_cell_is_on(r = 2, c = 3, "diag")
xmu_cell_is_on(r = 3, c = 3, "any")
a_cp = umxMatrix("a_cp", "Lower", 3, 3, free = TRUE, values = 1:6)
xmu_cell_is_on(r = 3, c = 3, "left", mat = a_cp)
xmu_check_levels_identical
Description
Just checks that the factor levels for twins 1 and 2 are the same
Usage
xmu_check_levels_identical(df, selDVs, sep, action = c("stop", "ignore"))
Arguments
df |
data.frame containing the data |
selDVs |
base names of variables (without suffixes) |
sep |
text-constant separating base variable names the twin index (1:2) |
action |
if unequal levels found: c("stop", "ignore") |
Value
None
See Also
Other xmu internal not for end user:
umxModel(),
umxRenameMatrix(),
umx_APA_pval(),
umx_fun_mean_sd(),
umx_get_bracket_addresses(),
umx_make(),
umx_standardize(),
umx_string_to_algebra(),
xmuHasSquareBrackets(),
xmuLabel_MATRIX_Model(),
xmuLabel_Matrix(),
xmuLabel_RAM_Model(),
xmuMI(),
xmuMakeDeviationThresholdsMatrices(),
xmuMakeOneHeadedPathsFromPathList(),
xmuMakeTwoHeadedPathsFromPathList(),
xmuMaxLevels(),
xmuMinLevels(),
xmuPropagateLabels(),
xmuRAM2Ordinal(),
xmuTwinSuper_Continuous(),
xmuTwinSuper_NoBinary(),
xmuTwinUpgradeMeansToCovariateModel(),
xmu_CI_merge(),
xmu_CI_stash(),
xmu_DF_to_mxData_TypeCov(),
xmu_PadAndPruneForDefVars(),
xmu_bracket_address2rclabel(),
xmu_cell_is_on(),
xmu_check_needs_means(),
xmu_check_variance(),
xmu_clean_label(),
xmu_data_missing(),
xmu_data_swap_a_block(),
xmu_describe_data_WLS(),
xmu_dot_make_paths(),
xmu_dot_make_residuals(),
xmu_dot_maker(),
xmu_dot_move_ranks(),
xmu_dot_rank_str(),
xmu_extract_column(),
xmu_get_CI(),
xmu_lavaan_process_group(),
xmu_make_TwinSuperModel(),
xmu_make_bin_cont_pair_data(),
xmu_make_mxData(),
xmu_match.arg(),
xmu_name_from_lavaan_str(),
xmu_path2twin(),
xmu_path_regex(),
xmu_print_algebras(),
xmu_rclabel_2_bracket_address(),
xmu_relevel_factors(),
xmu_safe_run_summary(),
xmu_set_sep_from_suffix(),
xmu_show_fit_or_comparison(),
xmu_simplex_corner(),
xmu_standardize_ACE(),
xmu_standardize_ACEcov(),
xmu_standardize_ACEv(),
xmu_standardize_CP(),
xmu_standardize_IP(),
xmu_standardize_RAM(),
xmu_standardize_SexLim(),
xmu_standardize_Simplex(),
xmu_start_value_list(),
xmu_starts(),
xmu_summary_RAM_group_parameters(),
xmu_twin_add_WeightMatrices(),
xmu_twin_check(),
xmu_twin_get_var_names(),
xmu_twin_make_def_means_mats_and_alg(),
xmu_twin_upgrade_selDvs2SelVars(),
xmu_update_covar()
Examples
require(umx)
data(twinData)
baseNames = c("bmi")
selDVs = umx_paste_names(baseNames, "", 1:2)
tmp = twinData[, selDVs]
tmp$bmi1[tmp$bmi1 <= 22] = 22
tmp$bmi2[tmp$bmi2 <= 22] = 22
xmu_check_levels_identical(umxFactor(tmp, sep = ""), selDVs = baseNames, sep = "")
## Not run:
xmu_check_levels_identical(umxFactor(tmp), selDVs = baseNames, sep = "")
## End(Not run)
Check data to see if model needs means.
Description
Check data to see if model needs means.
Usage
xmu_check_needs_means(
data,
type = c("Auto", "FIML", "cov", "cor", "WLS", "DWLS", "ULS"),
allContinuousMethod = c("cumulants", "marginals")
)
Arguments
data |
|
type |
of the data requested by the model. |
allContinuousMethod |
How data will be processed if used for WLS. |
Value
T/F
See Also
Other xmu internal not for end user:
umxModel(),
umxRenameMatrix(),
umx_APA_pval(),
umx_fun_mean_sd(),
umx_get_bracket_addresses(),
umx_make(),
umx_standardize(),
umx_string_to_algebra(),
xmuHasSquareBrackets(),
xmuLabel_MATRIX_Model(),
xmuLabel_Matrix(),
xmuLabel_RAM_Model(),
xmuMI(),
xmuMakeDeviationThresholdsMatrices(),
xmuMakeOneHeadedPathsFromPathList(),
xmuMakeTwoHeadedPathsFromPathList(),
xmuMaxLevels(),
xmuMinLevels(),
xmuPropagateLabels(),
xmuRAM2Ordinal(),
xmuTwinSuper_Continuous(),
xmuTwinSuper_NoBinary(),
xmuTwinUpgradeMeansToCovariateModel(),
xmu_CI_merge(),
xmu_CI_stash(),
xmu_DF_to_mxData_TypeCov(),
xmu_PadAndPruneForDefVars(),
xmu_bracket_address2rclabel(),
xmu_cell_is_on(),
xmu_check_levels_identical(),
xmu_check_variance(),
xmu_clean_label(),
xmu_data_missing(),
xmu_data_swap_a_block(),
xmu_describe_data_WLS(),
xmu_dot_make_paths(),
xmu_dot_make_residuals(),
xmu_dot_maker(),
xmu_dot_move_ranks(),
xmu_dot_rank_str(),
xmu_extract_column(),
xmu_get_CI(),
xmu_lavaan_process_group(),
xmu_make_TwinSuperModel(),
xmu_make_bin_cont_pair_data(),
xmu_make_mxData(),
xmu_match.arg(),
xmu_name_from_lavaan_str(),
xmu_path2twin(),
xmu_path_regex(),
xmu_print_algebras(),
xmu_rclabel_2_bracket_address(),
xmu_relevel_factors(),
xmu_safe_run_summary(),
xmu_set_sep_from_suffix(),
xmu_show_fit_or_comparison(),
xmu_simplex_corner(),
xmu_standardize_ACE(),
xmu_standardize_ACEcov(),
xmu_standardize_ACEv(),
xmu_standardize_CP(),
xmu_standardize_IP(),
xmu_standardize_RAM(),
xmu_standardize_SexLim(),
xmu_standardize_Simplex(),
xmu_start_value_list(),
xmu_starts(),
xmu_summary_RAM_group_parameters(),
xmu_twin_add_WeightMatrices(),
xmu_twin_check(),
xmu_twin_get_var_names(),
xmu_twin_make_def_means_mats_and_alg(),
xmu_twin_upgrade_selDvs2SelVars(),
xmu_update_covar()
Examples
xmu_check_needs_means(mtcars, type = "Auto")
xmu_check_needs_means(mtcars, type = "FIML")
# xmu_check_needs_means(mtcars, type = "cov")
# xmu_check_needs_means(mtcars, type = "cor")
# TRUE - marginals means means
xmu_check_needs_means(mtcars, type = "WLS", allContinuousMethod= "marginals")
xmu_check_needs_means(mtcars, type = "ULS", allContinuousMethod= "marginals")
xmu_check_needs_means(mtcars, type = "DWLS", allContinuousMethod= "marginals")
# ================================
# = Provided as an mxData object =
# ================================
tmp = mxData(mtcars, type="raw")
xmu_check_needs_means(tmp, type = "FIML") # TRUE
xmu_check_needs_means(tmp, type = "ULS", allContinuousMethod= "cumulants") #FALSE
# TRUE - means with marginals
xmu_check_needs_means(tmp, type = "WLS", allContinuousMethod= "marginals")
tmp = mxData(cov(mtcars), type="cov", numObs= 100)
# Should catch this can't be type FIML
xmu_check_needs_means(tmp) # FALSE
tmp = mxData(cov(mtcars), means = umx_means(mtcars), type="cov", numObs= 100)
xmu_check_needs_means(tmp) # TRUE
# =======================
# = One var is a factor =
# =======================
tmp = mtcars
tmp$cyl = factor(tmp$cyl)
xmu_check_needs_means(tmp, allContinuousMethod= "cumulants") # TRUE
xmu_check_needs_means(tmp, allContinuousMethod= "marginals") # TRUE - always has means
Check the minimum variance in data frame
Description
Check that each variable exceeds a minimum variance and all are on compatible scales. Let the user know what to do if not.
Usage
xmu_check_variance(
data,
minVar = umx_set_data_variance_check(silent = TRUE)$minVar,
maxVarRatio = umx_set_data_variance_check(silent = TRUE)$maxVarRatio
)
Arguments
data |
the data frame to check |
minVar |
Minimum allowed variance in variables before warning user variances differ too much. |
maxVarRatio |
Maximum allowed ratio of variance in data before warning user variances differ too much. |
Value
None
See Also
Other xmu internal not for end user:
umxModel(),
umxRenameMatrix(),
umx_APA_pval(),
umx_fun_mean_sd(),
umx_get_bracket_addresses(),
umx_make(),
umx_standardize(),
umx_string_to_algebra(),
xmuHasSquareBrackets(),
xmuLabel_MATRIX_Model(),
xmuLabel_Matrix(),
xmuLabel_RAM_Model(),
xmuMI(),
xmuMakeDeviationThresholdsMatrices(),
xmuMakeOneHeadedPathsFromPathList(),
xmuMakeTwoHeadedPathsFromPathList(),
xmuMaxLevels(),
xmuMinLevels(),
xmuPropagateLabels(),
xmuRAM2Ordinal(),
xmuTwinSuper_Continuous(),
xmuTwinSuper_NoBinary(),
xmuTwinUpgradeMeansToCovariateModel(),
xmu_CI_merge(),
xmu_CI_stash(),
xmu_DF_to_mxData_TypeCov(),
xmu_PadAndPruneForDefVars(),
xmu_bracket_address2rclabel(),
xmu_cell_is_on(),
xmu_check_levels_identical(),
xmu_check_needs_means(),
xmu_clean_label(),
xmu_data_missing(),
xmu_data_swap_a_block(),
xmu_describe_data_WLS(),
xmu_dot_make_paths(),
xmu_dot_make_residuals(),
xmu_dot_maker(),
xmu_dot_move_ranks(),
xmu_dot_rank_str(),
xmu_extract_column(),
xmu_get_CI(),
xmu_lavaan_process_group(),
xmu_make_TwinSuperModel(),
xmu_make_bin_cont_pair_data(),
xmu_make_mxData(),
xmu_match.arg(),
xmu_name_from_lavaan_str(),
xmu_path2twin(),
xmu_path_regex(),
xmu_print_algebras(),
xmu_rclabel_2_bracket_address(),
xmu_relevel_factors(),
xmu_safe_run_summary(),
xmu_set_sep_from_suffix(),
xmu_show_fit_or_comparison(),
xmu_simplex_corner(),
xmu_standardize_ACE(),
xmu_standardize_ACEcov(),
xmu_standardize_ACEv(),
xmu_standardize_CP(),
xmu_standardize_IP(),
xmu_standardize_RAM(),
xmu_standardize_SexLim(),
xmu_standardize_Simplex(),
xmu_start_value_list(),
xmu_starts(),
xmu_summary_RAM_group_parameters(),
xmu_twin_add_WeightMatrices(),
xmu_twin_check(),
xmu_twin_get_var_names(),
xmu_twin_make_def_means_mats_and_alg(),
xmu_twin_upgrade_selDvs2SelVars(),
xmu_update_covar()
Examples
data(twinData)
xmu_check_variance(twinData[, c("wt1", "ht1", "wt2", "ht2")])
twinData[,c("ht1", "ht2")]= twinData[,c("ht1", "ht2")] * 100
xmu_check_variance(twinData[, c("wt1", "ht1", "wt2", "ht2")])
Remove illegal characters from labels
Description
Replaces . with _ in labels - e.g. from lavaan where . is common.
Usage
xmu_clean_label(label, replace = "_")
Arguments
label |
A label to clean. |
replace |
character to replace . with (default = _) |
Value
legal label string
See Also
Other xmu internal not for end user:
umxModel(),
umxRenameMatrix(),
umx_APA_pval(),
umx_fun_mean_sd(),
umx_get_bracket_addresses(),
umx_make(),
umx_standardize(),
umx_string_to_algebra(),
xmuHasSquareBrackets(),
xmuLabel_MATRIX_Model(),
xmuLabel_Matrix(),
xmuLabel_RAM_Model(),
xmuMI(),
xmuMakeDeviationThresholdsMatrices(),
xmuMakeOneHeadedPathsFromPathList(),
xmuMakeTwoHeadedPathsFromPathList(),
xmuMaxLevels(),
xmuMinLevels(),
xmuPropagateLabels(),
xmuRAM2Ordinal(),
xmuTwinSuper_Continuous(),
xmuTwinSuper_NoBinary(),
xmuTwinUpgradeMeansToCovariateModel(),
xmu_CI_merge(),
xmu_CI_stash(),
xmu_DF_to_mxData_TypeCov(),
xmu_PadAndPruneForDefVars(),
xmu_bracket_address2rclabel(),
xmu_cell_is_on(),
xmu_check_levels_identical(),
xmu_check_needs_means(),
xmu_check_variance(),
xmu_data_missing(),
xmu_data_swap_a_block(),
xmu_describe_data_WLS(),
xmu_dot_make_paths(),
xmu_dot_make_residuals(),
xmu_dot_maker(),
xmu_dot_move_ranks(),
xmu_dot_rank_str(),
xmu_extract_column(),
xmu_get_CI(),
xmu_lavaan_process_group(),
xmu_make_TwinSuperModel(),
xmu_make_bin_cont_pair_data(),
xmu_make_mxData(),
xmu_match.arg(),
xmu_name_from_lavaan_str(),
xmu_path2twin(),
xmu_path_regex(),
xmu_print_algebras(),
xmu_rclabel_2_bracket_address(),
xmu_relevel_factors(),
xmu_safe_run_summary(),
xmu_set_sep_from_suffix(),
xmu_show_fit_or_comparison(),
xmu_simplex_corner(),
xmu_standardize_ACE(),
xmu_standardize_ACEcov(),
xmu_standardize_ACEv(),
xmu_standardize_CP(),
xmu_standardize_IP(),
xmu_standardize_RAM(),
xmu_standardize_SexLim(),
xmu_standardize_Simplex(),
xmu_start_value_list(),
xmu_starts(),
xmu_summary_RAM_group_parameters(),
xmu_twin_add_WeightMatrices(),
xmu_twin_check(),
xmu_twin_get_var_names(),
xmu_twin_make_def_means_mats_and_alg(),
xmu_twin_upgrade_selDvs2SelVars(),
xmu_update_covar()
Examples
xmu_clean_label("data.var", replace = "_")
xmu_clean_label("my.var.lab", replace = "_")
Drop rows with missing definition variables
Description
Definition variables can't be missing. This function helps with that.
Usage
xmu_data_missing(
data,
selVars,
sep = NULL,
dropMissingDef = TRUE,
hint = "data"
)
Arguments
data |
The dataframe to check for missing variables |
selVars |
The variables to check for missingness |
sep |
A sep if this is twin data and selVars are baseNames (default NULL) |
dropMissingDef |
Whether to drop the rows, or just stop (TRUE) |
hint |
info for message to user ("data") |
Value
data with missing rows dropped
See Also
Other xmu internal not for end user:
umxModel(),
umxRenameMatrix(),
umx_APA_pval(),
umx_fun_mean_sd(),
umx_get_bracket_addresses(),
umx_make(),
umx_standardize(),
umx_string_to_algebra(),
xmuHasSquareBrackets(),
xmuLabel_MATRIX_Model(),
xmuLabel_Matrix(),
xmuLabel_RAM_Model(),
xmuMI(),
xmuMakeDeviationThresholdsMatrices(),
xmuMakeOneHeadedPathsFromPathList(),
xmuMakeTwoHeadedPathsFromPathList(),
xmuMaxLevels(),
xmuMinLevels(),
xmuPropagateLabels(),
xmuRAM2Ordinal(),
xmuTwinSuper_Continuous(),
xmuTwinSuper_NoBinary(),
xmuTwinUpgradeMeansToCovariateModel(),
xmu_CI_merge(),
xmu_CI_stash(),
xmu_DF_to_mxData_TypeCov(),
xmu_PadAndPruneForDefVars(),
xmu_bracket_address2rclabel(),
xmu_cell_is_on(),
xmu_check_levels_identical(),
xmu_check_needs_means(),
xmu_check_variance(),
xmu_clean_label(),
xmu_data_swap_a_block(),
xmu_describe_data_WLS(),
xmu_dot_make_paths(),
xmu_dot_make_residuals(),
xmu_dot_maker(),
xmu_dot_move_ranks(),
xmu_dot_rank_str(),
xmu_extract_column(),
xmu_get_CI(),
xmu_lavaan_process_group(),
xmu_make_TwinSuperModel(),
xmu_make_bin_cont_pair_data(),
xmu_make_mxData(),
xmu_match.arg(),
xmu_name_from_lavaan_str(),
xmu_path2twin(),
xmu_path_regex(),
xmu_print_algebras(),
xmu_rclabel_2_bracket_address(),
xmu_relevel_factors(),
xmu_safe_run_summary(),
xmu_set_sep_from_suffix(),
xmu_show_fit_or_comparison(),
xmu_simplex_corner(),
xmu_standardize_ACE(),
xmu_standardize_ACEcov(),
xmu_standardize_ACEv(),
xmu_standardize_CP(),
xmu_standardize_IP(),
xmu_standardize_RAM(),
xmu_standardize_SexLim(),
xmu_standardize_Simplex(),
xmu_start_value_list(),
xmu_starts(),
xmu_summary_RAM_group_parameters(),
xmu_twin_add_WeightMatrices(),
xmu_twin_check(),
xmu_twin_get_var_names(),
xmu_twin_make_def_means_mats_and_alg(),
xmu_twin_upgrade_selDvs2SelVars(),
xmu_update_covar()
Examples
tmp = mtcars;
tmp[1,]; tmp[1, "wt"] = NA
tmp = xmu_data_missing(tmp, selVars = "wt", sep= NULL, dropMissingDef= TRUE, hint= "mtcars")
dim(mtcars)
dim(tmp)
## Not run:
tmp = xmu_data_missing(tmp, selVars = "wt", sep= NULL, dropMissingDef= FALSE, hint= "mtcars")
## End(Not run)
Data helper function to swap blocks of data from one set of columns to another.
Description
Swap a block of rows of a dataset between two sets of variables (typically twin 1 and twin 2)
Usage
xmu_data_swap_a_block(theData, rowSelector, T1Names, T2Names)
Arguments
theData |
A data frame to swap within. |
rowSelector |
Rows to swap between first and second set of columns. |
T1Names |
The first set of columns. |
T2Names |
The second set of columns. |
Value
dataframe
See Also
Other xmu internal not for end user:
umxModel(),
umxRenameMatrix(),
umx_APA_pval(),
umx_fun_mean_sd(),
umx_get_bracket_addresses(),
umx_make(),
umx_standardize(),
umx_string_to_algebra(),
xmuHasSquareBrackets(),
xmuLabel_MATRIX_Model(),
xmuLabel_Matrix(),
xmuLabel_RAM_Model(),
xmuMI(),
xmuMakeDeviationThresholdsMatrices(),
xmuMakeOneHeadedPathsFromPathList(),
xmuMakeTwoHeadedPathsFromPathList(),
xmuMaxLevels(),
xmuMinLevels(),
xmuPropagateLabels(),
xmuRAM2Ordinal(),
xmuTwinSuper_Continuous(),
xmuTwinSuper_NoBinary(),
xmuTwinUpgradeMeansToCovariateModel(),
xmu_CI_merge(),
xmu_CI_stash(),
xmu_DF_to_mxData_TypeCov(),
xmu_PadAndPruneForDefVars(),
xmu_bracket_address2rclabel(),
xmu_cell_is_on(),
xmu_check_levels_identical(),
xmu_check_needs_means(),
xmu_check_variance(),
xmu_clean_label(),
xmu_data_missing(),
xmu_describe_data_WLS(),
xmu_dot_make_paths(),
xmu_dot_make_residuals(),
xmu_dot_maker(),
xmu_dot_move_ranks(),
xmu_dot_rank_str(),
xmu_extract_column(),
xmu_get_CI(),
xmu_lavaan_process_group(),
xmu_make_TwinSuperModel(),
xmu_make_bin_cont_pair_data(),
xmu_make_mxData(),
xmu_match.arg(),
xmu_name_from_lavaan_str(),
xmu_path2twin(),
xmu_path_regex(),
xmu_print_algebras(),
xmu_rclabel_2_bracket_address(),
xmu_relevel_factors(),
xmu_safe_run_summary(),
xmu_set_sep_from_suffix(),
xmu_show_fit_or_comparison(),
xmu_simplex_corner(),
xmu_standardize_ACE(),
xmu_standardize_ACEcov(),
xmu_standardize_ACEv(),
xmu_standardize_CP(),
xmu_standardize_IP(),
xmu_standardize_RAM(),
xmu_standardize_SexLim(),
xmu_standardize_Simplex(),
xmu_start_value_list(),
xmu_starts(),
xmu_summary_RAM_group_parameters(),
xmu_twin_add_WeightMatrices(),
xmu_twin_check(),
xmu_twin_get_var_names(),
xmu_twin_make_def_means_mats_and_alg(),
xmu_twin_upgrade_selDvs2SelVars(),
xmu_update_covar()
Examples
test = data.frame(
a = paste0("a", 1:10),
b = paste0("b", 1:10),
c = paste0("c", 1:10),
d = paste0("d", 1:10), stringsAsFactors = FALSE)
xmu_data_swap_a_block(test, rowSelector = c(1,2,3,6), T1Names = "b", T2Names = "c")
xmu_data_swap_a_block(test, rowSelector = c(1,2,3,6), T1Names = c("a","c"), T2Names = c("b","d"))
Determine if a dataset will need statistics for the means if used in a WLS model.
Description
Given either a data.frame or raw mxData, this function determines whether OpenMx::mxFitFunctionWLS()
will generate expectations for means.
Usage
xmu_describe_data_WLS(
data,
allContinuousMethod = c("cumulants", "marginals"),
verbose = FALSE
)
Arguments
data |
The raw data being used in a |
allContinuousMethod |
the method used to process data when all columns are continuous (default = "cumulants") |
verbose |
Whether or not to report diagnostics. |
Details
All-continuous models processed using the "cumulants" method LACK means, while all continuous processed with allContinuousMethod = "marginals" will HAVE means.
When data are not all continuous, means are modeled and allContinuousMethod is ignored.
Value
list describing the data.
See Also
Other xmu internal not for end user:
umxModel(),
umxRenameMatrix(),
umx_APA_pval(),
umx_fun_mean_sd(),
umx_get_bracket_addresses(),
umx_make(),
umx_standardize(),
umx_string_to_algebra(),
xmuHasSquareBrackets(),
xmuLabel_MATRIX_Model(),
xmuLabel_Matrix(),
xmuLabel_RAM_Model(),
xmuMI(),
xmuMakeDeviationThresholdsMatrices(),
xmuMakeOneHeadedPathsFromPathList(),
xmuMakeTwoHeadedPathsFromPathList(),
xmuMaxLevels(),
xmuMinLevels(),
xmuPropagateLabels(),
xmuRAM2Ordinal(),
xmuTwinSuper_Continuous(),
xmuTwinSuper_NoBinary(),
xmuTwinUpgradeMeansToCovariateModel(),
xmu_CI_merge(),
xmu_CI_stash(),
xmu_DF_to_mxData_TypeCov(),
xmu_PadAndPruneForDefVars(),
xmu_bracket_address2rclabel(),
xmu_cell_is_on(),
xmu_check_levels_identical(),
xmu_check_needs_means(),
xmu_check_variance(),
xmu_clean_label(),
xmu_data_missing(),
xmu_data_swap_a_block(),
xmu_dot_make_paths(),
xmu_dot_make_residuals(),
xmu_dot_maker(),
xmu_dot_move_ranks(),
xmu_dot_rank_str(),
xmu_extract_column(),
xmu_get_CI(),
xmu_lavaan_process_group(),
xmu_make_TwinSuperModel(),
xmu_make_bin_cont_pair_data(),
xmu_make_mxData(),
xmu_match.arg(),
xmu_name_from_lavaan_str(),
xmu_path2twin(),
xmu_path_regex(),
xmu_print_algebras(),
xmu_rclabel_2_bracket_address(),
xmu_relevel_factors(),
xmu_safe_run_summary(),
xmu_set_sep_from_suffix(),
xmu_show_fit_or_comparison(),
xmu_simplex_corner(),
xmu_standardize_ACE(),
xmu_standardize_ACEcov(),
xmu_standardize_ACEv(),
xmu_standardize_CP(),
xmu_standardize_IP(),
xmu_standardize_RAM(),
xmu_standardize_SexLim(),
xmu_standardize_Simplex(),
xmu_start_value_list(),
xmu_starts(),
xmu_summary_RAM_group_parameters(),
xmu_twin_add_WeightMatrices(),
xmu_twin_check(),
xmu_twin_get_var_names(),
xmu_twin_make_def_means_mats_and_alg(),
xmu_twin_upgrade_selDvs2SelVars(),
xmu_update_covar()
Examples
# ====================================
# = All continuous, data.frame input =
# ====================================
tmp =xmu_describe_data_WLS(mtcars, allContinuousMethod= "cumulants", verbose = TRUE)
tmp$hasMeans # FALSE - no means with cumulants
tmp =xmu_describe_data_WLS(mtcars, allContinuousMethod= "marginals")
tmp$hasMeans # TRUE we get means with marginals
# ==========================
# = mxData object as input =
# ==========================
tmp = mxData(mtcars, type="raw")
xmu_describe_data_WLS(tmp, allContinuousMethod= "cumulants", verbose = TRUE)$hasMeans # FALSE
xmu_describe_data_WLS(tmp, allContinuousMethod= "marginals")$hasMeans # TRUE
# =======================================
# = One var is a factor: Means modeled =
# =======================================
tmp = mtcars
tmp$cyl = factor(tmp$cyl)
xmu_describe_data_WLS(tmp, allContinuousMethod= "cumulants")$hasMeans # TRUE - always has means
xmu_describe_data_WLS(tmp, allContinuousMethod= "marginals")$hasMeans # TRUE
Helper to make the list of vars and their shapes for a graphviz string
Description
Helper to make a graphviz rank string defining the latent, manifest, and means and their shapes
Usage
xmu_dot_define_shapes(latents, manifests, preOut = "")
Arguments
latents |
list of latent variables (including "one") |
manifests |
list of manifest variables |
preOut |
existing output string (pasted in front of this: "" by default). |
Value
string
See Also
- [xmu_dot_rank()]
Other Graphviz:
xmu_dot_make_paths(),
xmu_dot_make_residuals(),
xmu_dot_maker(),
xmu_dot_mat2dot(),
xmu_dot_rank()
Examples
xmu_dot_define_shapes(c("as1"), c("E", "N"))
xmu_dot_make_paths (not for end users)
Description
Makes graphviz paths
Usage
xmu_dot_make_paths(
mxMat,
stringIn,
heads = NULL,
fixed = TRUE,
comment = "More paths",
showResiduals = TRUE,
labels = "labels",
digits = 2
)
Arguments
mxMat |
An mxMatrix |
stringIn |
Input string |
heads |
1 or 2 arrows (default NULL - you must set this) |
fixed |
Whether show fixed values or not (defaults to TRUE) |
comment |
A comment to include |
showResiduals |
Whether to show residuals |
labels |
show labels on the path? ("none", "labels", "both") |
digits |
how many digits to report |
Value
- string
See Also
Other xmu internal not for end user:
umxModel(),
umxRenameMatrix(),
umx_APA_pval(),
umx_fun_mean_sd(),
umx_get_bracket_addresses(),
umx_make(),
umx_standardize(),
umx_string_to_algebra(),
xmuHasSquareBrackets(),
xmuLabel_MATRIX_Model(),
xmuLabel_Matrix(),
xmuLabel_RAM_Model(),
xmuMI(),
xmuMakeDeviationThresholdsMatrices(),
xmuMakeOneHeadedPathsFromPathList(),
xmuMakeTwoHeadedPathsFromPathList(),
xmuMaxLevels(),
xmuMinLevels(),
xmuPropagateLabels(),
xmuRAM2Ordinal(),
xmuTwinSuper_Continuous(),
xmuTwinSuper_NoBinary(),
xmuTwinUpgradeMeansToCovariateModel(),
xmu_CI_merge(),
xmu_CI_stash(),
xmu_DF_to_mxData_TypeCov(),
xmu_PadAndPruneForDefVars(),
xmu_bracket_address2rclabel(),
xmu_cell_is_on(),
xmu_check_levels_identical(),
xmu_check_needs_means(),
xmu_check_variance(),
xmu_clean_label(),
xmu_data_missing(),
xmu_data_swap_a_block(),
xmu_describe_data_WLS(),
xmu_dot_make_residuals(),
xmu_dot_maker(),
xmu_dot_move_ranks(),
xmu_dot_rank_str(),
xmu_extract_column(),
xmu_get_CI(),
xmu_lavaan_process_group(),
xmu_make_TwinSuperModel(),
xmu_make_bin_cont_pair_data(),
xmu_make_mxData(),
xmu_match.arg(),
xmu_name_from_lavaan_str(),
xmu_path2twin(),
xmu_path_regex(),
xmu_print_algebras(),
xmu_rclabel_2_bracket_address(),
xmu_relevel_factors(),
xmu_safe_run_summary(),
xmu_set_sep_from_suffix(),
xmu_show_fit_or_comparison(),
xmu_simplex_corner(),
xmu_standardize_ACE(),
xmu_standardize_ACEcov(),
xmu_standardize_ACEv(),
xmu_standardize_CP(),
xmu_standardize_IP(),
xmu_standardize_RAM(),
xmu_standardize_SexLim(),
xmu_standardize_Simplex(),
xmu_start_value_list(),
xmu_starts(),
xmu_summary_RAM_group_parameters(),
xmu_twin_add_WeightMatrices(),
xmu_twin_check(),
xmu_twin_get_var_names(),
xmu_twin_make_def_means_mats_and_alg(),
xmu_twin_upgrade_selDvs2SelVars(),
xmu_update_covar()
Other Graphviz:
xmu_dot_define_shapes(),
xmu_dot_make_residuals(),
xmu_dot_maker(),
xmu_dot_mat2dot(),
xmu_dot_rank()
xmu_dot_make_residuals (not for end users)
Description
xmu_dot_make_residuals (not for end users)
Usage
xmu_dot_make_residuals(
mxMat,
latents = NULL,
fixed = TRUE,
digits = 2,
resid = c("circle", "line")
)
Arguments
mxMat |
An A or S mxMatrix |
latents |
Optional list of latents to alter location of circles (defaults to NULL) |
fixed |
Whether to show fixed values or not |
digits |
How many digits to report |
resid |
How to show residuals and variances default is "circle". Other option is "line" |
Value
- list of variance names and variances
See Also
Other xmu internal not for end user:
umxModel(),
umxRenameMatrix(),
umx_APA_pval(),
umx_fun_mean_sd(),
umx_get_bracket_addresses(),
umx_make(),
umx_standardize(),
umx_string_to_algebra(),
xmuHasSquareBrackets(),
xmuLabel_MATRIX_Model(),
xmuLabel_Matrix(),
xmuLabel_RAM_Model(),
xmuMI(),
xmuMakeDeviationThresholdsMatrices(),
xmuMakeOneHeadedPathsFromPathList(),
xmuMakeTwoHeadedPathsFromPathList(),
xmuMaxLevels(),
xmuMinLevels(),
xmuPropagateLabels(),
xmuRAM2Ordinal(),
xmuTwinSuper_Continuous(),
xmuTwinSuper_NoBinary(),
xmuTwinUpgradeMeansToCovariateModel(),
xmu_CI_merge(),
xmu_CI_stash(),
xmu_DF_to_mxData_TypeCov(),
xmu_PadAndPruneForDefVars(),
xmu_bracket_address2rclabel(),
xmu_cell_is_on(),
xmu_check_levels_identical(),
xmu_check_needs_means(),
xmu_check_variance(),
xmu_clean_label(),
xmu_data_missing(),
xmu_data_swap_a_block(),
xmu_describe_data_WLS(),
xmu_dot_make_paths(),
xmu_dot_maker(),
xmu_dot_move_ranks(),
xmu_dot_rank_str(),
xmu_extract_column(),
xmu_get_CI(),
xmu_lavaan_process_group(),
xmu_make_TwinSuperModel(),
xmu_make_bin_cont_pair_data(),
xmu_make_mxData(),
xmu_match.arg(),
xmu_name_from_lavaan_str(),
xmu_path2twin(),
xmu_path_regex(),
xmu_print_algebras(),
xmu_rclabel_2_bracket_address(),
xmu_relevel_factors(),
xmu_safe_run_summary(),
xmu_set_sep_from_suffix(),
xmu_show_fit_or_comparison(),
xmu_simplex_corner(),
xmu_standardize_ACE(),
xmu_standardize_ACEcov(),
xmu_standardize_ACEv(),
xmu_standardize_CP(),
xmu_standardize_IP(),
xmu_standardize_RAM(),
xmu_standardize_SexLim(),
xmu_standardize_Simplex(),
xmu_start_value_list(),
xmu_starts(),
xmu_summary_RAM_group_parameters(),
xmu_twin_add_WeightMatrices(),
xmu_twin_check(),
xmu_twin_get_var_names(),
xmu_twin_make_def_means_mats_and_alg(),
xmu_twin_upgrade_selDvs2SelVars(),
xmu_update_covar()
Other Graphviz:
xmu_dot_define_shapes(),
xmu_dot_make_paths(),
xmu_dot_maker(),
xmu_dot_mat2dot(),
xmu_dot_rank()
Internal umx function to help plotting graphviz
Description
Helper to print a digraph to file and open it
Usage
xmu_dot_maker(model, file, digraph, strip_zero = TRUE)
Arguments
model |
An |
file |
Either "name" (use model name) or a file name |
digraph |
Graphviz code for a model |
strip_zero |
Whether to remove the leading "0." in digits in the diagram |
Value
optionally returns the digraph text.
See Also
Other xmu internal not for end user:
umxModel(),
umxRenameMatrix(),
umx_APA_pval(),
umx_fun_mean_sd(),
umx_get_bracket_addresses(),
umx_make(),
umx_standardize(),
umx_string_to_algebra(),
xmuHasSquareBrackets(),
xmuLabel_MATRIX_Model(),
xmuLabel_Matrix(),
xmuLabel_RAM_Model(),
xmuMI(),
xmuMakeDeviationThresholdsMatrices(),
xmuMakeOneHeadedPathsFromPathList(),
xmuMakeTwoHeadedPathsFromPathList(),
xmuMaxLevels(),
xmuMinLevels(),
xmuPropagateLabels(),
xmuRAM2Ordinal(),
xmuTwinSuper_Continuous(),
xmuTwinSuper_NoBinary(),
xmuTwinUpgradeMeansToCovariateModel(),
xmu_CI_merge(),
xmu_CI_stash(),
xmu_DF_to_mxData_TypeCov(),
xmu_PadAndPruneForDefVars(),
xmu_bracket_address2rclabel(),
xmu_cell_is_on(),
xmu_check_levels_identical(),
xmu_check_needs_means(),
xmu_check_variance(),
xmu_clean_label(),
xmu_data_missing(),
xmu_data_swap_a_block(),
xmu_describe_data_WLS(),
xmu_dot_make_paths(),
xmu_dot_make_residuals(),
xmu_dot_move_ranks(),
xmu_dot_rank_str(),
xmu_extract_column(),
xmu_get_CI(),
xmu_lavaan_process_group(),
xmu_make_TwinSuperModel(),
xmu_make_bin_cont_pair_data(),
xmu_make_mxData(),
xmu_match.arg(),
xmu_name_from_lavaan_str(),
xmu_path2twin(),
xmu_path_regex(),
xmu_print_algebras(),
xmu_rclabel_2_bracket_address(),
xmu_relevel_factors(),
xmu_safe_run_summary(),
xmu_set_sep_from_suffix(),
xmu_show_fit_or_comparison(),
xmu_simplex_corner(),
xmu_standardize_ACE(),
xmu_standardize_ACEcov(),
xmu_standardize_ACEv(),
xmu_standardize_CP(),
xmu_standardize_IP(),
xmu_standardize_RAM(),
xmu_standardize_SexLim(),
xmu_standardize_Simplex(),
xmu_start_value_list(),
xmu_starts(),
xmu_summary_RAM_group_parameters(),
xmu_twin_add_WeightMatrices(),
xmu_twin_check(),
xmu_twin_get_var_names(),
xmu_twin_make_def_means_mats_and_alg(),
xmu_twin_upgrade_selDvs2SelVars(),
xmu_update_covar()
Other Graphviz:
xmu_dot_define_shapes(),
xmu_dot_make_paths(),
xmu_dot_make_residuals(),
xmu_dot_mat2dot(),
xmu_dot_rank()
Return dot code for paths in a matrix
Description
Return dot code for paths in a matrix is a function which walks the rows and cols of a matrix. At each free cell, it creates a dot-string specifying the relevant path, e.g.:
ai1 -> var1 [label=".35"]
Its main use is to correctly generate paths (and their sources and sink objects) without depending on the label of the parameter.
It is highly customizable:
You can specify which cells to inspect, e.g. "lower".
You can choose how to interpret path direction, from = "cols".
You can choose the label for the from to ends of the path (by default, the matrix name is used).
Offer up a list of from and toLabel which will be indexed into for source and sink
You can set the number of arrows on a path (e.g. both).
If
typeis set, then sources and sinks added manifests and/or latents output (p)
Finally, you can pass in previous output and new paths will be concatenated to these.
Usage
xmu_dot_mat2dot(
x,
cells = c("diag", "lower", "lower_inc", "upper", "upper_inc", "any", "left"),
from = c("rows", "cols"),
fromLabel = NULL,
toLabel = NULL,
showFixed = FALSE,
arrows = c("forward", "both", "back"),
fromType = NULL,
toType = NULL,
digits = 2,
model = NULL,
SEstyle = FALSE,
p = list(str = "", latents = c(), manifests = c())
)
Arguments
x |
a |
cells |
which cells to process: "any" (default), "diag", "lower", "upper". "left" is the left half (e.g. in a twin means matrix) |
from |
one of "rows", "columns" |
fromLabel |
= NULL. NULL = use matrix name (default). If one, if suffixed with index, length() > 1, index into list. "one" is special. |
toLabel |
= NULL. NULL = use matrix name (default). If one, if suffixed with index, length() > 1, index into list. |
showFixed |
= FALSE. |
arrows |
"forward" "both" or "back" |
fromType |
one of "latent" or "manifest" NULL (default) = don't accumulate new names. |
toType |
one of "latent" or "manifest" NULL (default) = don't accumulate new names. |
digits |
to round values to (default = 2). |
model |
If you want to get CIs, you can pass in the model (default = NULL). |
SEstyle |
If TRUE, CIs shown as "b(SE)" ("b [l,h]" if FALSE (default)). Ignored if model NULL. |
p |
input to build on. list(str = "", latents = c(), manifests = c()) |
Value
list(str = "", latents = c(), manifests = c())
See Also
Other Graphviz:
xmu_dot_define_shapes(),
xmu_dot_make_paths(),
xmu_dot_make_residuals(),
xmu_dot_maker(),
xmu_dot_rank()
Examples
# test with a 1 * 1
a_cp = umxMatrix("a_cp", "Lower", 1, 1, free = TRUE, values = pi)
out = xmu_dot_mat2dot(a_cp, cells = "lower_inc", from = "cols", arrows = "both")
cat(out$str) # a_cp -> a_cp [dir = both label="2"];
out = xmu_dot_mat2dot(a_cp, cells = "lower_inc", from = "cols", arrows = "forward",
fromLabel = "fromMe", toLabel = "toYou",
fromType = "latent", toType = "manifest", digits = 3, SEstyle = TRUE
)
cat(out$str) # fromMe -> toYou [dir = forward label="3.142"];
cat(out$latent) # fromMe
cat(out$manifest) # toYou
# Make a lower 3 * 3 value= 1:6 (1, 4, 6 on the diag)
a_cp = umxMatrix("a_cp", "Lower", 3, 3, free = TRUE, values = 1:6)
# Get dot strings for lower triangle (default from and to based on row and column number)
out = xmu_dot_mat2dot(a_cp, cells = "lower", from = "cols", arrows = "both")
cat(out$str) # a_cp1 -> a_cp2 [dir = both label="2"];
# one arrow (the default = "forward")
out = xmu_dot_mat2dot(a_cp, cells = "lower", from = "cols")
cat(out$str) # a_cp1 -> a_cp2 [dir = forward label="2"];
# label to (rows) using var names
out = xmu_dot_mat2dot(a_cp, toLabel= paste0("v", 1:3), cells = "lower", from = "cols")
umx_msg(out$str) # a_cp1 -> v2 [dir = forward label="2"] ...
# First call also inits the plot struct
out = xmu_dot_mat2dot(a_cp, from = "rows", cells = "lower", arrows = "both", fromType = "latent")
out = xmu_dot_mat2dot(a_cp, from = "rows", cells = "diag",
toLabel= "common", toType = "manifest", p = out)
umx_msg(out$str); umx_msg(out$manifests); umx_msg(out$latents)
# ================================
# = Add found sinks to manifests =
# ================================
out = xmu_dot_mat2dot(a_cp, from= "rows", cells= "diag",
toLabel= c('a','b','c'), toType= "manifest");
umx_msg(out$manifests)
# ================================
# = Add found sources to latents =
# ================================
out = xmu_dot_mat2dot(a_cp, from= "rows", cells= "diag",
toLabel= c('a','b','c'), fromType= "latent");
umx_msg(out$latents)
# ========================
# = Label a means matrix =
# ========================
tmp = umxMatrix("expMean", "Full", 1, 4, free = TRUE, values = 1:4)
out = xmu_dot_mat2dot(tmp, cells = "left", from = "rows",
fromLabel= "one", toLabel= c("v1", "v2")
)
cat(out$str)
## Not run:
# ==============================================
# = Get a string which includes CI information =
# ==============================================
data(demoOneFactor)
latents = c("g"); manifests = names(demoOneFactor)
m1 = umxRAM("xmu_dot", data = demoOneFactor, type = "cov",
umxPath(latents, to = manifests),
umxPath(var = manifests),
umxPath(var = latents, fixedAt = 1.0)
)
m1 = umxCI(m1, run= "yes")
out = xmu_dot_mat2dot(m1$A, from = "cols", cells = "any",
toLabel= paste0("x", 1:5), fromType = "latent", model= m1);
umx_msg(out$str); umx_msg(out$latents)
## End(Not run)
xmu_dot_move_ranks (not for end users)
Description
Variables will be moved from any existing rank to the new one. Setting a rank to "" will clear it.
Usage
xmu_dot_move_ranks(
min = NULL,
same = NULL,
max = NULL,
old_min,
old_same,
old_max
)
Arguments
min |
vars to group at top of plot |
same |
vars to group at the same level |
max |
vars to group at bottom of plot |
old_min |
vars to group at top of plot |
old_same |
vars to group at the same level |
old_max |
vars to group at bottom of plot |
Value
list(min=min, same=same, max=max)
See Also
Other xmu internal not for end user:
umxModel(),
umxRenameMatrix(),
umx_APA_pval(),
umx_fun_mean_sd(),
umx_get_bracket_addresses(),
umx_make(),
umx_standardize(),
umx_string_to_algebra(),
xmuHasSquareBrackets(),
xmuLabel_MATRIX_Model(),
xmuLabel_Matrix(),
xmuLabel_RAM_Model(),
xmuMI(),
xmuMakeDeviationThresholdsMatrices(),
xmuMakeOneHeadedPathsFromPathList(),
xmuMakeTwoHeadedPathsFromPathList(),
xmuMaxLevels(),
xmuMinLevels(),
xmuPropagateLabels(),
xmuRAM2Ordinal(),
xmuTwinSuper_Continuous(),
xmuTwinSuper_NoBinary(),
xmuTwinUpgradeMeansToCovariateModel(),
xmu_CI_merge(),
xmu_CI_stash(),
xmu_DF_to_mxData_TypeCov(),
xmu_PadAndPruneForDefVars(),
xmu_bracket_address2rclabel(),
xmu_cell_is_on(),
xmu_check_levels_identical(),
xmu_check_needs_means(),
xmu_check_variance(),
xmu_clean_label(),
xmu_data_missing(),
xmu_data_swap_a_block(),
xmu_describe_data_WLS(),
xmu_dot_make_paths(),
xmu_dot_make_residuals(),
xmu_dot_maker(),
xmu_dot_rank_str(),
xmu_extract_column(),
xmu_get_CI(),
xmu_lavaan_process_group(),
xmu_make_TwinSuperModel(),
xmu_make_bin_cont_pair_data(),
xmu_make_mxData(),
xmu_match.arg(),
xmu_name_from_lavaan_str(),
xmu_path2twin(),
xmu_path_regex(),
xmu_print_algebras(),
xmu_rclabel_2_bracket_address(),
xmu_relevel_factors(),
xmu_safe_run_summary(),
xmu_set_sep_from_suffix(),
xmu_show_fit_or_comparison(),
xmu_simplex_corner(),
xmu_standardize_ACE(),
xmu_standardize_ACEcov(),
xmu_standardize_ACEv(),
xmu_standardize_CP(),
xmu_standardize_IP(),
xmu_standardize_RAM(),
xmu_standardize_SexLim(),
xmu_standardize_Simplex(),
xmu_start_value_list(),
xmu_starts(),
xmu_summary_RAM_group_parameters(),
xmu_twin_add_WeightMatrices(),
xmu_twin_check(),
xmu_twin_get_var_names(),
xmu_twin_make_def_means_mats_and_alg(),
xmu_twin_upgrade_selDvs2SelVars(),
xmu_update_covar()
Examples
old_min = c("min1", "min2")
old_same = c("s1", "s2")
old_max = paste0("x", 1:3)
# Add L1 to min
xmu_dot_move_ranks(min = "L1", old_min= old_min, old_same= old_same, old_max= old_max)
# Move min1 to max
xmu_dot_move_ranks(max = "min1", old_min= old_min, old_same= old_same, old_max= old_max)
# Clear min
xmu_dot_move_ranks(min = "", old_min= old_min, old_same= old_same, old_max= old_max)
Helper to make a graphviz rank string
Description
Given a list of names, this filters the list, and returns a graphviz string to force them into the given rank.
e.g. "{rank=same; as1};"
Usage
xmu_dot_rank(vars, pattern, rank)
Arguments
vars |
a list of strings |
pattern |
regular expression to filter vars |
rank |
"same", "max", "min" |
Value
string
See Also
Other Graphviz:
xmu_dot_define_shapes(),
xmu_dot_make_paths(),
xmu_dot_make_residuals(),
xmu_dot_maker(),
xmu_dot_mat2dot()
Examples
xmu_dot_rank(c("as1"), "^[ace]s[0-9]+$", "same")
xmu_dot_rank_str (not for end users)
Description
xmu_dot_rank_str (not for end users)
Usage
xmu_dot_rank_str(min = NULL, same = NULL, max = NULL)
Arguments
min |
vars to group at top of plot |
same |
vars to group at the same level |
max |
vars to group at bottom of plot |
Value
- GraphViz rank string
See Also
Other xmu internal not for end user:
umxModel(),
umxRenameMatrix(),
umx_APA_pval(),
umx_fun_mean_sd(),
umx_get_bracket_addresses(),
umx_make(),
umx_standardize(),
umx_string_to_algebra(),
xmuHasSquareBrackets(),
xmuLabel_MATRIX_Model(),
xmuLabel_Matrix(),
xmuLabel_RAM_Model(),
xmuMI(),
xmuMakeDeviationThresholdsMatrices(),
xmuMakeOneHeadedPathsFromPathList(),
xmuMakeTwoHeadedPathsFromPathList(),
xmuMaxLevels(),
xmuMinLevels(),
xmuPropagateLabels(),
xmuRAM2Ordinal(),
xmuTwinSuper_Continuous(),
xmuTwinSuper_NoBinary(),
xmuTwinUpgradeMeansToCovariateModel(),
xmu_CI_merge(),
xmu_CI_stash(),
xmu_DF_to_mxData_TypeCov(),
xmu_PadAndPruneForDefVars(),
xmu_bracket_address2rclabel(),
xmu_cell_is_on(),
xmu_check_levels_identical(),
xmu_check_needs_means(),
xmu_check_variance(),
xmu_clean_label(),
xmu_data_missing(),
xmu_data_swap_a_block(),
xmu_describe_data_WLS(),
xmu_dot_make_paths(),
xmu_dot_make_residuals(),
xmu_dot_maker(),
xmu_dot_move_ranks(),
xmu_extract_column(),
xmu_get_CI(),
xmu_lavaan_process_group(),
xmu_make_TwinSuperModel(),
xmu_make_bin_cont_pair_data(),
xmu_make_mxData(),
xmu_match.arg(),
xmu_name_from_lavaan_str(),
xmu_path2twin(),
xmu_path_regex(),
xmu_print_algebras(),
xmu_rclabel_2_bracket_address(),
xmu_relevel_factors(),
xmu_safe_run_summary(),
xmu_set_sep_from_suffix(),
xmu_show_fit_or_comparison(),
xmu_simplex_corner(),
xmu_standardize_ACE(),
xmu_standardize_ACEcov(),
xmu_standardize_ACEv(),
xmu_standardize_CP(),
xmu_standardize_IP(),
xmu_standardize_RAM(),
xmu_standardize_SexLim(),
xmu_standardize_Simplex(),
xmu_start_value_list(),
xmu_starts(),
xmu_summary_RAM_group_parameters(),
xmu_twin_add_WeightMatrices(),
xmu_twin_check(),
xmu_twin_get_var_names(),
xmu_twin_make_def_means_mats_and_alg(),
xmu_twin_upgrade_selDvs2SelVars(),
xmu_update_covar()
Examples
xmu_dot_rank_str(min = "L1", same = c("x1", "x2"), max = paste0("e", 1:3))
Equate Threshold Values Across Columns in a Model
Description
This function sets the threshold values for multiple columns in a model to be equal to the threshold values of the first specified column. It is useful in contexts where consistent threshold values are needed across different variables for statistical modeling.
Usage
xmu_equate_threshold_values(model, x_cols)
Arguments
model |
A model object that contains threshold values in its 'deviations_for_thresh' slot. |
x_cols |
A character vector specifying the names of the columns whose thresholds will be equated. |
Value
The modified model object with equated threshold values across the specified columns.
Examples
## Not run:
# Assumes `my_model` is a previously defined threshold model
# and has columns "var1", "var2", and "var3" in deviations_for_thresh$values
updated_model = xmu_equate_threshold_values(my_model, x_cols = c("var1", "var2", "var3"))
## End(Not run)
Get one or more columns from mzData or regular data.frame
Description
same effect as df[, col] but works for OpenMx::mxData() and check the names are present
Usage
xmu_extract_column(data, col, drop = FALSE)
Arguments
data |
mxData or data.frame |
col |
the name(s) of the column(s) to extract |
drop |
whether to drop the structure of the data.frame when extracting one column |
Value
column of data
See Also
Other xmu internal not for end user:
umxModel(),
umxRenameMatrix(),
umx_APA_pval(),
umx_fun_mean_sd(),
umx_get_bracket_addresses(),
umx_make(),
umx_standardize(),
umx_string_to_algebra(),
xmuHasSquareBrackets(),
xmuLabel_MATRIX_Model(),
xmuLabel_Matrix(),
xmuLabel_RAM_Model(),
xmuMI(),
xmuMakeDeviationThresholdsMatrices(),
xmuMakeOneHeadedPathsFromPathList(),
xmuMakeTwoHeadedPathsFromPathList(),
xmuMaxLevels(),
xmuMinLevels(),
xmuPropagateLabels(),
xmuRAM2Ordinal(),
xmuTwinSuper_Continuous(),
xmuTwinSuper_NoBinary(),
xmuTwinUpgradeMeansToCovariateModel(),
xmu_CI_merge(),
xmu_CI_stash(),
xmu_DF_to_mxData_TypeCov(),
xmu_PadAndPruneForDefVars(),
xmu_bracket_address2rclabel(),
xmu_cell_is_on(),
xmu_check_levels_identical(),
xmu_check_needs_means(),
xmu_check_variance(),
xmu_clean_label(),
xmu_data_missing(),
xmu_data_swap_a_block(),
xmu_describe_data_WLS(),
xmu_dot_make_paths(),
xmu_dot_make_residuals(),
xmu_dot_maker(),
xmu_dot_move_ranks(),
xmu_dot_rank_str(),
xmu_get_CI(),
xmu_lavaan_process_group(),
xmu_make_TwinSuperModel(),
xmu_make_bin_cont_pair_data(),
xmu_make_mxData(),
xmu_match.arg(),
xmu_name_from_lavaan_str(),
xmu_path2twin(),
xmu_path_regex(),
xmu_print_algebras(),
xmu_rclabel_2_bracket_address(),
xmu_relevel_factors(),
xmu_safe_run_summary(),
xmu_set_sep_from_suffix(),
xmu_show_fit_or_comparison(),
xmu_simplex_corner(),
xmu_standardize_ACE(),
xmu_standardize_ACEcov(),
xmu_standardize_ACEv(),
xmu_standardize_CP(),
xmu_standardize_IP(),
xmu_standardize_RAM(),
xmu_standardize_SexLim(),
xmu_standardize_Simplex(),
xmu_start_value_list(),
xmu_starts(),
xmu_summary_RAM_group_parameters(),
xmu_twin_add_WeightMatrices(),
xmu_twin_check(),
xmu_twin_get_var_names(),
xmu_twin_make_def_means_mats_and_alg(),
xmu_twin_upgrade_selDvs2SelVars(),
xmu_update_covar()
Examples
xmu_extract_column(mtcars, "wt")
xmu_extract_column(mxData(mtcars, type = "raw"), "wt")
xmu_extract_column(mxData(mtcars, type = "raw"), "wt", drop=TRUE)
xmu_extract_column(mxData(mtcars, type = "raw"), c("wt", "mpg"))
Look up and report CIs for free parameters
Description
Look up CIs for free parameters in a model, and return as APA-formatted text string. If std are available, then these are reported.
Usage
xmu_get_CI(
model,
label,
prefix = "top.",
suffix = "_std",
digits = 2,
SEstyle = FALSE,
verbose = FALSE
)
Arguments
model |
an |
label |
the label of the cell to interrogate for a CI, e.g. "ai_r1c1" |
prefix |
The submodel to look in (default = "top.") |
suffix |
The suffix for algebras when standardized (default = "_std") |
digits |
Rounding digits. |
SEstyle |
If TRUE, report "b(se)" instead of b CI95[l,u] (default = FALSE) If "mxSE" compute these. |
verbose |
= FALSE |
Value
the CI string, e.g. ".73[-.20, .98]" or .73(.10)
References
See Also
Other xmu internal not for end user:
umxModel(),
umxRenameMatrix(),
umx_APA_pval(),
umx_fun_mean_sd(),
umx_get_bracket_addresses(),
umx_make(),
umx_standardize(),
umx_string_to_algebra(),
xmuHasSquareBrackets(),
xmuLabel_MATRIX_Model(),
xmuLabel_Matrix(),
xmuLabel_RAM_Model(),
xmuMI(),
xmuMakeDeviationThresholdsMatrices(),
xmuMakeOneHeadedPathsFromPathList(),
xmuMakeTwoHeadedPathsFromPathList(),
xmuMaxLevels(),
xmuMinLevels(),
xmuPropagateLabels(),
xmuRAM2Ordinal(),
xmuTwinSuper_Continuous(),
xmuTwinSuper_NoBinary(),
xmuTwinUpgradeMeansToCovariateModel(),
xmu_CI_merge(),
xmu_CI_stash(),
xmu_DF_to_mxData_TypeCov(),
xmu_PadAndPruneForDefVars(),
xmu_bracket_address2rclabel(),
xmu_cell_is_on(),
xmu_check_levels_identical(),
xmu_check_needs_means(),
xmu_check_variance(),
xmu_clean_label(),
xmu_data_missing(),
xmu_data_swap_a_block(),
xmu_describe_data_WLS(),
xmu_dot_make_paths(),
xmu_dot_make_residuals(),
xmu_dot_maker(),
xmu_dot_move_ranks(),
xmu_dot_rank_str(),
xmu_extract_column(),
xmu_lavaan_process_group(),
xmu_make_TwinSuperModel(),
xmu_make_bin_cont_pair_data(),
xmu_make_mxData(),
xmu_match.arg(),
xmu_name_from_lavaan_str(),
xmu_path2twin(),
xmu_path_regex(),
xmu_print_algebras(),
xmu_rclabel_2_bracket_address(),
xmu_relevel_factors(),
xmu_safe_run_summary(),
xmu_set_sep_from_suffix(),
xmu_show_fit_or_comparison(),
xmu_simplex_corner(),
xmu_standardize_ACE(),
xmu_standardize_ACEcov(),
xmu_standardize_ACEv(),
xmu_standardize_CP(),
xmu_standardize_IP(),
xmu_standardize_RAM(),
xmu_standardize_SexLim(),
xmu_standardize_Simplex(),
xmu_start_value_list(),
xmu_starts(),
xmu_summary_RAM_group_parameters(),
xmu_twin_add_WeightMatrices(),
xmu_twin_check(),
xmu_twin_get_var_names(),
xmu_twin_make_def_means_mats_and_alg(),
xmu_twin_upgrade_selDvs2SelVars(),
xmu_update_covar()
Examples
## Not run:
require(umx); data(demoOneFactor)
manifests = names(demoOneFactor)
tmp = umxRAM("get_CI_example", data = demoOneFactor, type = "cov",
umxPath("G", to = manifests),
umxPath(var = manifests),
umxPath(var = "G", fixedAt = 1)
)
tmp = umxCI(tmp, run= "yes")
# Get CI by parameter label
xmu_get_CI(model= tmp, "x1_with_x1")
xmu_get_CI(model= tmp, "x1_with_x1", SEstyle = TRUE, digits = 3)
# prefix (submodel) and suffix (e.g. std) are ignored if not needed
xmu_get_CI(model= tmp, "x1_with_x1", prefix = "top.", suffix = "_std")
xmu_get_CI(fit_IP, label = "ai_r1c1", prefix = "top.", suffix = "_std")
xmu_get_CI(fit_IP, label = "ai_r1c1", prefix = "top.", SEstyle = TRUE, suffix = "_std")
## End(Not run)
Process table of paths to model
Description
Process a set of lavaan tables rows forming a group (Model). Returns empty arrays if no rows matching the requested group are found.
Usage
xmu_lavaan_process_group(tab, groupNum)
Arguments
tab |
a parameter table |
groupNum |
group number to filter table on |
Value
list(plist=plist, latents = latents, manifests = manifests)
See Also
Other xmu internal not for end user:
umxModel(),
umxRenameMatrix(),
umx_APA_pval(),
umx_fun_mean_sd(),
umx_get_bracket_addresses(),
umx_make(),
umx_standardize(),
umx_string_to_algebra(),
xmuHasSquareBrackets(),
xmuLabel_MATRIX_Model(),
xmuLabel_Matrix(),
xmuLabel_RAM_Model(),
xmuMI(),
xmuMakeDeviationThresholdsMatrices(),
xmuMakeOneHeadedPathsFromPathList(),
xmuMakeTwoHeadedPathsFromPathList(),
xmuMaxLevels(),
xmuMinLevels(),
xmuPropagateLabels(),
xmuRAM2Ordinal(),
xmuTwinSuper_Continuous(),
xmuTwinSuper_NoBinary(),
xmuTwinUpgradeMeansToCovariateModel(),
xmu_CI_merge(),
xmu_CI_stash(),
xmu_DF_to_mxData_TypeCov(),
xmu_PadAndPruneForDefVars(),
xmu_bracket_address2rclabel(),
xmu_cell_is_on(),
xmu_check_levels_identical(),
xmu_check_needs_means(),
xmu_check_variance(),
xmu_clean_label(),
xmu_data_missing(),
xmu_data_swap_a_block(),
xmu_describe_data_WLS(),
xmu_dot_make_paths(),
xmu_dot_make_residuals(),
xmu_dot_maker(),
xmu_dot_move_ranks(),
xmu_dot_rank_str(),
xmu_extract_column(),
xmu_get_CI(),
xmu_make_TwinSuperModel(),
xmu_make_bin_cont_pair_data(),
xmu_make_mxData(),
xmu_match.arg(),
xmu_name_from_lavaan_str(),
xmu_path2twin(),
xmu_path_regex(),
xmu_print_algebras(),
xmu_rclabel_2_bracket_address(),
xmu_relevel_factors(),
xmu_safe_run_summary(),
xmu_set_sep_from_suffix(),
xmu_show_fit_or_comparison(),
xmu_simplex_corner(),
xmu_standardize_ACE(),
xmu_standardize_ACEcov(),
xmu_standardize_ACEv(),
xmu_standardize_CP(),
xmu_standardize_IP(),
xmu_standardize_RAM(),
xmu_standardize_SexLim(),
xmu_standardize_Simplex(),
xmu_start_value_list(),
xmu_starts(),
xmu_summary_RAM_group_parameters(),
xmu_twin_add_WeightMatrices(),
xmu_twin_check(),
xmu_twin_get_var_names(),
xmu_twin_make_def_means_mats_and_alg(),
xmu_twin_upgrade_selDvs2SelVars(),
xmu_update_covar()
Examples
## Not run:
tab = lavaan::lavaanify("y~x")
xmu_lavaan_process_group(tab, groupNum = 1)
xmu_lavaan_process_group(tab, groupNum = 0)
## End(Not run)
Helper to make a basic top, MZ, and DZ model.
Description
xmu_make_TwinSuperModel makes basic twin model containing top, MZ, and DZ models. It intelligently handles thresholds for
ordinal data, and means model for covariates matrices in the twin models if needed.
It's the replacement for xmu_assemble_twin_supermodel approach.
Usage
xmu_make_TwinSuperModel(
name = "twin_super",
mzData,
dzData,
selDVs,
selCovs = NULL,
sep = NULL,
type = c("Auto", "FIML", "cov", "cor", "WLS", "DWLS", "ULS"),
allContinuousMethod = c("cumulants", "marginals"),
numObsMZ = NULL,
numObsDZ = NULL,
nSib = 2,
equateMeans = TRUE,
weightVar = NULL,
bVector = FALSE,
dropMissingDef = TRUE,
verbose = FALSE
)
Arguments
name |
for the supermodel |
mzData |
Dataframe containing the MZ data |
dzData |
Dataframe containing the DZ data |
selDVs |
List of manifest base names (e.g. BMI, NOT 'BMI_T1') (OR, you don't set "sep", the full variable names) |
selCovs |
List of covariate base names (e.g. age, NOT 'age_T1') (OR, you don't set "sep", the full variable names) |
sep |
string used to expand selDVs into selVars, i.e., "_T" to expand BMI into BMI_T1 and BMI_T2 (optional but STRONGLY encouraged) |
type |
One of 'Auto','FIML','cov', 'cor', 'WLS','DWLS', or 'ULS'. Auto tries to react to the incoming mxData type (raw/cov). |
allContinuousMethod |
"cumulants" or "marginals". Used in all-continuous WLS data to determine if a means model needed. |
numObsMZ |
Number of MZ observations contributing (for summary data only) |
numObsDZ |
Number of DZ observations contributing (for summary data only) |
nSib |
Number of members per family (default = 2) |
equateMeans |
Whether to equate T1 and T2 means (default = TRUE). |
weightVar |
If provided, a vector objective will be used to weight the data. (default = NULL). |
bVector |
Whether to compute row-wise likelihoods (defaults to FALSE). |
dropMissingDef |
Whether to automatically drop missing def var rows for the user (default = TRUE). You get a polite note. |
verbose |
(default = FALSE) |
Details
xmu_make_TwinSuperModel is used in twin models (e.g.umxCP(), umxACE() and umxACEv() and will be added to the other models: umxGxE(), umxIP(),
simplifying code maintenance.
It takes mzData and dzData, a list of the selDVs to analyse and optional selCovs (as well as sep and nSib), along with other
relevant information such as whether the user wants to equateMeans.
It can also handle a weightVar.
If covariates are passed in these are included in the means model (via a call to xmuTwinUpgradeMeansToCovariateModel.
Modeling
Matrices created
top model
For raw and WLS data, top contains a expMeans matrix (if needed). For summary data, the top model contains only a name.
For ordinal data, top gains top.threshMat (from a call to umxThresholdMatrix()).
For covariates, top stores the intercepts matrix and a betaDef matrix. These are then used to make expMeans in MZ and DZ.
MZ and DZ models
MZ and DZ contain the data, and an expectation referencing top.expCovMZ and top.expMean, and, vector = bVector.
For continuous raw data, MZ and DZ contain OpenMx::mxExpectationNormal() and OpenMx::mxFitFunctionML().
For WLS these the fit function is switched to OpenMx::mxFitFunctionWLS() with appropriate type and allContinuousMethod.
For binary, a constraint and algebras are included to constrain Vtot (A+C+E) to 1.
If a weightVar is detected, these columns are used to create a row-weighted MZ and DZ models.
If equateMeans is TRUE, then the Twin-2 vars in the mean matrix are equated by label with Twin-1.
Decent starts are guessed from the data.
varStarts is computed as sqrt(variance)/3 of the DVs and meanStarts as the variable means.
For raw data, a check is made for ordered variables. For Binary variables, means are fixed at 0 and
total variance (A+C+E) is fixed at 1. For ordinal variables, the first 2 thresholds are fixed.
Where needed, e.g. continuous raw data, top adds a means matrix "expMean".
For ordinal data, top adds a umxThresholdMatrix().
If binary variables are present, matrices and a constraint to hold A+C+E == 1 are added to top.
If a weight variable is offered up, an mzWeightMatrix will be added.
Data handling
In terms of data handling, xmu_make_TwinSuperModel was primarily designed to take
data.frames and process these into mxData.
It can also, however, handle cov and mxData input.
It can process data into all the types supported by mxData.
Raw data input with a target of cov or cor type requires the numObsMZ and numObsDZ to be set.
Type "WLS", "DWLS", or "ULS", data remain raw, but are handled as WLS in the OpenMx::mxFitFunctionWLS().
Unused columns are dropped.
If you pass in raw data, you can't request type cov/cor yet. Will work on this if desired.
Value
-
OpenMx::mxModel()s for top, MZ and DZ.
See Also
Other xmu internal not for end user:
umxModel(),
umxRenameMatrix(),
umx_APA_pval(),
umx_fun_mean_sd(),
umx_get_bracket_addresses(),
umx_make(),
umx_standardize(),
umx_string_to_algebra(),
xmuHasSquareBrackets(),
xmuLabel_MATRIX_Model(),
xmuLabel_Matrix(),
xmuLabel_RAM_Model(),
xmuMI(),
xmuMakeDeviationThresholdsMatrices(),
xmuMakeOneHeadedPathsFromPathList(),
xmuMakeTwoHeadedPathsFromPathList(),
xmuMaxLevels(),
xmuMinLevels(),
xmuPropagateLabels(),
xmuRAM2Ordinal(),
xmuTwinSuper_Continuous(),
xmuTwinSuper_NoBinary(),
xmuTwinUpgradeMeansToCovariateModel(),
xmu_CI_merge(),
xmu_CI_stash(),
xmu_DF_to_mxData_TypeCov(),
xmu_PadAndPruneForDefVars(),
xmu_bracket_address2rclabel(),
xmu_cell_is_on(),
xmu_check_levels_identical(),
xmu_check_needs_means(),
xmu_check_variance(),
xmu_clean_label(),
xmu_data_missing(),
xmu_data_swap_a_block(),
xmu_describe_data_WLS(),
xmu_dot_make_paths(),
xmu_dot_make_residuals(),
xmu_dot_maker(),
xmu_dot_move_ranks(),
xmu_dot_rank_str(),
xmu_extract_column(),
xmu_get_CI(),
xmu_lavaan_process_group(),
xmu_make_bin_cont_pair_data(),
xmu_make_mxData(),
xmu_match.arg(),
xmu_name_from_lavaan_str(),
xmu_path2twin(),
xmu_path_regex(),
xmu_print_algebras(),
xmu_rclabel_2_bracket_address(),
xmu_relevel_factors(),
xmu_safe_run_summary(),
xmu_set_sep_from_suffix(),
xmu_show_fit_or_comparison(),
xmu_simplex_corner(),
xmu_standardize_ACE(),
xmu_standardize_ACEcov(),
xmu_standardize_ACEv(),
xmu_standardize_CP(),
xmu_standardize_IP(),
xmu_standardize_RAM(),
xmu_standardize_SexLim(),
xmu_standardize_Simplex(),
xmu_start_value_list(),
xmu_starts(),
xmu_summary_RAM_group_parameters(),
xmu_twin_add_WeightMatrices(),
xmu_twin_check(),
xmu_twin_get_var_names(),
xmu_twin_make_def_means_mats_and_alg(),
xmu_twin_upgrade_selDvs2SelVars(),
xmu_update_covar()
Examples
# ==============
# = Continuous =
# ==============
library(umx)
data(twinData)
twinData = umx_scale(twinData, varsToScale= c('ht1','ht2'))
mzData = twinData[twinData$zygosity %in% "MZFF",]
dzData = twinData[twinData$zygosity %in% "DZFF",]
m1= xmu_make_TwinSuperModel(mzData=mzData, dzData=dzData, selDVs=c("wt","ht"), sep="", nSib=2)
names(m1) # "top" "MZ" "DZ"
class(m1$MZ$fitfunction)[[1]] == "MxFitFunctionML"
# ====================
# = With a covariate =
# ====================
m1= xmu_make_TwinSuperModel(mzData=mzData, dzData=dzData,
selDVs= "wt", selCovs= "age", sep="", nSib=2)
m1$top$intercept$labels
m1$MZ$expMean
# ===============
# = WLS example =
# ===============
m1=xmu_make_TwinSuperModel(mzData=mzData, dzData=dzData,selDVs=c("wt","ht"),sep="",type="WLS")
class(m1$MZ$fitfunction)[[1]] == "MxFitFunctionWLS"
m1$MZ$fitfunction$type =="WLS"
# Check default all-continuous method
m1$MZ$fitfunction$continuousType == "cumulants"
# Choose non-default type (DWLS)
m1= xmu_make_TwinSuperModel(mzData= mzData, dzData= dzData,
selDVs= c("wt","ht"), sep="", type="DWLS")
m1$MZ$fitfunction$type =="DWLS"
class(m1$MZ$fitfunction)[[1]] == "MxFitFunctionWLS"
# Switch WLS method
m1 = xmu_make_TwinSuperModel(mzData= mzData, dzData= dzData, selDVs= c("wt","ht"), sep= "",
type = "WLS", allContinuousMethod = "marginals")
m1$MZ$fitfunction$continuousType == "marginals"
class(m1$MZ$fitfunction)[[1]] == "MxFitFunctionWLS"
# ============================================
# = Bivariate continuous and ordinal example =
# ============================================
data(twinData)
selDVs = c("wt", "obese")
# Cut BMI column to form ordinal obesity variables
ordDVs = c("obese1", "obese2")
obesityLevels = c('normal', 'overweight', 'obese')
cutPoints = quantile(twinData[, "bmi1"], probs = c(.5, .2), na.rm = TRUE)
twinData$obese1 = cut(twinData$bmi1, breaks = c(-Inf, cutPoints, Inf), labels = obesityLevels)
twinData$obese2 = cut(twinData$bmi2, breaks = c(-Inf, cutPoints, Inf), labels = obesityLevels)
# Make the ordinal variables into mxFactors (ensure ordered is TRUE, and require levels)
twinData[, ordDVs] = umxFactor(twinData[, ordDVs])
mzData = twinData[twinData$zygosity %in% "MZFF",]
dzData = twinData[twinData$zygosity %in% "DZFF",]
m1 = xmu_make_TwinSuperModel(mzData= mzData, dzData= dzData, selDVs= selDVs, sep="", nSib= 2)
names(m1) # "top" "MZ" "DZ"
# ==============
# = One binary =
# ==============
data(twinData)
cutPoints = quantile(twinData[, "bmi1"], probs = .2, na.rm = TRUE)
obesityLevels = c('normal', 'obese')
twinData$obese1 = cut(twinData$bmi1, breaks = c(-Inf, cutPoints, Inf), labels = obesityLevels)
twinData$obese2 = cut(twinData$bmi2, breaks = c(-Inf, cutPoints, Inf), labels = obesityLevels)
ordDVs = c("obese1", "obese2")
twinData[, ordDVs] = umxFactor(twinData[, ordDVs])
selDVs = c("wt", "obese")
mzData = twinData[twinData$zygosity %in% "MZFF",]
dzData = twinData[twinData$zygosity %in% "DZFF",]
m1 = xmu_make_TwinSuperModel(mzData= mzData, dzData= dzData, selDVs= selDVs, sep= "", nSib= 2)
# ========================================
# = Cov data (calls xmuTwinSuper_CovCor) =
# ========================================
data(twinData)
mzData =cov(twinData[twinData$zygosity %in% "MZFF", tvars(c("wt","ht"), sep="")], use="complete")
dzData =cov(twinData[twinData$zygosity %in% "DZFF", tvars(c("wt","ht"), sep="")], use="complete")
m1 = xmu_make_TwinSuperModel(mzData= mzData, dzData= dzData, selDVs= "wt", sep= "",
nSib= 2, numObsMZ = 100, numObsDZ = 100, verbose=TRUE)
class(m1$MZ$fitfunction)[[1]] =="MxFitFunctionML"
dimnames(m1$MZ$data$observed)[[1]]==c("wt1", "wt2")
Make pairs of bin & continuous columns to represent censored data
Description
Takes a dataframe of right or left-censored variables (vars with a floor/ceiling effect) and does two things to it: 1. It creates new binary (1/0) copies of each column (with the suffix "bin"). These contain 0 where the variable is below the minimum and NA otherwise. The second variable receives a suffix "cont". 2. By default, in each existing variable, it sets all instances of min for that var to NA
Usage
xmu_make_bin_cont_pair_data(
data,
vars = NULL,
suffixes = NULL,
censp = NULL,
type = "low"
)
Arguments
data |
A [data.frame()] to convert |
vars |
The variables to process |
suffixes |
Suffixes if the data are family (wide, more than one persona on a row) |
censp |
Optional censoring point |
type |
Either "low" or "high" (default = "low"). Low for left-censored, high for right-censored. |
Value
- copy of the dataframe with new binary variables and censoring
See Also
Other xmu internal not for end user:
umxModel(),
umxRenameMatrix(),
umx_APA_pval(),
umx_fun_mean_sd(),
umx_get_bracket_addresses(),
umx_make(),
umx_standardize(),
umx_string_to_algebra(),
xmuHasSquareBrackets(),
xmuLabel_MATRIX_Model(),
xmuLabel_Matrix(),
xmuLabel_RAM_Model(),
xmuMI(),
xmuMakeDeviationThresholdsMatrices(),
xmuMakeOneHeadedPathsFromPathList(),
xmuMakeTwoHeadedPathsFromPathList(),
xmuMaxLevels(),
xmuMinLevels(),
xmuPropagateLabels(),
xmuRAM2Ordinal(),
xmuTwinSuper_Continuous(),
xmuTwinSuper_NoBinary(),
xmuTwinUpgradeMeansToCovariateModel(),
xmu_CI_merge(),
xmu_CI_stash(),
xmu_DF_to_mxData_TypeCov(),
xmu_PadAndPruneForDefVars(),
xmu_bracket_address2rclabel(),
xmu_cell_is_on(),
xmu_check_levels_identical(),
xmu_check_needs_means(),
xmu_check_variance(),
xmu_clean_label(),
xmu_data_missing(),
xmu_data_swap_a_block(),
xmu_describe_data_WLS(),
xmu_dot_make_paths(),
xmu_dot_make_residuals(),
xmu_dot_maker(),
xmu_dot_move_ranks(),
xmu_dot_rank_str(),
xmu_extract_column(),
xmu_get_CI(),
xmu_lavaan_process_group(),
xmu_make_TwinSuperModel(),
xmu_make_mxData(),
xmu_match.arg(),
xmu_name_from_lavaan_str(),
xmu_path2twin(),
xmu_path_regex(),
xmu_print_algebras(),
xmu_rclabel_2_bracket_address(),
xmu_relevel_factors(),
xmu_safe_run_summary(),
xmu_set_sep_from_suffix(),
xmu_show_fit_or_comparison(),
xmu_simplex_corner(),
xmu_standardize_ACE(),
xmu_standardize_ACEcov(),
xmu_standardize_ACEv(),
xmu_standardize_CP(),
xmu_standardize_IP(),
xmu_standardize_RAM(),
xmu_standardize_SexLim(),
xmu_standardize_Simplex(),
xmu_start_value_list(),
xmu_starts(),
xmu_summary_RAM_group_parameters(),
xmu_twin_add_WeightMatrices(),
xmu_twin_check(),
xmu_twin_get_var_names(),
xmu_twin_make_def_means_mats_and_alg(),
xmu_twin_upgrade_selDvs2SelVars(),
xmu_update_covar()
Examples
df = xmu_make_bin_cont_pair_data(mtcars, vars = c("mpg"))
str(df)
df[order(df$mpgcont), c("mpgcont","mpgbin")]
# Introduce a floor effect
tmp = mtcars; tmp$mpg[tmp$mpg<=15]=15
tmp$mpg_T1 = tmp$mpg_T2 = tmp$mpg
df = xmu_make_bin_cont_pair_data(tmp, vars = c("mpg"), suffixes = c("_T1", "_T2"))
df[order(df$mpgcont_T1), c("mpgcont_T2", "mpgcont_T1", "mpgbin_T1", "mpgbin_T2")]
Upgrade a dataframe to an mxData type.
Description
xmu_make_mxData is an internal function to upgrade a dataframe to mxData. It can also drop variables and rows
from the dataframe.
The most common use will be to give it a dataframe, and get back an mxData object of type raw, cov, cor (WLS is just raw).
Usage
xmu_make_mxData(
data = NULL,
type = c("Auto", "FIML", "cov", "cor", "WLS", "DWLS", "ULS"),
manifests = NULL,
numObs = NULL,
weight = NULL,
fullCovs = NULL,
dropMissingDef = TRUE,
verbose = FALSE,
use = "pairwise.complete.obs"
)
Arguments
data |
|
type |
What data type is wanted out c("Auto", "FIML", "cov", "cor", 'WLS', 'DWLS', 'ULS') |
manifests |
If set, only these variables will be retained. |
numObs |
Only needed if you pass in a cov/cor matrix wanting this to be upgraded to mxData |
weight |
Passes weight values to mxData |
fullCovs |
Covariate names if any (NULL = none) These are checked by |
dropMissingDef |
Whether to automatically drop missing def var rows for the user (default = TRUE). You get a polite note. |
verbose |
If verbose, report on columns kept and dropped (default FALSE) |
use |
When type = cov or cor, should this drop NAs? (use = "pairwise.complete.obs" by default, with a polite note) |
Value
See Also
Other xmu internal not for end user:
umxModel(),
umxRenameMatrix(),
umx_APA_pval(),
umx_fun_mean_sd(),
umx_get_bracket_addresses(),
umx_make(),
umx_standardize(),
umx_string_to_algebra(),
xmuHasSquareBrackets(),
xmuLabel_MATRIX_Model(),
xmuLabel_Matrix(),
xmuLabel_RAM_Model(),
xmuMI(),
xmuMakeDeviationThresholdsMatrices(),
xmuMakeOneHeadedPathsFromPathList(),
xmuMakeTwoHeadedPathsFromPathList(),
xmuMaxLevels(),
xmuMinLevels(),
xmuPropagateLabels(),
xmuRAM2Ordinal(),
xmuTwinSuper_Continuous(),
xmuTwinSuper_NoBinary(),
xmuTwinUpgradeMeansToCovariateModel(),
xmu_CI_merge(),
xmu_CI_stash(),
xmu_DF_to_mxData_TypeCov(),
xmu_PadAndPruneForDefVars(),
xmu_bracket_address2rclabel(),
xmu_cell_is_on(),
xmu_check_levels_identical(),
xmu_check_needs_means(),
xmu_check_variance(),
xmu_clean_label(),
xmu_data_missing(),
xmu_data_swap_a_block(),
xmu_describe_data_WLS(),
xmu_dot_make_paths(),
xmu_dot_make_residuals(),
xmu_dot_maker(),
xmu_dot_move_ranks(),
xmu_dot_rank_str(),
xmu_extract_column(),
xmu_get_CI(),
xmu_lavaan_process_group(),
xmu_make_TwinSuperModel(),
xmu_make_bin_cont_pair_data(),
xmu_match.arg(),
xmu_name_from_lavaan_str(),
xmu_path2twin(),
xmu_path_regex(),
xmu_print_algebras(),
xmu_rclabel_2_bracket_address(),
xmu_relevel_factors(),
xmu_safe_run_summary(),
xmu_set_sep_from_suffix(),
xmu_show_fit_or_comparison(),
xmu_simplex_corner(),
xmu_standardize_ACE(),
xmu_standardize_ACEcov(),
xmu_standardize_ACEv(),
xmu_standardize_CP(),
xmu_standardize_IP(),
xmu_standardize_RAM(),
xmu_standardize_SexLim(),
xmu_standardize_Simplex(),
xmu_start_value_list(),
xmu_starts(),
xmu_summary_RAM_group_parameters(),
xmu_twin_add_WeightMatrices(),
xmu_twin_check(),
xmu_twin_get_var_names(),
xmu_twin_make_def_means_mats_and_alg(),
xmu_twin_upgrade_selDvs2SelVars(),
xmu_update_covar()
Examples
# =========================
# = Continuous ML example =
# =========================
data(mtcars)
tmp = xmu_make_mxData(data= mtcars, type = "Auto"); # class(tmp); # "MxDataStatic"
# names(tmp$observed) # "mpg" "cyl" "disp"
manVars = c("mpg", "cyl", "disp")
tmp = xmu_make_mxData(data= mtcars, type = "Auto", manifests = manVars);
tmp$type == "raw" # TRUE
# ==============================
# = All continuous WLS example =
# ==============================
tmp = xmu_make_mxData(data= mtcars, type = "WLS" , manifests = manVars, verbose= TRUE)
tmp$type == "raw" # TRUE (WLS is triggered by the fit function, not the data type)
# ============================
# = Missing data WLS example =
# ============================
tmp = mtcars; tmp[1, "mpg"] = NA # add NA
tmp = xmu_make_mxData(data= tmp, type = "WLS", manifests = manVars, verbose= TRUE)
## Not run:
# ==========================
# = already mxData example =
# ==========================
m1 = umxRAM("auto", data = mxData(mtcars, type = "raw"),
umxPath(var= "wt"),
umxPath(mean= "wt")
)
## End(Not run)
# ========================
# = Cov and cor examples =
# ========================
tmp = xmu_make_mxData(data= mtcars, type = "cov", manifests = c("mpg", "cyl"))
tmp = xmu_make_mxData(data= mtcars, type = "cor", manifests = c("mpg", "cyl"))
tmp = xmu_make_mxData(data= cov(mtcars[, c("mpg", "cyl")]),
type = "cov", manifests = c("mpg", "cyl"), numObs=200)
# mxData input examples
tmp = mxData(cov(mtcars[, c("mpg", "cyl")]), type = "cov", numObs= 100)
xmu_make_mxData(data= tmp, type = "cor", manifests = c("mpg", "cyl")) # consume mxData
xmu_make_mxData(data= tmp, type = "cor", manifests = c("mpg")) # trim existing mxData
xmu_make_mxData(data= tmp, type = "cor") # no manifests specified (use all)
xmu_make_mxData(data= tmp, manifests = c("mpg", "cyl")) # auto
# =======================
# = Pass string through =
# =======================
xmu_make_mxData(data= c("a", "b", "c"), type = "Auto")
Select first item in list of options, while being flexible about choices.
Description
Like a smart version of match.arg(): Handles selecting parameter options when default is a list.
Unlike match.arg() xmu_match.arg allows items not in the list.
Usage
xmu_match.arg(x, option_list, check = TRUE)
Arguments
x |
the value chosen (may be the default option list) |
option_list |
A vector of valid options |
check |
Whether to check that single items are in the list. Set false to accept abbreviations (defaults to TRUE) |
Value
one validated option
References
See Also
Other xmu internal not for end user:
umxModel(),
umxRenameMatrix(),
umx_APA_pval(),
umx_fun_mean_sd(),
umx_get_bracket_addresses(),
umx_make(),
umx_standardize(),
umx_string_to_algebra(),
xmuHasSquareBrackets(),
xmuLabel_MATRIX_Model(),
xmuLabel_Matrix(),
xmuLabel_RAM_Model(),
xmuMI(),
xmuMakeDeviationThresholdsMatrices(),
xmuMakeOneHeadedPathsFromPathList(),
xmuMakeTwoHeadedPathsFromPathList(),
xmuMaxLevels(),
xmuMinLevels(),
xmuPropagateLabels(),
xmuRAM2Ordinal(),
xmuTwinSuper_Continuous(),
xmuTwinSuper_NoBinary(),
xmuTwinUpgradeMeansToCovariateModel(),
xmu_CI_merge(),
xmu_CI_stash(),
xmu_DF_to_mxData_TypeCov(),
xmu_PadAndPruneForDefVars(),
xmu_bracket_address2rclabel(),
xmu_cell_is_on(),
xmu_check_levels_identical(),
xmu_check_needs_means(),
xmu_check_variance(),
xmu_clean_label(),
xmu_data_missing(),
xmu_data_swap_a_block(),
xmu_describe_data_WLS(),
xmu_dot_make_paths(),
xmu_dot_make_residuals(),
xmu_dot_maker(),
xmu_dot_move_ranks(),
xmu_dot_rank_str(),
xmu_extract_column(),
xmu_get_CI(),
xmu_lavaan_process_group(),
xmu_make_TwinSuperModel(),
xmu_make_bin_cont_pair_data(),
xmu_make_mxData(),
xmu_name_from_lavaan_str(),
xmu_path2twin(),
xmu_path_regex(),
xmu_print_algebras(),
xmu_rclabel_2_bracket_address(),
xmu_relevel_factors(),
xmu_safe_run_summary(),
xmu_set_sep_from_suffix(),
xmu_show_fit_or_comparison(),
xmu_simplex_corner(),
xmu_standardize_ACE(),
xmu_standardize_ACEcov(),
xmu_standardize_ACEv(),
xmu_standardize_CP(),
xmu_standardize_IP(),
xmu_standardize_RAM(),
xmu_standardize_SexLim(),
xmu_standardize_Simplex(),
xmu_start_value_list(),
xmu_starts(),
xmu_summary_RAM_group_parameters(),
xmu_twin_add_WeightMatrices(),
xmu_twin_check(),
xmu_twin_get_var_names(),
xmu_twin_make_def_means_mats_and_alg(),
xmu_twin_upgrade_selDvs2SelVars(),
xmu_update_covar()
Examples
option_list = c("default", "par.observed", "empirical")
xmu_match.arg("par.observed", option_list)
xmu_match.arg("allow me", option_list, check = FALSE)
xmu_match.arg(option_list, option_list)
option_list = c(NULL, "par.observed", "empirical")
# fails with NULL!!!!!
xmu_match.arg(option_list, option_list)
option_list = c(NA, "par.observed", "empirical")
xmu_match.arg(option_list, option_list) # use NA instead
option_list = c(TRUE, FALSE, NA)
xmu_match.arg(option_list, option_list) # works with non character
# An example of checking a bad item and stopping
## Not run:
tmp <- function(x= c("one", "two", "three")) {
xmu_match.arg(x, option_list = c("one", "two", "three"))
}
testthat::expect_true(tmp() == "one")
testthat::expect_error(tmp("bad"))
tmp <- function(x= c("one", "two", "three")) {
xmu_match.arg(x, option_list = c("one", "two", "three"), check = FALSE)
}
testthat::expect_true(tmp("OK") == "OK")
testthat::expect_error(tmp(), NA)
## End(Not run)
Find name for model
Description
Use name if provided. If first line contains a #, uses this line as name. Else use default.
Usage
xmu_name_from_lavaan_str(lavaanString = NULL, name = NA, default = "m1")
Arguments
lavaanString |
A model string, possibly with # model name on line 1. |
name |
A desired model name (optional). |
default |
A default name if nothing else found. |
Value
A name string
References
See Also
Other xmu internal not for end user:
umxModel(),
umxRenameMatrix(),
umx_APA_pval(),
umx_fun_mean_sd(),
umx_get_bracket_addresses(),
umx_make(),
umx_standardize(),
umx_string_to_algebra(),
xmuHasSquareBrackets(),
xmuLabel_MATRIX_Model(),
xmuLabel_Matrix(),
xmuLabel_RAM_Model(),
xmuMI(),
xmuMakeDeviationThresholdsMatrices(),
xmuMakeOneHeadedPathsFromPathList(),
xmuMakeTwoHeadedPathsFromPathList(),
xmuMaxLevels(),
xmuMinLevels(),
xmuPropagateLabels(),
xmuRAM2Ordinal(),
xmuTwinSuper_Continuous(),
xmuTwinSuper_NoBinary(),
xmuTwinUpgradeMeansToCovariateModel(),
xmu_CI_merge(),
xmu_CI_stash(),
xmu_DF_to_mxData_TypeCov(),
xmu_PadAndPruneForDefVars(),
xmu_bracket_address2rclabel(),
xmu_cell_is_on(),
xmu_check_levels_identical(),
xmu_check_needs_means(),
xmu_check_variance(),
xmu_clean_label(),
xmu_data_missing(),
xmu_data_swap_a_block(),
xmu_describe_data_WLS(),
xmu_dot_make_paths(),
xmu_dot_make_residuals(),
xmu_dot_maker(),
xmu_dot_move_ranks(),
xmu_dot_rank_str(),
xmu_extract_column(),
xmu_get_CI(),
xmu_lavaan_process_group(),
xmu_make_TwinSuperModel(),
xmu_make_bin_cont_pair_data(),
xmu_make_mxData(),
xmu_match.arg(),
xmu_path2twin(),
xmu_path_regex(),
xmu_print_algebras(),
xmu_rclabel_2_bracket_address(),
xmu_relevel_factors(),
xmu_safe_run_summary(),
xmu_set_sep_from_suffix(),
xmu_show_fit_or_comparison(),
xmu_simplex_corner(),
xmu_standardize_ACE(),
xmu_standardize_ACEcov(),
xmu_standardize_ACEv(),
xmu_standardize_CP(),
xmu_standardize_IP(),
xmu_standardize_RAM(),
xmu_standardize_SexLim(),
xmu_standardize_Simplex(),
xmu_start_value_list(),
xmu_starts(),
xmu_summary_RAM_group_parameters(),
xmu_twin_add_WeightMatrices(),
xmu_twin_check(),
xmu_twin_get_var_names(),
xmu_twin_make_def_means_mats_and_alg(),
xmu_twin_upgrade_selDvs2SelVars(),
xmu_update_covar()
Examples
"m1" == xmu_name_from_lavaan_str("x~~x")
"bob" == xmu_name_from_lavaan_str(name = "bob")
"my_model" == xmu_name_from_lavaan_str("# my model")
Re-name variables in umxPaths to twin versions
Description
xmu_path2twin takes a collection of paths that use base variable names,
and returns a model with twin names.
Usage
xmu_path2twin(paths, thisTwin = 1, sep = "_T")
Arguments
paths |
A collection of paths using base variable names. |
thisTwin |
The twin we are making (i.e., "_T1", or "_T2") |
sep |
The separator (default "_T") |
Details
A path like a to b will be returned as a_T1 to b_T1.
Value
list of relabeled paths
See Also
Other xmu internal not for end user:
umxModel(),
umxRenameMatrix(),
umx_APA_pval(),
umx_fun_mean_sd(),
umx_get_bracket_addresses(),
umx_make(),
umx_standardize(),
umx_string_to_algebra(),
xmuHasSquareBrackets(),
xmuLabel_MATRIX_Model(),
xmuLabel_Matrix(),
xmuLabel_RAM_Model(),
xmuMI(),
xmuMakeDeviationThresholdsMatrices(),
xmuMakeOneHeadedPathsFromPathList(),
xmuMakeTwoHeadedPathsFromPathList(),
xmuMaxLevels(),
xmuMinLevels(),
xmuPropagateLabels(),
xmuRAM2Ordinal(),
xmuTwinSuper_Continuous(),
xmuTwinSuper_NoBinary(),
xmuTwinUpgradeMeansToCovariateModel(),
xmu_CI_merge(),
xmu_CI_stash(),
xmu_DF_to_mxData_TypeCov(),
xmu_PadAndPruneForDefVars(),
xmu_bracket_address2rclabel(),
xmu_cell_is_on(),
xmu_check_levels_identical(),
xmu_check_needs_means(),
xmu_check_variance(),
xmu_clean_label(),
xmu_data_missing(),
xmu_data_swap_a_block(),
xmu_describe_data_WLS(),
xmu_dot_make_paths(),
xmu_dot_make_residuals(),
xmu_dot_maker(),
xmu_dot_move_ranks(),
xmu_dot_rank_str(),
xmu_extract_column(),
xmu_get_CI(),
xmu_lavaan_process_group(),
xmu_make_TwinSuperModel(),
xmu_make_bin_cont_pair_data(),
xmu_make_mxData(),
xmu_match.arg(),
xmu_name_from_lavaan_str(),
xmu_path_regex(),
xmu_print_algebras(),
xmu_rclabel_2_bracket_address(),
xmu_relevel_factors(),
xmu_safe_run_summary(),
xmu_set_sep_from_suffix(),
xmu_show_fit_or_comparison(),
xmu_simplex_corner(),
xmu_standardize_ACE(),
xmu_standardize_ACEcov(),
xmu_standardize_ACEv(),
xmu_standardize_CP(),
xmu_standardize_IP(),
xmu_standardize_RAM(),
xmu_standardize_SexLim(),
xmu_standardize_Simplex(),
xmu_start_value_list(),
xmu_starts(),
xmu_summary_RAM_group_parameters(),
xmu_twin_add_WeightMatrices(),
xmu_twin_check(),
xmu_twin_get_var_names(),
xmu_twin_make_def_means_mats_and_alg(),
xmu_twin_upgrade_selDvs2SelVars(),
xmu_update_covar()
Examples
twin1PathList = c(
umxPath(v1m0 = c("a1", 'c1', "e1")),
umxPath(fromEach = c("a1", 'c1', "e1"), to = "NFC3", values=.2)
)
xmu_path2twin(twin1PathList, thisTwin = 2)
Re-name variables umxPaths to twin versions
Description
xmu_path2twin takes a collection of umxPath()s (use base variable names),
and returns a model for both twins (and using the expanded variable names).
Usage
xmu_path_regex(input, pattern = NA, replacement = NA, ignore = "one")
Arguments
input |
vector of path labels |
pattern |
= pattern to match and replace |
replacement |
= replacement string |
ignore |
Labels to ignore (reserved words like "one") |
Details
A path like a to b will be returned as a_T1 to b_T1.
Value
renamed paths
References
See Also
Other xmu internal not for end user:
umxModel(),
umxRenameMatrix(),
umx_APA_pval(),
umx_fun_mean_sd(),
umx_get_bracket_addresses(),
umx_make(),
umx_standardize(),
umx_string_to_algebra(),
xmuHasSquareBrackets(),
xmuLabel_MATRIX_Model(),
xmuLabel_Matrix(),
xmuLabel_RAM_Model(),
xmuMI(),
xmuMakeDeviationThresholdsMatrices(),
xmuMakeOneHeadedPathsFromPathList(),
xmuMakeTwoHeadedPathsFromPathList(),
xmuMaxLevels(),
xmuMinLevels(),
xmuPropagateLabels(),
xmuRAM2Ordinal(),
xmuTwinSuper_Continuous(),
xmuTwinSuper_NoBinary(),
xmuTwinUpgradeMeansToCovariateModel(),
xmu_CI_merge(),
xmu_CI_stash(),
xmu_DF_to_mxData_TypeCov(),
xmu_PadAndPruneForDefVars(),
xmu_bracket_address2rclabel(),
xmu_cell_is_on(),
xmu_check_levels_identical(),
xmu_check_needs_means(),
xmu_check_variance(),
xmu_clean_label(),
xmu_data_missing(),
xmu_data_swap_a_block(),
xmu_describe_data_WLS(),
xmu_dot_make_paths(),
xmu_dot_make_residuals(),
xmu_dot_maker(),
xmu_dot_move_ranks(),
xmu_dot_rank_str(),
xmu_extract_column(),
xmu_get_CI(),
xmu_lavaan_process_group(),
xmu_make_TwinSuperModel(),
xmu_make_bin_cont_pair_data(),
xmu_make_mxData(),
xmu_match.arg(),
xmu_name_from_lavaan_str(),
xmu_path2twin(),
xmu_print_algebras(),
xmu_rclabel_2_bracket_address(),
xmu_relevel_factors(),
xmu_safe_run_summary(),
xmu_set_sep_from_suffix(),
xmu_show_fit_or_comparison(),
xmu_simplex_corner(),
xmu_standardize_ACE(),
xmu_standardize_ACEcov(),
xmu_standardize_ACEv(),
xmu_standardize_CP(),
xmu_standardize_IP(),
xmu_standardize_RAM(),
xmu_standardize_SexLim(),
xmu_standardize_Simplex(),
xmu_start_value_list(),
xmu_starts(),
xmu_summary_RAM_group_parameters(),
xmu_twin_add_WeightMatrices(),
xmu_twin_check(),
xmu_twin_get_var_names(),
xmu_twin_make_def_means_mats_and_alg(),
xmu_twin_upgrade_selDvs2SelVars(),
xmu_update_covar()
Examples
xmu_path_regex(c("a", "one", "b"), pattern = "$", replacement = "_T1")
# "a_T1" "one" "b_T1"
Print algebras from a umx model
Description
xmu_print_algebras adds the results of algebras to a summary
Usage
xmu_print_algebras(model, digits = 3, verbose = FALSE)
Arguments
model |
A umx model from which to print algebras. |
digits |
rounding (default = 3) |
verbose |
tell user if no algebras found |
Details
Non-user function called by umxSummary()
Value
nothing
See Also
Other xmu internal not for end user:
umxModel(),
umxRenameMatrix(),
umx_APA_pval(),
umx_fun_mean_sd(),
umx_get_bracket_addresses(),
umx_make(),
umx_standardize(),
umx_string_to_algebra(),
xmuHasSquareBrackets(),
xmuLabel_MATRIX_Model(),
xmuLabel_Matrix(),
xmuLabel_RAM_Model(),
xmuMI(),
xmuMakeDeviationThresholdsMatrices(),
xmuMakeOneHeadedPathsFromPathList(),
xmuMakeTwoHeadedPathsFromPathList(),
xmuMaxLevels(),
xmuMinLevels(),
xmuPropagateLabels(),
xmuRAM2Ordinal(),
xmuTwinSuper_Continuous(),
xmuTwinSuper_NoBinary(),
xmuTwinUpgradeMeansToCovariateModel(),
xmu_CI_merge(),
xmu_CI_stash(),
xmu_DF_to_mxData_TypeCov(),
xmu_PadAndPruneForDefVars(),
xmu_bracket_address2rclabel(),
xmu_cell_is_on(),
xmu_check_levels_identical(),
xmu_check_needs_means(),
xmu_check_variance(),
xmu_clean_label(),
xmu_data_missing(),
xmu_data_swap_a_block(),
xmu_describe_data_WLS(),
xmu_dot_make_paths(),
xmu_dot_make_residuals(),
xmu_dot_maker(),
xmu_dot_move_ranks(),
xmu_dot_rank_str(),
xmu_extract_column(),
xmu_get_CI(),
xmu_lavaan_process_group(),
xmu_make_TwinSuperModel(),
xmu_make_bin_cont_pair_data(),
xmu_make_mxData(),
xmu_match.arg(),
xmu_name_from_lavaan_str(),
xmu_path2twin(),
xmu_path_regex(),
xmu_rclabel_2_bracket_address(),
xmu_relevel_factors(),
xmu_safe_run_summary(),
xmu_set_sep_from_suffix(),
xmu_show_fit_or_comparison(),
xmu_simplex_corner(),
xmu_standardize_ACE(),
xmu_standardize_ACEcov(),
xmu_standardize_ACEv(),
xmu_standardize_CP(),
xmu_standardize_IP(),
xmu_standardize_RAM(),
xmu_standardize_SexLim(),
xmu_standardize_Simplex(),
xmu_start_value_list(),
xmu_starts(),
xmu_summary_RAM_group_parameters(),
xmu_twin_add_WeightMatrices(),
xmu_twin_check(),
xmu_twin_get_var_names(),
xmu_twin_make_def_means_mats_and_alg(),
xmu_twin_upgrade_selDvs2SelVars(),
xmu_update_covar()
Examples
## Not run:
library(mlbench)
data(BostonHousing2)
BostonHousing2$log_crim = log2(BostonHousing2$crim)
BostonHousing2$nox = BostonHousing2$nox*100
m2 = umxRAM(data = BostonHousing2, "#crime_model
cmedv ~ log_crim + b1*nox;
nox ~ a1*rad + a2*log_crim
i_1 := a1*b1
i_2 := a2*b1"
)
m3 = mxRun(mxModel(m1, mxAlgebra(name= "rtwo", rbind(i_1, i_2))))
m3 = mxRun(mxModel(m3, mxAlgebra(name= "ctwo", cbind(i_1, i_2))))
xmu_print_algebras(m3)
## End(Not run)
Convert an "A_r1c1"-style label to a bracket address.
Description
Takes a label like "A_r1c1" and returns "A[1,1]"
Usage
xmu_rclabel_2_bracket_address(label, dotprefix = "", suffix = "")
Arguments
label |
A umx style row col label |
dotprefix |
Dot address prefix for label (e.g., "ai" |
suffix |
e.g. "_std" default = "") |
Value
label e.g. "ai[1,1]"
References
See Also
Other xmu internal not for end user:
umxModel(),
umxRenameMatrix(),
umx_APA_pval(),
umx_fun_mean_sd(),
umx_get_bracket_addresses(),
umx_make(),
umx_standardize(),
umx_string_to_algebra(),
xmuHasSquareBrackets(),
xmuLabel_MATRIX_Model(),
xmuLabel_Matrix(),
xmuLabel_RAM_Model(),
xmuMI(),
xmuMakeDeviationThresholdsMatrices(),
xmuMakeOneHeadedPathsFromPathList(),
xmuMakeTwoHeadedPathsFromPathList(),
xmuMaxLevels(),
xmuMinLevels(),
xmuPropagateLabels(),
xmuRAM2Ordinal(),
xmuTwinSuper_Continuous(),
xmuTwinSuper_NoBinary(),
xmuTwinUpgradeMeansToCovariateModel(),
xmu_CI_merge(),
xmu_CI_stash(),
xmu_DF_to_mxData_TypeCov(),
xmu_PadAndPruneForDefVars(),
xmu_bracket_address2rclabel(),
xmu_cell_is_on(),
xmu_check_levels_identical(),
xmu_check_needs_means(),
xmu_check_variance(),
xmu_clean_label(),
xmu_data_missing(),
xmu_data_swap_a_block(),
xmu_describe_data_WLS(),
xmu_dot_make_paths(),
xmu_dot_make_residuals(),
xmu_dot_maker(),
xmu_dot_move_ranks(),
xmu_dot_rank_str(),
xmu_extract_column(),
xmu_get_CI(),
xmu_lavaan_process_group(),
xmu_make_TwinSuperModel(),
xmu_make_bin_cont_pair_data(),
xmu_make_mxData(),
xmu_match.arg(),
xmu_name_from_lavaan_str(),
xmu_path2twin(),
xmu_path_regex(),
xmu_print_algebras(),
xmu_relevel_factors(),
xmu_safe_run_summary(),
xmu_set_sep_from_suffix(),
xmu_show_fit_or_comparison(),
xmu_simplex_corner(),
xmu_standardize_ACE(),
xmu_standardize_ACEcov(),
xmu_standardize_ACEv(),
xmu_standardize_CP(),
xmu_standardize_IP(),
xmu_standardize_RAM(),
xmu_standardize_SexLim(),
xmu_standardize_Simplex(),
xmu_start_value_list(),
xmu_starts(),
xmu_summary_RAM_group_parameters(),
xmu_twin_add_WeightMatrices(),
xmu_twin_check(),
xmu_twin_get_var_names(),
xmu_twin_make_def_means_mats_and_alg(),
xmu_twin_upgrade_selDvs2SelVars(),
xmu_update_covar()
Examples
xmu_rclabel_2_bracket_address(label = "A_r1c1") #A[1,1]
xmu_rclabel_2_bracket_address(label = "A_r10c1")
xmu_rclabel_2_bracket_address(label = "A_r1c1", dotprefix = "model.top")
xmu_rclabel_2_bracket_address("A_r1c1", suffix= "_std")
xmu_rclabel_2_bracket_address("A_r1c1", dotprefix="myModel", suffix="_std")
Relabel Factor Columns in a Data Frame
Description
This function modifies the levels of specified factor columns in a data.frame where the specified factor columns have potentially collapsed levels based on the criteria provided.
Levels that make up less than a specified proportion of total observations are collapsed into the previous level, providing that a minimum number of levels remains.
The levels of the remaining factor columns are synchronized with the updated levels of the first specified column. Variables named in 'cols' must be factors. Note too that prop uses e.g., .1 to stand for 10 percent.
Usage
xmu_relevel_factors(df, cols, prop = 0.1, min = 8)
Arguments
df |
A data frame containing the factor columns to be modified. |
cols |
A character vector specifying the names of the factor columns to relabel. |
prop |
A numeric value indicating the minimum proportion of observations for a level (default = .1) |
min |
Integer bounding the minimum remaining number of levels (Default 8). |
Value
data.frame with the same structure as the input
See Also
Other xmu internal not for end user:
umxModel(),
umxRenameMatrix(),
umx_APA_pval(),
umx_fun_mean_sd(),
umx_get_bracket_addresses(),
umx_make(),
umx_standardize(),
umx_string_to_algebra(),
xmuHasSquareBrackets(),
xmuLabel_MATRIX_Model(),
xmuLabel_Matrix(),
xmuLabel_RAM_Model(),
xmuMI(),
xmuMakeDeviationThresholdsMatrices(),
xmuMakeOneHeadedPathsFromPathList(),
xmuMakeTwoHeadedPathsFromPathList(),
xmuMaxLevels(),
xmuMinLevels(),
xmuPropagateLabels(),
xmuRAM2Ordinal(),
xmuTwinSuper_Continuous(),
xmuTwinSuper_NoBinary(),
xmuTwinUpgradeMeansToCovariateModel(),
xmu_CI_merge(),
xmu_CI_stash(),
xmu_DF_to_mxData_TypeCov(),
xmu_PadAndPruneForDefVars(),
xmu_bracket_address2rclabel(),
xmu_cell_is_on(),
xmu_check_levels_identical(),
xmu_check_needs_means(),
xmu_check_variance(),
xmu_clean_label(),
xmu_data_missing(),
xmu_data_swap_a_block(),
xmu_describe_data_WLS(),
xmu_dot_make_paths(),
xmu_dot_make_residuals(),
xmu_dot_maker(),
xmu_dot_move_ranks(),
xmu_dot_rank_str(),
xmu_extract_column(),
xmu_get_CI(),
xmu_lavaan_process_group(),
xmu_make_TwinSuperModel(),
xmu_make_bin_cont_pair_data(),
xmu_make_mxData(),
xmu_match.arg(),
xmu_name_from_lavaan_str(),
xmu_path2twin(),
xmu_path_regex(),
xmu_print_algebras(),
xmu_rclabel_2_bracket_address(),
xmu_safe_run_summary(),
xmu_set_sep_from_suffix(),
xmu_show_fit_or_comparison(),
xmu_simplex_corner(),
xmu_standardize_ACE(),
xmu_standardize_ACEcov(),
xmu_standardize_ACEv(),
xmu_standardize_CP(),
xmu_standardize_IP(),
xmu_standardize_RAM(),
xmu_standardize_SexLim(),
xmu_standardize_Simplex(),
xmu_start_value_list(),
xmu_starts(),
xmu_summary_RAM_group_parameters(),
xmu_twin_add_WeightMatrices(),
xmu_twin_check(),
xmu_twin_get_var_names(),
xmu_twin_make_def_means_mats_and_alg(),
xmu_twin_upgrade_selDvs2SelVars(),
xmu_update_covar()
Examples
df = data.frame(
group = factor(c("A", "B", "B", "C", "D", "E", "E", "E")),
score = c(10, 15, 15, 20, 25, 30, 30, 30)
)
# Relabel factor columns
df_releveled = xmu_relevel_factors(df, cols = c("group"), prop = 0.2, min=2)
df_releveled
Safely run and summarize a model
Description
The main benefit is that it returns the model, even if it can't be run.
The function will run the model if requested, wrapped in tryCatch() to avoid throwing an error.
If summary = TRUE then umxSummary() is requested (again, wrapped in try).
note: If autoRun is logical, then it over-rides summary to match autoRun. This is useful for easy use umxRAM() and twin models.
Usage
xmu_safe_run_summary(
model1,
model2 = NULL,
autoRun = TRUE,
tryHard = c("no", "yes", "ordinal", "search"),
summary = !umx_set_silent(silent = TRUE),
std = "default",
comparison = TRUE,
digits = 3,
intervals = FALSE,
returning = c("model", "summary"),
refModels = NULL
)
Arguments
model1 |
The model to attempt to run and summarize. |
model2 |
Optional second model to compare with model1. |
autoRun |
Whether to run or not (default = TRUE) Options are FALSE and "if needed". |
tryHard |
Default ('no') uses normal mxRun. "yes" uses mxTryHard. Other options: "ordinal", "search" |
summary |
Whether to print model summary (default = autoRun). |
std |
What to print in summary. "default" = the object's summary default. FALSE = raw, TRUE = standardize, NULL = omit parameter table. |
comparison |
Toggle to allow not making comparison, even if second model is provided (more flexible in programming). |
digits |
Rounding precision in tables and plots |
intervals |
whether to run intervals or not (default FALSE) |
returning |
What to return (default, the run model) |
refModels |
whether to run refModels or not (default NULL) |
Value
See Also
Other xmu internal not for end user:
umxModel(),
umxRenameMatrix(),
umx_APA_pval(),
umx_fun_mean_sd(),
umx_get_bracket_addresses(),
umx_make(),
umx_standardize(),
umx_string_to_algebra(),
xmuHasSquareBrackets(),
xmuLabel_MATRIX_Model(),
xmuLabel_Matrix(),
xmuLabel_RAM_Model(),
xmuMI(),
xmuMakeDeviationThresholdsMatrices(),
xmuMakeOneHeadedPathsFromPathList(),
xmuMakeTwoHeadedPathsFromPathList(),
xmuMaxLevels(),
xmuMinLevels(),
xmuPropagateLabels(),
xmuRAM2Ordinal(),
xmuTwinSuper_Continuous(),
xmuTwinSuper_NoBinary(),
xmuTwinUpgradeMeansToCovariateModel(),
xmu_CI_merge(),
xmu_CI_stash(),
xmu_DF_to_mxData_TypeCov(),
xmu_PadAndPruneForDefVars(),
xmu_bracket_address2rclabel(),
xmu_cell_is_on(),
xmu_check_levels_identical(),
xmu_check_needs_means(),
xmu_check_variance(),
xmu_clean_label(),
xmu_data_missing(),
xmu_data_swap_a_block(),
xmu_describe_data_WLS(),
xmu_dot_make_paths(),
xmu_dot_make_residuals(),
xmu_dot_maker(),
xmu_dot_move_ranks(),
xmu_dot_rank_str(),
xmu_extract_column(),
xmu_get_CI(),
xmu_lavaan_process_group(),
xmu_make_TwinSuperModel(),
xmu_make_bin_cont_pair_data(),
xmu_make_mxData(),
xmu_match.arg(),
xmu_name_from_lavaan_str(),
xmu_path2twin(),
xmu_path_regex(),
xmu_print_algebras(),
xmu_rclabel_2_bracket_address(),
xmu_relevel_factors(),
xmu_set_sep_from_suffix(),
xmu_show_fit_or_comparison(),
xmu_simplex_corner(),
xmu_standardize_ACE(),
xmu_standardize_ACEcov(),
xmu_standardize_ACEv(),
xmu_standardize_CP(),
xmu_standardize_IP(),
xmu_standardize_RAM(),
xmu_standardize_SexLim(),
xmu_standardize_Simplex(),
xmu_start_value_list(),
xmu_starts(),
xmu_summary_RAM_group_parameters(),
xmu_twin_add_WeightMatrices(),
xmu_twin_check(),
xmu_twin_get_var_names(),
xmu_twin_make_def_means_mats_and_alg(),
xmu_twin_upgrade_selDvs2SelVars(),
xmu_update_covar()
Examples
## Not run:
tmp = mtcars
tmp$disp = tmp$disp/100
m1 = umxRAM("tim", data = tmp,
umxPath(c("wt", "disp"), to = "mpg"),
umxPath("wt", with = "disp"),
umxPath(v.m. = c("wt", "disp", "mpg"))
)
m2 = umxModify(m1, "wt_to_mpg")
# Summary ignored if run is false
xmu_safe_run_summary(m1, autoRun = FALSE, summary = TRUE)
# Run, no summary
xmu_safe_run_summary(m1, autoRun = TRUE, summary = FALSE)
# Default summary is just fit string
xmu_safe_run_summary(m1, autoRun = TRUE, summary = TRUE)
# Show std parameters
xmu_safe_run_summary(m1, autoRun = TRUE, summary = TRUE, std = TRUE)
# Run + Summary + comparison
xmu_safe_run_summary(m1, m2, autoRun = TRUE, summary = TRUE, intervals = TRUE)
# Run + Summary + no comparison
xmu_safe_run_summary(m1, m2, autoRun = TRUE, summary = TRUE, std = TRUE, comparison= FALSE)
## End(Not run)
Just a helper to cope with deprecated suffix lying around.
Description
Returns either suffix or sep, with a deprecation warning if suffix is set.
Usage
xmu_set_sep_from_suffix(sep, suffix)
Arguments
sep |
The separator (if suffix != 'deprecated', then this is returned). |
suffix |
The suffix, defaults to 'deprecated'. |
Value
- sep
See Also
Other xmu internal not for end user:
umxModel(),
umxRenameMatrix(),
umx_APA_pval(),
umx_fun_mean_sd(),
umx_get_bracket_addresses(),
umx_make(),
umx_standardize(),
umx_string_to_algebra(),
xmuHasSquareBrackets(),
xmuLabel_MATRIX_Model(),
xmuLabel_Matrix(),
xmuLabel_RAM_Model(),
xmuMI(),
xmuMakeDeviationThresholdsMatrices(),
xmuMakeOneHeadedPathsFromPathList(),
xmuMakeTwoHeadedPathsFromPathList(),
xmuMaxLevels(),
xmuMinLevels(),
xmuPropagateLabels(),
xmuRAM2Ordinal(),
xmuTwinSuper_Continuous(),
xmuTwinSuper_NoBinary(),
xmuTwinUpgradeMeansToCovariateModel(),
xmu_CI_merge(),
xmu_CI_stash(),
xmu_DF_to_mxData_TypeCov(),
xmu_PadAndPruneForDefVars(),
xmu_bracket_address2rclabel(),
xmu_cell_is_on(),
xmu_check_levels_identical(),
xmu_check_needs_means(),
xmu_check_variance(),
xmu_clean_label(),
xmu_data_missing(),
xmu_data_swap_a_block(),
xmu_describe_data_WLS(),
xmu_dot_make_paths(),
xmu_dot_make_residuals(),
xmu_dot_maker(),
xmu_dot_move_ranks(),
xmu_dot_rank_str(),
xmu_extract_column(),
xmu_get_CI(),
xmu_lavaan_process_group(),
xmu_make_TwinSuperModel(),
xmu_make_bin_cont_pair_data(),
xmu_make_mxData(),
xmu_match.arg(),
xmu_name_from_lavaan_str(),
xmu_path2twin(),
xmu_path_regex(),
xmu_print_algebras(),
xmu_rclabel_2_bracket_address(),
xmu_relevel_factors(),
xmu_safe_run_summary(),
xmu_show_fit_or_comparison(),
xmu_simplex_corner(),
xmu_standardize_ACE(),
xmu_standardize_ACEcov(),
xmu_standardize_ACEv(),
xmu_standardize_CP(),
xmu_standardize_IP(),
xmu_standardize_RAM(),
xmu_standardize_SexLim(),
xmu_standardize_Simplex(),
xmu_start_value_list(),
xmu_starts(),
xmu_summary_RAM_group_parameters(),
xmu_twin_add_WeightMatrices(),
xmu_twin_check(),
xmu_twin_get_var_names(),
xmu_twin_make_def_means_mats_and_alg(),
xmu_twin_upgrade_selDvs2SelVars(),
xmu_update_covar()
Examples
xmu_set_sep_from_suffix(sep = "_T", suffix = "deprecated")
Show model logLik of model or print comparison table
Description
Just a helper to show the logLik of a model or print a comparison table.
Usage
xmu_show_fit_or_comparison(model, comparison = NULL, digits = 2)
Arguments
model |
an |
comparison |
If not NULL, used as comparison model |
digits |
(default = 2) |
Value
None
See Also
Other xmu internal not for end user:
umxModel(),
umxRenameMatrix(),
umx_APA_pval(),
umx_fun_mean_sd(),
umx_get_bracket_addresses(),
umx_make(),
umx_standardize(),
umx_string_to_algebra(),
xmuHasSquareBrackets(),
xmuLabel_MATRIX_Model(),
xmuLabel_Matrix(),
xmuLabel_RAM_Model(),
xmuMI(),
xmuMakeDeviationThresholdsMatrices(),
xmuMakeOneHeadedPathsFromPathList(),
xmuMakeTwoHeadedPathsFromPathList(),
xmuMaxLevels(),
xmuMinLevels(),
xmuPropagateLabels(),
xmuRAM2Ordinal(),
xmuTwinSuper_Continuous(),
xmuTwinSuper_NoBinary(),
xmuTwinUpgradeMeansToCovariateModel(),
xmu_CI_merge(),
xmu_CI_stash(),
xmu_DF_to_mxData_TypeCov(),
xmu_PadAndPruneForDefVars(),
xmu_bracket_address2rclabel(),
xmu_cell_is_on(),
xmu_check_levels_identical(),
xmu_check_needs_means(),
xmu_check_variance(),
xmu_clean_label(),
xmu_data_missing(),
xmu_data_swap_a_block(),
xmu_describe_data_WLS(),
xmu_dot_make_paths(),
xmu_dot_make_residuals(),
xmu_dot_maker(),
xmu_dot_move_ranks(),
xmu_dot_rank_str(),
xmu_extract_column(),
xmu_get_CI(),
xmu_lavaan_process_group(),
xmu_make_TwinSuperModel(),
xmu_make_bin_cont_pair_data(),
xmu_make_mxData(),
xmu_match.arg(),
xmu_name_from_lavaan_str(),
xmu_path2twin(),
xmu_path_regex(),
xmu_print_algebras(),
xmu_rclabel_2_bracket_address(),
xmu_relevel_factors(),
xmu_safe_run_summary(),
xmu_set_sep_from_suffix(),
xmu_simplex_corner(),
xmu_standardize_ACE(),
xmu_standardize_ACEcov(),
xmu_standardize_ACEv(),
xmu_standardize_CP(),
xmu_standardize_IP(),
xmu_standardize_RAM(),
xmu_standardize_SexLim(),
xmu_standardize_Simplex(),
xmu_start_value_list(),
xmu_starts(),
xmu_summary_RAM_group_parameters(),
xmu_twin_add_WeightMatrices(),
xmu_twin_check(),
xmu_twin_get_var_names(),
xmu_twin_make_def_means_mats_and_alg(),
xmu_twin_upgrade_selDvs2SelVars(),
xmu_update_covar()
Examples
## Not run:
xmu_show_fit_or_comparison(model, comparison, digits=3)
## End(Not run)
Internal function to help building simplex models
Description
internal function to help building simplex models is a function which
Usage
xmu_simplex_corner(x, start = 0.9)
Arguments
x |
size of matrix, or an |
start |
a default start value for the freed items. |
Value
See Also
Other xmu internal not for end user:
umxModel(),
umxRenameMatrix(),
umx_APA_pval(),
umx_fun_mean_sd(),
umx_get_bracket_addresses(),
umx_make(),
umx_standardize(),
umx_string_to_algebra(),
xmuHasSquareBrackets(),
xmuLabel_MATRIX_Model(),
xmuLabel_Matrix(),
xmuLabel_RAM_Model(),
xmuMI(),
xmuMakeDeviationThresholdsMatrices(),
xmuMakeOneHeadedPathsFromPathList(),
xmuMakeTwoHeadedPathsFromPathList(),
xmuMaxLevels(),
xmuMinLevels(),
xmuPropagateLabels(),
xmuRAM2Ordinal(),
xmuTwinSuper_Continuous(),
xmuTwinSuper_NoBinary(),
xmuTwinUpgradeMeansToCovariateModel(),
xmu_CI_merge(),
xmu_CI_stash(),
xmu_DF_to_mxData_TypeCov(),
xmu_PadAndPruneForDefVars(),
xmu_bracket_address2rclabel(),
xmu_cell_is_on(),
xmu_check_levels_identical(),
xmu_check_needs_means(),
xmu_check_variance(),
xmu_clean_label(),
xmu_data_missing(),
xmu_data_swap_a_block(),
xmu_describe_data_WLS(),
xmu_dot_make_paths(),
xmu_dot_make_residuals(),
xmu_dot_maker(),
xmu_dot_move_ranks(),
xmu_dot_rank_str(),
xmu_extract_column(),
xmu_get_CI(),
xmu_lavaan_process_group(),
xmu_make_TwinSuperModel(),
xmu_make_bin_cont_pair_data(),
xmu_make_mxData(),
xmu_match.arg(),
xmu_name_from_lavaan_str(),
xmu_path2twin(),
xmu_path_regex(),
xmu_print_algebras(),
xmu_rclabel_2_bracket_address(),
xmu_relevel_factors(),
xmu_safe_run_summary(),
xmu_set_sep_from_suffix(),
xmu_show_fit_or_comparison(),
xmu_standardize_ACE(),
xmu_standardize_ACEcov(),
xmu_standardize_ACEv(),
xmu_standardize_CP(),
xmu_standardize_IP(),
xmu_standardize_RAM(),
xmu_standardize_SexLim(),
xmu_standardize_Simplex(),
xmu_start_value_list(),
xmu_starts(),
xmu_summary_RAM_group_parameters(),
xmu_twin_add_WeightMatrices(),
xmu_twin_check(),
xmu_twin_get_var_names(),
xmu_twin_make_def_means_mats_and_alg(),
xmu_twin_upgrade_selDvs2SelVars(),
xmu_update_covar()
Examples
x = umxMatrix('test', 'Full', nrow = 4, ncol = 4)
xmu_simplex_corner(x, start = .9)
# See how we have a diag free, but offset 1-down?
umx_print( xmu_simplex_corner(x, start = .9)$values, zero=".")
xmu_standardize_ACE
Description
Standardize an ACE model BUT you probably want umx_standardize().
Usage
xmu_standardize_ACE(model, ...)
Arguments
model |
an |
... |
Other options |
Value
Standardized ACE
umxACE()model
References
See Also
Other xmu internal not for end user:
umxModel(),
umxRenameMatrix(),
umx_APA_pval(),
umx_fun_mean_sd(),
umx_get_bracket_addresses(),
umx_make(),
umx_standardize(),
umx_string_to_algebra(),
xmuHasSquareBrackets(),
xmuLabel_MATRIX_Model(),
xmuLabel_Matrix(),
xmuLabel_RAM_Model(),
xmuMI(),
xmuMakeDeviationThresholdsMatrices(),
xmuMakeOneHeadedPathsFromPathList(),
xmuMakeTwoHeadedPathsFromPathList(),
xmuMaxLevels(),
xmuMinLevels(),
xmuPropagateLabels(),
xmuRAM2Ordinal(),
xmuTwinSuper_Continuous(),
xmuTwinSuper_NoBinary(),
xmuTwinUpgradeMeansToCovariateModel(),
xmu_CI_merge(),
xmu_CI_stash(),
xmu_DF_to_mxData_TypeCov(),
xmu_PadAndPruneForDefVars(),
xmu_bracket_address2rclabel(),
xmu_cell_is_on(),
xmu_check_levels_identical(),
xmu_check_needs_means(),
xmu_check_variance(),
xmu_clean_label(),
xmu_data_missing(),
xmu_data_swap_a_block(),
xmu_describe_data_WLS(),
xmu_dot_make_paths(),
xmu_dot_make_residuals(),
xmu_dot_maker(),
xmu_dot_move_ranks(),
xmu_dot_rank_str(),
xmu_extract_column(),
xmu_get_CI(),
xmu_lavaan_process_group(),
xmu_make_TwinSuperModel(),
xmu_make_bin_cont_pair_data(),
xmu_make_mxData(),
xmu_match.arg(),
xmu_name_from_lavaan_str(),
xmu_path2twin(),
xmu_path_regex(),
xmu_print_algebras(),
xmu_rclabel_2_bracket_address(),
xmu_relevel_factors(),
xmu_safe_run_summary(),
xmu_set_sep_from_suffix(),
xmu_show_fit_or_comparison(),
xmu_simplex_corner(),
xmu_standardize_ACEcov(),
xmu_standardize_ACEv(),
xmu_standardize_CP(),
xmu_standardize_IP(),
xmu_standardize_RAM(),
xmu_standardize_SexLim(),
xmu_standardize_Simplex(),
xmu_start_value_list(),
xmu_starts(),
xmu_summary_RAM_group_parameters(),
xmu_twin_add_WeightMatrices(),
xmu_twin_check(),
xmu_twin_get_var_names(),
xmu_twin_make_def_means_mats_and_alg(),
xmu_twin_upgrade_selDvs2SelVars(),
xmu_update_covar()
Examples
## Not run:
require(umx)
data(twinData)
selDVs = c("bmi1", "bmi2")
mzData = twinData[twinData$zygosity %in% "MZFF", selDVs]
dzData = twinData[twinData$zygosity %in% "DZFF", selDVs]
m1 = umxACE(selDVs = selDVs, dzData = dzData, mzData = mzData)
std = xmu_standardize_ACE(m1)
## End(Not run)
xmu_standardize_ACEcov
Description
Standardize an ACE model with covariates
Usage
xmu_standardize_ACEcov(model, ...)
Arguments
model |
an |
... |
Other options |
Value
Standardized
umxACEcov()model
References
See Also
Other xmu internal not for end user:
umxModel(),
umxRenameMatrix(),
umx_APA_pval(),
umx_fun_mean_sd(),
umx_get_bracket_addresses(),
umx_make(),
umx_standardize(),
umx_string_to_algebra(),
xmuHasSquareBrackets(),
xmuLabel_MATRIX_Model(),
xmuLabel_Matrix(),
xmuLabel_RAM_Model(),
xmuMI(),
xmuMakeDeviationThresholdsMatrices(),
xmuMakeOneHeadedPathsFromPathList(),
xmuMakeTwoHeadedPathsFromPathList(),
xmuMaxLevels(),
xmuMinLevels(),
xmuPropagateLabels(),
xmuRAM2Ordinal(),
xmuTwinSuper_Continuous(),
xmuTwinSuper_NoBinary(),
xmuTwinUpgradeMeansToCovariateModel(),
xmu_CI_merge(),
xmu_CI_stash(),
xmu_DF_to_mxData_TypeCov(),
xmu_PadAndPruneForDefVars(),
xmu_bracket_address2rclabel(),
xmu_cell_is_on(),
xmu_check_levels_identical(),
xmu_check_needs_means(),
xmu_check_variance(),
xmu_clean_label(),
xmu_data_missing(),
xmu_data_swap_a_block(),
xmu_describe_data_WLS(),
xmu_dot_make_paths(),
xmu_dot_make_residuals(),
xmu_dot_maker(),
xmu_dot_move_ranks(),
xmu_dot_rank_str(),
xmu_extract_column(),
xmu_get_CI(),
xmu_lavaan_process_group(),
xmu_make_TwinSuperModel(),
xmu_make_bin_cont_pair_data(),
xmu_make_mxData(),
xmu_match.arg(),
xmu_name_from_lavaan_str(),
xmu_path2twin(),
xmu_path_regex(),
xmu_print_algebras(),
xmu_rclabel_2_bracket_address(),
xmu_relevel_factors(),
xmu_safe_run_summary(),
xmu_set_sep_from_suffix(),
xmu_show_fit_or_comparison(),
xmu_simplex_corner(),
xmu_standardize_ACE(),
xmu_standardize_ACEv(),
xmu_standardize_CP(),
xmu_standardize_IP(),
xmu_standardize_RAM(),
xmu_standardize_SexLim(),
xmu_standardize_Simplex(),
xmu_start_value_list(),
xmu_starts(),
xmu_summary_RAM_group_parameters(),
xmu_twin_add_WeightMatrices(),
xmu_twin_check(),
xmu_twin_get_var_names(),
xmu_twin_make_def_means_mats_and_alg(),
xmu_twin_upgrade_selDvs2SelVars(),
xmu_update_covar()
Examples
## Not run:
require(umx)
data(twinData)
twinData$age1 = twinData$age2 = twinData$age
selDVs = c("bmi")
selCovs = c("ht") # silly example
selVars = umx_paste_names(c(selDVs, selCovs), sep = "", suffixes= 1:2)
mzData = subset(twinData, zyg == 1, selVars)[1:80, ]
dzData = subset(twinData, zyg == 3, selVars)[1:80, ]
m1 = umxACEcov(selDVs = selDVs, selCovs = selCovs, dzData = dzData, mzData = mzData,
sep = "", autoRun = TRUE)
fit = xmu_standardize_ACEcov(m1)
## End(Not run)
Standardize an ACE variance components model (ACEv)
Description
xmu_standardize_ACE allows umx_standardize to standardize an ACE variance components model.
Usage
xmu_standardize_ACEv(model, ...)
Arguments
model |
An |
... |
Other parameters. |
Value
A standardized
umxACEv()model.
References
See Also
Other xmu internal not for end user:
umxModel(),
umxRenameMatrix(),
umx_APA_pval(),
umx_fun_mean_sd(),
umx_get_bracket_addresses(),
umx_make(),
umx_standardize(),
umx_string_to_algebra(),
xmuHasSquareBrackets(),
xmuLabel_MATRIX_Model(),
xmuLabel_Matrix(),
xmuLabel_RAM_Model(),
xmuMI(),
xmuMakeDeviationThresholdsMatrices(),
xmuMakeOneHeadedPathsFromPathList(),
xmuMakeTwoHeadedPathsFromPathList(),
xmuMaxLevels(),
xmuMinLevels(),
xmuPropagateLabels(),
xmuRAM2Ordinal(),
xmuTwinSuper_Continuous(),
xmuTwinSuper_NoBinary(),
xmuTwinUpgradeMeansToCovariateModel(),
xmu_CI_merge(),
xmu_CI_stash(),
xmu_DF_to_mxData_TypeCov(),
xmu_PadAndPruneForDefVars(),
xmu_bracket_address2rclabel(),
xmu_cell_is_on(),
xmu_check_levels_identical(),
xmu_check_needs_means(),
xmu_check_variance(),
xmu_clean_label(),
xmu_data_missing(),
xmu_data_swap_a_block(),
xmu_describe_data_WLS(),
xmu_dot_make_paths(),
xmu_dot_make_residuals(),
xmu_dot_maker(),
xmu_dot_move_ranks(),
xmu_dot_rank_str(),
xmu_extract_column(),
xmu_get_CI(),
xmu_lavaan_process_group(),
xmu_make_TwinSuperModel(),
xmu_make_bin_cont_pair_data(),
xmu_make_mxData(),
xmu_match.arg(),
xmu_name_from_lavaan_str(),
xmu_path2twin(),
xmu_path_regex(),
xmu_print_algebras(),
xmu_rclabel_2_bracket_address(),
xmu_relevel_factors(),
xmu_safe_run_summary(),
xmu_set_sep_from_suffix(),
xmu_show_fit_or_comparison(),
xmu_simplex_corner(),
xmu_standardize_ACE(),
xmu_standardize_ACEcov(),
xmu_standardize_CP(),
xmu_standardize_IP(),
xmu_standardize_RAM(),
xmu_standardize_SexLim(),
xmu_standardize_Simplex(),
xmu_start_value_list(),
xmu_starts(),
xmu_summary_RAM_group_parameters(),
xmu_twin_add_WeightMatrices(),
xmu_twin_check(),
xmu_twin_get_var_names(),
xmu_twin_make_def_means_mats_and_alg(),
xmu_twin_upgrade_selDvs2SelVars(),
xmu_update_covar()
Examples
## Not run:
require(umx)
data(twinData)
mzData = twinData[twinData$zygosity %in% "MZFF",]
dzData = twinData[twinData$zygosity %in% "DZFF",]
m1 = umxACEv(selDVs = "bmi", sep="", dzData = dzData, mzData = mzData)
std = umx_standardize(m1)
## End(Not run)
Function to standardize a common pathway model
Description
You probably want umx_standardize(). This function simply inserts the standardized CP components into the ai ci ei and as cs es matrices
Usage
xmu_standardize_CP(model, ...)
Arguments
model |
an |
... |
Other options |
Value
standardized
umxCP()model
References
See Also
Other xmu internal not for end user:
umxModel(),
umxRenameMatrix(),
umx_APA_pval(),
umx_fun_mean_sd(),
umx_get_bracket_addresses(),
umx_make(),
umx_standardize(),
umx_string_to_algebra(),
xmuHasSquareBrackets(),
xmuLabel_MATRIX_Model(),
xmuLabel_Matrix(),
xmuLabel_RAM_Model(),
xmuMI(),
xmuMakeDeviationThresholdsMatrices(),
xmuMakeOneHeadedPathsFromPathList(),
xmuMakeTwoHeadedPathsFromPathList(),
xmuMaxLevels(),
xmuMinLevels(),
xmuPropagateLabels(),
xmuRAM2Ordinal(),
xmuTwinSuper_Continuous(),
xmuTwinSuper_NoBinary(),
xmuTwinUpgradeMeansToCovariateModel(),
xmu_CI_merge(),
xmu_CI_stash(),
xmu_DF_to_mxData_TypeCov(),
xmu_PadAndPruneForDefVars(),
xmu_bracket_address2rclabel(),
xmu_cell_is_on(),
xmu_check_levels_identical(),
xmu_check_needs_means(),
xmu_check_variance(),
xmu_clean_label(),
xmu_data_missing(),
xmu_data_swap_a_block(),
xmu_describe_data_WLS(),
xmu_dot_make_paths(),
xmu_dot_make_residuals(),
xmu_dot_maker(),
xmu_dot_move_ranks(),
xmu_dot_rank_str(),
xmu_extract_column(),
xmu_get_CI(),
xmu_lavaan_process_group(),
xmu_make_TwinSuperModel(),
xmu_make_bin_cont_pair_data(),
xmu_make_mxData(),
xmu_match.arg(),
xmu_name_from_lavaan_str(),
xmu_path2twin(),
xmu_path_regex(),
xmu_print_algebras(),
xmu_rclabel_2_bracket_address(),
xmu_relevel_factors(),
xmu_safe_run_summary(),
xmu_set_sep_from_suffix(),
xmu_show_fit_or_comparison(),
xmu_simplex_corner(),
xmu_standardize_ACE(),
xmu_standardize_ACEcov(),
xmu_standardize_ACEv(),
xmu_standardize_IP(),
xmu_standardize_RAM(),
xmu_standardize_SexLim(),
xmu_standardize_Simplex(),
xmu_start_value_list(),
xmu_starts(),
xmu_summary_RAM_group_parameters(),
xmu_twin_add_WeightMatrices(),
xmu_twin_check(),
xmu_twin_get_var_names(),
xmu_twin_make_def_means_mats_and_alg(),
xmu_twin_upgrade_selDvs2SelVars(),
xmu_update_covar()
Examples
## Not run:
selDVs = c("gff", "fc", "qol", "hap", "sat", "AD")
m1 = umxCP(selDVs = selDVs, nFac = 3, data=GFF, zyg="zyg_2grp")
m2 = xmu_standardize_CP(m1)
## End(Not run)
non-user: Standardize an IP model
Description
You probably want umx_standardize(). This function simply copies the standardized IP components into the ai ci ei and as cs es matrices
Usage
xmu_standardize_IP(model, ...)
Arguments
model |
an |
... |
Other options |
Value
standardized IP
umxIP()model
References
See Also
Other xmu internal not for end user:
umxModel(),
umxRenameMatrix(),
umx_APA_pval(),
umx_fun_mean_sd(),
umx_get_bracket_addresses(),
umx_make(),
umx_standardize(),
umx_string_to_algebra(),
xmuHasSquareBrackets(),
xmuLabel_MATRIX_Model(),
xmuLabel_Matrix(),
xmuLabel_RAM_Model(),
xmuMI(),
xmuMakeDeviationThresholdsMatrices(),
xmuMakeOneHeadedPathsFromPathList(),
xmuMakeTwoHeadedPathsFromPathList(),
xmuMaxLevels(),
xmuMinLevels(),
xmuPropagateLabels(),
xmuRAM2Ordinal(),
xmuTwinSuper_Continuous(),
xmuTwinSuper_NoBinary(),
xmuTwinUpgradeMeansToCovariateModel(),
xmu_CI_merge(),
xmu_CI_stash(),
xmu_DF_to_mxData_TypeCov(),
xmu_PadAndPruneForDefVars(),
xmu_bracket_address2rclabel(),
xmu_cell_is_on(),
xmu_check_levels_identical(),
xmu_check_needs_means(),
xmu_check_variance(),
xmu_clean_label(),
xmu_data_missing(),
xmu_data_swap_a_block(),
xmu_describe_data_WLS(),
xmu_dot_make_paths(),
xmu_dot_make_residuals(),
xmu_dot_maker(),
xmu_dot_move_ranks(),
xmu_dot_rank_str(),
xmu_extract_column(),
xmu_get_CI(),
xmu_lavaan_process_group(),
xmu_make_TwinSuperModel(),
xmu_make_bin_cont_pair_data(),
xmu_make_mxData(),
xmu_match.arg(),
xmu_name_from_lavaan_str(),
xmu_path2twin(),
xmu_path_regex(),
xmu_print_algebras(),
xmu_rclabel_2_bracket_address(),
xmu_relevel_factors(),
xmu_safe_run_summary(),
xmu_set_sep_from_suffix(),
xmu_show_fit_or_comparison(),
xmu_simplex_corner(),
xmu_standardize_ACE(),
xmu_standardize_ACEcov(),
xmu_standardize_ACEv(),
xmu_standardize_CP(),
xmu_standardize_RAM(),
xmu_standardize_SexLim(),
xmu_standardize_Simplex(),
xmu_start_value_list(),
xmu_starts(),
xmu_summary_RAM_group_parameters(),
xmu_twin_add_WeightMatrices(),
xmu_twin_check(),
xmu_twin_get_var_names(),
xmu_twin_make_def_means_mats_and_alg(),
xmu_twin_upgrade_selDvs2SelVars(),
xmu_update_covar()
Examples
## Not run:
model = xmu_standardize_IP(model)
## End(Not run)
Standardize a Structural Model (not for end users)
Description
You probably want umx_standardize(), not this.
Usage
xmu_standardize_RAM(model, ...)
Arguments
model |
The |
... |
Other options |
Details
xmu_standardize_RAM takes a RAM-style model, and returns standardized version.
References
See Also
Other xmu internal not for end user:
umxModel(),
umxRenameMatrix(),
umx_APA_pval(),
umx_fun_mean_sd(),
umx_get_bracket_addresses(),
umx_make(),
umx_standardize(),
umx_string_to_algebra(),
xmuHasSquareBrackets(),
xmuLabel_MATRIX_Model(),
xmuLabel_Matrix(),
xmuLabel_RAM_Model(),
xmuMI(),
xmuMakeDeviationThresholdsMatrices(),
xmuMakeOneHeadedPathsFromPathList(),
xmuMakeTwoHeadedPathsFromPathList(),
xmuMaxLevels(),
xmuMinLevels(),
xmuPropagateLabels(),
xmuRAM2Ordinal(),
xmuTwinSuper_Continuous(),
xmuTwinSuper_NoBinary(),
xmuTwinUpgradeMeansToCovariateModel(),
xmu_CI_merge(),
xmu_CI_stash(),
xmu_DF_to_mxData_TypeCov(),
xmu_PadAndPruneForDefVars(),
xmu_bracket_address2rclabel(),
xmu_cell_is_on(),
xmu_check_levels_identical(),
xmu_check_needs_means(),
xmu_check_variance(),
xmu_clean_label(),
xmu_data_missing(),
xmu_data_swap_a_block(),
xmu_describe_data_WLS(),
xmu_dot_make_paths(),
xmu_dot_make_residuals(),
xmu_dot_maker(),
xmu_dot_move_ranks(),
xmu_dot_rank_str(),
xmu_extract_column(),
xmu_get_CI(),
xmu_lavaan_process_group(),
xmu_make_TwinSuperModel(),
xmu_make_bin_cont_pair_data(),
xmu_make_mxData(),
xmu_match.arg(),
xmu_name_from_lavaan_str(),
xmu_path2twin(),
xmu_path_regex(),
xmu_print_algebras(),
xmu_rclabel_2_bracket_address(),
xmu_relevel_factors(),
xmu_safe_run_summary(),
xmu_set_sep_from_suffix(),
xmu_show_fit_or_comparison(),
xmu_simplex_corner(),
xmu_standardize_ACE(),
xmu_standardize_ACEcov(),
xmu_standardize_ACEv(),
xmu_standardize_CP(),
xmu_standardize_IP(),
xmu_standardize_SexLim(),
xmu_standardize_Simplex(),
xmu_start_value_list(),
xmu_starts(),
xmu_summary_RAM_group_parameters(),
xmu_twin_add_WeightMatrices(),
xmu_twin_check(),
xmu_twin_get_var_names(),
xmu_twin_make_def_means_mats_and_alg(),
xmu_twin_upgrade_selDvs2SelVars(),
xmu_update_covar()
Examples
## Not run:
require(umx)
data(demoOneFactor)
manifests = names(demoOneFactor)
m1 = umxRAM("std_ex", data = demoOneFactor, type = "cov",
umxPath("G", to = manifests),
umxPath(var = manifests),
umxPath(var = "G", fixedAt = 1.0)
)
m1 = xmu_standardize_RAM(m1)
m1 = umx_standardize(m1)
umxSummary(m1)
## End(Not run)
Standardize a SexLim model
Description
xmu_standardize_SexLim would move standardized Sexlim values into raw cells, but can't as these are algebras.
Usage
xmu_standardize_SexLim(model, ...)
Arguments
model |
an |
... |
Other options |
Value
standardized
umxSexLim()model
See Also
Other xmu internal not for end user:
umxModel(),
umxRenameMatrix(),
umx_APA_pval(),
umx_fun_mean_sd(),
umx_get_bracket_addresses(),
umx_make(),
umx_standardize(),
umx_string_to_algebra(),
xmuHasSquareBrackets(),
xmuLabel_MATRIX_Model(),
xmuLabel_Matrix(),
xmuLabel_RAM_Model(),
xmuMI(),
xmuMakeDeviationThresholdsMatrices(),
xmuMakeOneHeadedPathsFromPathList(),
xmuMakeTwoHeadedPathsFromPathList(),
xmuMaxLevels(),
xmuMinLevels(),
xmuPropagateLabels(),
xmuRAM2Ordinal(),
xmuTwinSuper_Continuous(),
xmuTwinSuper_NoBinary(),
xmuTwinUpgradeMeansToCovariateModel(),
xmu_CI_merge(),
xmu_CI_stash(),
xmu_DF_to_mxData_TypeCov(),
xmu_PadAndPruneForDefVars(),
xmu_bracket_address2rclabel(),
xmu_cell_is_on(),
xmu_check_levels_identical(),
xmu_check_needs_means(),
xmu_check_variance(),
xmu_clean_label(),
xmu_data_missing(),
xmu_data_swap_a_block(),
xmu_describe_data_WLS(),
xmu_dot_make_paths(),
xmu_dot_make_residuals(),
xmu_dot_maker(),
xmu_dot_move_ranks(),
xmu_dot_rank_str(),
xmu_extract_column(),
xmu_get_CI(),
xmu_lavaan_process_group(),
xmu_make_TwinSuperModel(),
xmu_make_bin_cont_pair_data(),
xmu_make_mxData(),
xmu_match.arg(),
xmu_name_from_lavaan_str(),
xmu_path2twin(),
xmu_path_regex(),
xmu_print_algebras(),
xmu_rclabel_2_bracket_address(),
xmu_relevel_factors(),
xmu_safe_run_summary(),
xmu_set_sep_from_suffix(),
xmu_show_fit_or_comparison(),
xmu_simplex_corner(),
xmu_standardize_ACE(),
xmu_standardize_ACEcov(),
xmu_standardize_ACEv(),
xmu_standardize_CP(),
xmu_standardize_IP(),
xmu_standardize_RAM(),
xmu_standardize_Simplex(),
xmu_start_value_list(),
xmu_starts(),
xmu_summary_RAM_group_parameters(),
xmu_twin_add_WeightMatrices(),
xmu_twin_check(),
xmu_twin_get_var_names(),
xmu_twin_make_def_means_mats_and_alg(),
xmu_twin_upgrade_selDvs2SelVars(),
xmu_update_covar()
Examples
## Not run:
model = xmu_standardize_SexLim(model)
## End(Not run)
Standardize a Simplex twin model
Description
xmu_standardize_Simplex
Usage
xmu_standardize_Simplex(model, ...)
Arguments
model |
an |
... |
Other options |
Value
Standardized Simplex
umxSimplex()model
References
See Also
Other xmu internal not for end user:
umxModel(),
umxRenameMatrix(),
umx_APA_pval(),
umx_fun_mean_sd(),
umx_get_bracket_addresses(),
umx_make(),
umx_standardize(),
umx_string_to_algebra(),
xmuHasSquareBrackets(),
xmuLabel_MATRIX_Model(),
xmuLabel_Matrix(),
xmuLabel_RAM_Model(),
xmuMI(),
xmuMakeDeviationThresholdsMatrices(),
xmuMakeOneHeadedPathsFromPathList(),
xmuMakeTwoHeadedPathsFromPathList(),
xmuMaxLevels(),
xmuMinLevels(),
xmuPropagateLabels(),
xmuRAM2Ordinal(),
xmuTwinSuper_Continuous(),
xmuTwinSuper_NoBinary(),
xmuTwinUpgradeMeansToCovariateModel(),
xmu_CI_merge(),
xmu_CI_stash(),
xmu_DF_to_mxData_TypeCov(),
xmu_PadAndPruneForDefVars(),
xmu_bracket_address2rclabel(),
xmu_cell_is_on(),
xmu_check_levels_identical(),
xmu_check_needs_means(),
xmu_check_variance(),
xmu_clean_label(),
xmu_data_missing(),
xmu_data_swap_a_block(),
xmu_describe_data_WLS(),
xmu_dot_make_paths(),
xmu_dot_make_residuals(),
xmu_dot_maker(),
xmu_dot_move_ranks(),
xmu_dot_rank_str(),
xmu_extract_column(),
xmu_get_CI(),
xmu_lavaan_process_group(),
xmu_make_TwinSuperModel(),
xmu_make_bin_cont_pair_data(),
xmu_make_mxData(),
xmu_match.arg(),
xmu_name_from_lavaan_str(),
xmu_path2twin(),
xmu_path_regex(),
xmu_print_algebras(),
xmu_rclabel_2_bracket_address(),
xmu_relevel_factors(),
xmu_safe_run_summary(),
xmu_set_sep_from_suffix(),
xmu_show_fit_or_comparison(),
xmu_simplex_corner(),
xmu_standardize_ACE(),
xmu_standardize_ACEcov(),
xmu_standardize_ACEv(),
xmu_standardize_CP(),
xmu_standardize_IP(),
xmu_standardize_RAM(),
xmu_standardize_SexLim(),
xmu_start_value_list(),
xmu_starts(),
xmu_summary_RAM_group_parameters(),
xmu_twin_add_WeightMatrices(),
xmu_twin_check(),
xmu_twin_get_var_names(),
xmu_twin_make_def_means_mats_and_alg(),
xmu_twin_upgrade_selDvs2SelVars(),
xmu_update_covar()
Examples
## Not run:
data(iqdat)
mzData = subset(iqdat, zygosity == "MZ")
dzData = subset(iqdat, zygosity == "DZ")
m1 = umxSimplex(selDVs = paste0("IQ_age", 1:4), sep = "_T",
dzData = dzData, mzData = mzData, tryHard = "yes")
std = xmu_standardize_Simplex(m1)
## End(Not run)
Make start values
Description
Purpose: Create startvalues for OpenMx paths use cases umx:::xmuStart_value_list(1) xmuValues(1) # 1 value, varying around 1, with sd of .1 xmuValues(1, n=letters) # length(letters) start values, with mean 1 and sd .1 xmuValues(100, 15) # 1 start, with mean 100 and sd 15
Usage
xmu_start_value_list(mean = 1, sd = NA, n = 1)
Arguments
mean |
the mean start value |
sd |
the sd of values |
n |
how many to generate |
Value
start value list
See Also
Other xmu internal not for end user:
umxModel(),
umxRenameMatrix(),
umx_APA_pval(),
umx_fun_mean_sd(),
umx_get_bracket_addresses(),
umx_make(),
umx_standardize(),
umx_string_to_algebra(),
xmuHasSquareBrackets(),
xmuLabel_MATRIX_Model(),
xmuLabel_Matrix(),
xmuLabel_RAM_Model(),
xmuMI(),
xmuMakeDeviationThresholdsMatrices(),
xmuMakeOneHeadedPathsFromPathList(),
xmuMakeTwoHeadedPathsFromPathList(),
xmuMaxLevels(),
xmuMinLevels(),
xmuPropagateLabels(),
xmuRAM2Ordinal(),
xmuTwinSuper_Continuous(),
xmuTwinSuper_NoBinary(),
xmuTwinUpgradeMeansToCovariateModel(),
xmu_CI_merge(),
xmu_CI_stash(),
xmu_DF_to_mxData_TypeCov(),
xmu_PadAndPruneForDefVars(),
xmu_bracket_address2rclabel(),
xmu_cell_is_on(),
xmu_check_levels_identical(),
xmu_check_needs_means(),
xmu_check_variance(),
xmu_clean_label(),
xmu_data_missing(),
xmu_data_swap_a_block(),
xmu_describe_data_WLS(),
xmu_dot_make_paths(),
xmu_dot_make_residuals(),
xmu_dot_maker(),
xmu_dot_move_ranks(),
xmu_dot_rank_str(),
xmu_extract_column(),
xmu_get_CI(),
xmu_lavaan_process_group(),
xmu_make_TwinSuperModel(),
xmu_make_bin_cont_pair_data(),
xmu_make_mxData(),
xmu_match.arg(),
xmu_name_from_lavaan_str(),
xmu_path2twin(),
xmu_path_regex(),
xmu_print_algebras(),
xmu_rclabel_2_bracket_address(),
xmu_relevel_factors(),
xmu_safe_run_summary(),
xmu_set_sep_from_suffix(),
xmu_show_fit_or_comparison(),
xmu_simplex_corner(),
xmu_standardize_ACE(),
xmu_standardize_ACEcov(),
xmu_standardize_ACEv(),
xmu_standardize_CP(),
xmu_standardize_IP(),
xmu_standardize_RAM(),
xmu_standardize_SexLim(),
xmu_standardize_Simplex(),
xmu_starts(),
xmu_summary_RAM_group_parameters(),
xmu_twin_add_WeightMatrices(),
xmu_twin_check(),
xmu_twin_get_var_names(),
xmu_twin_make_def_means_mats_and_alg(),
xmu_twin_upgrade_selDvs2SelVars(),
xmu_update_covar()
Helper providing boilerplate start values for means and variance in twin models
Description
xmu_starts can handle several common/boilerplate situations in which means and variance start values
are used in twin models.
Usage
xmu_starts(
mzData,
dzData,
selVars = selVars,
sep = NULL,
equateMeans = NULL,
nSib,
varForm = c("Cholesky"),
SD = TRUE,
divideBy = 3
)
Arguments
mzData |
Data for MZ pairs. |
dzData |
Data for DZ pairs. |
selVars |
Variable names: If sep = NULL, then treated as full names for both sibs. |
sep |
All the variables full names. |
equateMeans |
(NULL) |
nSib |
How many subjects in a family. |
varForm |
currently just "Cholesky" style. |
SD |
= TRUE (FALSE = variance, not SD). |
divideBy |
= 3 (A,C,E) 1/3rd each. Use 1 to do this yourself post-hoc. |
Value
varStarts and meanStarts
See Also
Other xmu internal not for end user:
umxModel(),
umxRenameMatrix(),
umx_APA_pval(),
umx_fun_mean_sd(),
umx_get_bracket_addresses(),
umx_make(),
umx_standardize(),
umx_string_to_algebra(),
xmuHasSquareBrackets(),
xmuLabel_MATRIX_Model(),
xmuLabel_Matrix(),
xmuLabel_RAM_Model(),
xmuMI(),
xmuMakeDeviationThresholdsMatrices(),
xmuMakeOneHeadedPathsFromPathList(),
xmuMakeTwoHeadedPathsFromPathList(),
xmuMaxLevels(),
xmuMinLevels(),
xmuPropagateLabels(),
xmuRAM2Ordinal(),
xmuTwinSuper_Continuous(),
xmuTwinSuper_NoBinary(),
xmuTwinUpgradeMeansToCovariateModel(),
xmu_CI_merge(),
xmu_CI_stash(),
xmu_DF_to_mxData_TypeCov(),
xmu_PadAndPruneForDefVars(),
xmu_bracket_address2rclabel(),
xmu_cell_is_on(),
xmu_check_levels_identical(),
xmu_check_needs_means(),
xmu_check_variance(),
xmu_clean_label(),
xmu_data_missing(),
xmu_data_swap_a_block(),
xmu_describe_data_WLS(),
xmu_dot_make_paths(),
xmu_dot_make_residuals(),
xmu_dot_maker(),
xmu_dot_move_ranks(),
xmu_dot_rank_str(),
xmu_extract_column(),
xmu_get_CI(),
xmu_lavaan_process_group(),
xmu_make_TwinSuperModel(),
xmu_make_bin_cont_pair_data(),
xmu_make_mxData(),
xmu_match.arg(),
xmu_name_from_lavaan_str(),
xmu_path2twin(),
xmu_path_regex(),
xmu_print_algebras(),
xmu_rclabel_2_bracket_address(),
xmu_relevel_factors(),
xmu_safe_run_summary(),
xmu_set_sep_from_suffix(),
xmu_show_fit_or_comparison(),
xmu_simplex_corner(),
xmu_standardize_ACE(),
xmu_standardize_ACEcov(),
xmu_standardize_ACEv(),
xmu_standardize_CP(),
xmu_standardize_IP(),
xmu_standardize_RAM(),
xmu_standardize_SexLim(),
xmu_standardize_Simplex(),
xmu_start_value_list(),
xmu_summary_RAM_group_parameters(),
xmu_twin_add_WeightMatrices(),
xmu_twin_check(),
xmu_twin_get_var_names(),
xmu_twin_make_def_means_mats_and_alg(),
xmu_twin_upgrade_selDvs2SelVars(),
xmu_update_covar()
Examples
data(twinData)
selDVs = c("wt", "ht")
mzData = twinData[twinData$zygosity %in% "MZFF", ]
dzData = twinData[twinData$zygosity %in% "DZFF", ]
round(sqrt(var(dzData[,tvars(selDVs, "")], na.rm=TRUE)/3),3)
xmu_starts(mzData, dzData, selVars=selDVs, nSib= 2, sep="", equateMeans=TRUE, varForm="Cholesky")
# Variance instead of SD
round(var(dzData[,tvars(selDVs, "")], na.rm=TRUE)/3,3)
xmu_starts(mzData, dzData, selVars = selDVs, nSib = 2, sep= "",
equateMeans= TRUE, varForm= "Cholesky", SD= FALSE)
# one variable
xmu_starts(mzData, dzData, selVars= "wt", nSib = 2, sep="", equateMeans = TRUE)
# Ordinal/continuous mix
data(twinData)
twinData= umx_scale_wide_twin_data(data=twinData,varsToScale="wt",sep= "")
# Cut BMI column to form ordinal obesity variables
cuts = quantile(twinData[, "bmi1"], probs = c(.5, .8), na.rm = TRUE)
obLevels = c('normal', 'overweight', 'obese')
twinData$obese1= cut(twinData$bmi1,breaks=c(-Inf,cuts,Inf),labels=obLevels)
twinData$obese2= cut(twinData$bmi2,breaks=c(-Inf,cuts,Inf),labels=obLevels)
# Make the ordinal variables into mxFactors
ordDVs = c("obese1", "obese2")
twinData[, ordDVs] = umxFactor(twinData[, ordDVs])
mzData = twinData[twinData$zygosity %in% "MZFF",]
dzData = twinData[twinData$zygosity %in% "DZFF",]
xmu_starts(mzData, dzData, selVars = c("wt","obese"), sep= "",
nSib= 2, equateMeans = TRUE, SD= FALSE)
xmu_starts(mxData(mzData, type="raw"), mxData(mzData, type="raw"),
selVars = c("wt","obese"), sep= "", nSib= 2, equateMeans = TRUE, SD= FALSE)
# ==============
# = Three sibs =
# ==============
data(twinData)
twinData$wt3 = twinData$wt2
twinData$ht3 = twinData$ht2
selDVs = c("wt", "ht")
mzData = twinData[twinData$zygosity %in% "MZFF", ]
dzData = twinData[twinData$zygosity %in% "DZFF", ]
xmu_starts(mzData, dzData, selVars=selDVs, sep="", nSib=3, equateMeans=TRUE)
xmu_starts(mzData, dzData, selVars=selDVs, sep="", nSib=3, equateMeans=FALSE)
Order and group the parameters in a RAM summary
Description
Makes understanding complex model output easier by grouping parameters are type: residuals, latent variance, factor loading etc.
Usage
xmu_summary_RAM_group_parameters(
model,
paramTable,
means = FALSE,
residuals = FALSE
)
Arguments
model |
the model containing the parameters. |
paramTable |
The parameter table. |
means |
Whether to show the means (FALSE) |
residuals |
Whether to show the residuals (FALSE) |
Value
Sorted parameter table
See Also
Other xmu internal not for end user:
umxModel(),
umxRenameMatrix(),
umx_APA_pval(),
umx_fun_mean_sd(),
umx_get_bracket_addresses(),
umx_make(),
umx_standardize(),
umx_string_to_algebra(),
xmuHasSquareBrackets(),
xmuLabel_MATRIX_Model(),
xmuLabel_Matrix(),
xmuLabel_RAM_Model(),
xmuMI(),
xmuMakeDeviationThresholdsMatrices(),
xmuMakeOneHeadedPathsFromPathList(),
xmuMakeTwoHeadedPathsFromPathList(),
xmuMaxLevels(),
xmuMinLevels(),
xmuPropagateLabels(),
xmuRAM2Ordinal(),
xmuTwinSuper_Continuous(),
xmuTwinSuper_NoBinary(),
xmuTwinUpgradeMeansToCovariateModel(),
xmu_CI_merge(),
xmu_CI_stash(),
xmu_DF_to_mxData_TypeCov(),
xmu_PadAndPruneForDefVars(),
xmu_bracket_address2rclabel(),
xmu_cell_is_on(),
xmu_check_levels_identical(),
xmu_check_needs_means(),
xmu_check_variance(),
xmu_clean_label(),
xmu_data_missing(),
xmu_data_swap_a_block(),
xmu_describe_data_WLS(),
xmu_dot_make_paths(),
xmu_dot_make_residuals(),
xmu_dot_maker(),
xmu_dot_move_ranks(),
xmu_dot_rank_str(),
xmu_extract_column(),
xmu_get_CI(),
xmu_lavaan_process_group(),
xmu_make_TwinSuperModel(),
xmu_make_bin_cont_pair_data(),
xmu_make_mxData(),
xmu_match.arg(),
xmu_name_from_lavaan_str(),
xmu_path2twin(),
xmu_path_regex(),
xmu_print_algebras(),
xmu_rclabel_2_bracket_address(),
xmu_relevel_factors(),
xmu_safe_run_summary(),
xmu_set_sep_from_suffix(),
xmu_show_fit_or_comparison(),
xmu_simplex_corner(),
xmu_standardize_ACE(),
xmu_standardize_ACEcov(),
xmu_standardize_ACEv(),
xmu_standardize_CP(),
xmu_standardize_IP(),
xmu_standardize_RAM(),
xmu_standardize_SexLim(),
xmu_standardize_Simplex(),
xmu_start_value_list(),
xmu_starts(),
xmu_twin_add_WeightMatrices(),
xmu_twin_check(),
xmu_twin_get_var_names(),
xmu_twin_make_def_means_mats_and_alg(),
xmu_twin_upgrade_selDvs2SelVars(),
xmu_update_covar()
Examples
## Not run:
data(demoOneFactor)
manifests = names(demoOneFactor)
m1 = umxRAM("One Factor", data = demoOneFactor,
umxPath("G", to = manifests),
umxPath(v.m. = manifests),
umxPath(v1m0 = "G")
)
tmp = umxSummary(m1, means=FALSE, residuals = FALSE)
xmu_summary_RAM_group_parameters(m1, paramTable = tmp, means= FALSE, residuals= FALSE)
## End(Not run)
Add weight matrices to twin models.
Description
Add weight models (MZw, DZw) with matrices (e.g. mzWeightMatrix) to a twin model, and
update mxFitFunctionMultigroup. This yields a weighted model with vector objective.
To weight objective functions in OpenMx, you specify a container model that applies the weights m1 is the model with no weights, but with "vector = TRUE" option added to the FIML objective. This option makes FIML return individual likelihoods for each row of the data (rather than a single -2LL value for the model) You then optimize weighted versions of these likelihoods by building additional models containing weight data and an algebra that multiplies the likelihoods from the first model by the weight vector.
Usage
xmu_twin_add_WeightMatrices(model, mzWeights = NULL, dzWeights = NULL)
Arguments
model |
umx-style twin model |
mzWeights |
data for MZ weights matrix |
dzWeights |
data for DZ weights matrix |
Value
model
See Also
Other xmu internal not for end user:
umxModel(),
umxRenameMatrix(),
umx_APA_pval(),
umx_fun_mean_sd(),
umx_get_bracket_addresses(),
umx_make(),
umx_standardize(),
umx_string_to_algebra(),
xmuHasSquareBrackets(),
xmuLabel_MATRIX_Model(),
xmuLabel_Matrix(),
xmuLabel_RAM_Model(),
xmuMI(),
xmuMakeDeviationThresholdsMatrices(),
xmuMakeOneHeadedPathsFromPathList(),
xmuMakeTwoHeadedPathsFromPathList(),
xmuMaxLevels(),
xmuMinLevels(),
xmuPropagateLabels(),
xmuRAM2Ordinal(),
xmuTwinSuper_Continuous(),
xmuTwinSuper_NoBinary(),
xmuTwinUpgradeMeansToCovariateModel(),
xmu_CI_merge(),
xmu_CI_stash(),
xmu_DF_to_mxData_TypeCov(),
xmu_PadAndPruneForDefVars(),
xmu_bracket_address2rclabel(),
xmu_cell_is_on(),
xmu_check_levels_identical(),
xmu_check_needs_means(),
xmu_check_variance(),
xmu_clean_label(),
xmu_data_missing(),
xmu_data_swap_a_block(),
xmu_describe_data_WLS(),
xmu_dot_make_paths(),
xmu_dot_make_residuals(),
xmu_dot_maker(),
xmu_dot_move_ranks(),
xmu_dot_rank_str(),
xmu_extract_column(),
xmu_get_CI(),
xmu_lavaan_process_group(),
xmu_make_TwinSuperModel(),
xmu_make_bin_cont_pair_data(),
xmu_make_mxData(),
xmu_match.arg(),
xmu_name_from_lavaan_str(),
xmu_path2twin(),
xmu_path_regex(),
xmu_print_algebras(),
xmu_rclabel_2_bracket_address(),
xmu_relevel_factors(),
xmu_safe_run_summary(),
xmu_set_sep_from_suffix(),
xmu_show_fit_or_comparison(),
xmu_simplex_corner(),
xmu_standardize_ACE(),
xmu_standardize_ACEcov(),
xmu_standardize_ACEv(),
xmu_standardize_CP(),
xmu_standardize_IP(),
xmu_standardize_RAM(),
xmu_standardize_SexLim(),
xmu_standardize_Simplex(),
xmu_start_value_list(),
xmu_starts(),
xmu_summary_RAM_group_parameters(),
xmu_twin_check(),
xmu_twin_get_var_names(),
xmu_twin_make_def_means_mats_and_alg(),
xmu_twin_upgrade_selDvs2SelVars(),
xmu_update_covar()
Examples
tmp = umx_make_twin_data_nice(data=twinData, sep="", zygosity="zygosity", numbering= 1:2)
m1 = umxACE(selDVs = "wt", data = tmp, dzData = "DZFF", mzData = "MZFF", autoRun= FALSE)
m1$MZ$fitfunction$vector= TRUE
tmp = xmu_twin_add_WeightMatrices(m1,
mzWeights= rnorm(nrow(m1$MZ$data$observed)),
dzWeights= rnorm(nrow(m1$DZ$data$observed))
)
Check basic aspects of input for twin models.
Description
Check that DVs are in the data, that the data have rows, set the optimizer if requested.
Usage
xmu_twin_check(
selDVs,
dzData = dzData,
mzData = mzData,
sep = NULL,
enforceSep = TRUE,
nSib = 2,
numObsMZ = NULL,
numObsDZ = NULL,
optimizer = NULL
)
Arguments
selDVs |
Variables used in the data. |
dzData |
The DZ twin data. |
mzData |
The MZ twin data. |
sep |
Separator between base-name and numeric suffix when creating variable names, e.g. "_T" |
enforceSep |
Whether to require sep to be set, or just warn if it is not (Default = TRUE: enforce). |
nSib |
How many people per family? (Default = 2). |
numObsMZ |
set if data are not raw. |
numObsDZ |
set if data are not raw. |
optimizer |
Set by name (if you want to change it). |
Value
None
References
See Also
Other xmu internal not for end user:
umxModel(),
umxRenameMatrix(),
umx_APA_pval(),
umx_fun_mean_sd(),
umx_get_bracket_addresses(),
umx_make(),
umx_standardize(),
umx_string_to_algebra(),
xmuHasSquareBrackets(),
xmuLabel_MATRIX_Model(),
xmuLabel_Matrix(),
xmuLabel_RAM_Model(),
xmuMI(),
xmuMakeDeviationThresholdsMatrices(),
xmuMakeOneHeadedPathsFromPathList(),
xmuMakeTwoHeadedPathsFromPathList(),
xmuMaxLevels(),
xmuMinLevels(),
xmuPropagateLabels(),
xmuRAM2Ordinal(),
xmuTwinSuper_Continuous(),
xmuTwinSuper_NoBinary(),
xmuTwinUpgradeMeansToCovariateModel(),
xmu_CI_merge(),
xmu_CI_stash(),
xmu_DF_to_mxData_TypeCov(),
xmu_PadAndPruneForDefVars(),
xmu_bracket_address2rclabel(),
xmu_cell_is_on(),
xmu_check_levels_identical(),
xmu_check_needs_means(),
xmu_check_variance(),
xmu_clean_label(),
xmu_data_missing(),
xmu_data_swap_a_block(),
xmu_describe_data_WLS(),
xmu_dot_make_paths(),
xmu_dot_make_residuals(),
xmu_dot_maker(),
xmu_dot_move_ranks(),
xmu_dot_rank_str(),
xmu_extract_column(),
xmu_get_CI(),
xmu_lavaan_process_group(),
xmu_make_TwinSuperModel(),
xmu_make_bin_cont_pair_data(),
xmu_make_mxData(),
xmu_match.arg(),
xmu_name_from_lavaan_str(),
xmu_path2twin(),
xmu_path_regex(),
xmu_print_algebras(),
xmu_rclabel_2_bracket_address(),
xmu_relevel_factors(),
xmu_safe_run_summary(),
xmu_set_sep_from_suffix(),
xmu_show_fit_or_comparison(),
xmu_simplex_corner(),
xmu_standardize_ACE(),
xmu_standardize_ACEcov(),
xmu_standardize_ACEv(),
xmu_standardize_CP(),
xmu_standardize_IP(),
xmu_standardize_RAM(),
xmu_standardize_SexLim(),
xmu_standardize_Simplex(),
xmu_start_value_list(),
xmu_starts(),
xmu_summary_RAM_group_parameters(),
xmu_twin_add_WeightMatrices(),
xmu_twin_get_var_names(),
xmu_twin_make_def_means_mats_and_alg(),
xmu_twin_upgrade_selDvs2SelVars(),
xmu_update_covar()
Examples
library(umx)
data(twinData)
mzData = subset(twinData, zygosity == "MZFF")
dzData = subset(twinData, zygosity == "MZFF")
xmu_twin_check(selDVs = c("wt", "ht"), dzData = dzData, mzData = mzData,
sep = "", enforceSep = TRUE)
xmu_twin_check(selDVs = c("wt", "ht"), dzData = dzData, mzData = mzData,
sep = "", enforceSep = FALSE)
xmu_twin_check(selDVs = c("wt", "ht"), dzData = dzData, mzData = mzData,
sep = "", enforceSep = TRUE, nSib = 2, optimizer = NULL)
## Not run:
# TODO xmu_twin_check: move to a test file:
# 1. stop on no rows
xmu_twin_check("Generativity", twinData[NULL,], twinData[NULL,], sep="_T")
# Error in xmu_twin_check("Generativity", twinData[NULL, ], twinData[NULL, :
# Your DZ dataset has no rows!
# 2. Stop on a NULL sep = NULL IFF enforceSep = TRUE
xmu_twin_check(selDVs = c("wt", "ht"), dzData = dzData, mzData = mzData, enforceSep = TRUE)
# 3. stop on a factor with sep = NULL
## End(Not run)
Not for user: pull variable names from a twin model
Description
Barely useful, but justified perhaps by centralizing trimming the "_T1" off, and returning just twin 1.
Usage
xmu_twin_get_var_names(
model,
source = c("expCovMZ", "observed"),
trim = TRUE,
twinOneOnly = TRUE
)
Arguments
model |
A model to get the variables from |
source |
Whether to access the dimnames of the "expCovMZ" or the names of the "observed" data (will include covariates) |
trim |
Whether to trim the suffix (TRUE) |
twinOneOnly |
Whether to return on the names for twin 1 (i.e., unique names) |
Value
variable names from twin model
See Also
Other xmu internal not for end user:
umxModel(),
umxRenameMatrix(),
umx_APA_pval(),
umx_fun_mean_sd(),
umx_get_bracket_addresses(),
umx_make(),
umx_standardize(),
umx_string_to_algebra(),
xmuHasSquareBrackets(),
xmuLabel_MATRIX_Model(),
xmuLabel_Matrix(),
xmuLabel_RAM_Model(),
xmuMI(),
xmuMakeDeviationThresholdsMatrices(),
xmuMakeOneHeadedPathsFromPathList(),
xmuMakeTwoHeadedPathsFromPathList(),
xmuMaxLevels(),
xmuMinLevels(),
xmuPropagateLabels(),
xmuRAM2Ordinal(),
xmuTwinSuper_Continuous(),
xmuTwinSuper_NoBinary(),
xmuTwinUpgradeMeansToCovariateModel(),
xmu_CI_merge(),
xmu_CI_stash(),
xmu_DF_to_mxData_TypeCov(),
xmu_PadAndPruneForDefVars(),
xmu_bracket_address2rclabel(),
xmu_cell_is_on(),
xmu_check_levels_identical(),
xmu_check_needs_means(),
xmu_check_variance(),
xmu_clean_label(),
xmu_data_missing(),
xmu_data_swap_a_block(),
xmu_describe_data_WLS(),
xmu_dot_make_paths(),
xmu_dot_make_residuals(),
xmu_dot_maker(),
xmu_dot_move_ranks(),
xmu_dot_rank_str(),
xmu_extract_column(),
xmu_get_CI(),
xmu_lavaan_process_group(),
xmu_make_TwinSuperModel(),
xmu_make_bin_cont_pair_data(),
xmu_make_mxData(),
xmu_match.arg(),
xmu_name_from_lavaan_str(),
xmu_path2twin(),
xmu_path_regex(),
xmu_print_algebras(),
xmu_rclabel_2_bracket_address(),
xmu_relevel_factors(),
xmu_safe_run_summary(),
xmu_set_sep_from_suffix(),
xmu_show_fit_or_comparison(),
xmu_simplex_corner(),
xmu_standardize_ACE(),
xmu_standardize_ACEcov(),
xmu_standardize_ACEv(),
xmu_standardize_CP(),
xmu_standardize_IP(),
xmu_standardize_RAM(),
xmu_standardize_SexLim(),
xmu_standardize_Simplex(),
xmu_start_value_list(),
xmu_starts(),
xmu_summary_RAM_group_parameters(),
xmu_twin_add_WeightMatrices(),
xmu_twin_check(),
xmu_twin_make_def_means_mats_and_alg(),
xmu_twin_upgrade_selDvs2SelVars(),
xmu_update_covar()
Examples
## Not run:
data(twinData) # ?twinData from Australian twins.
twinData[, c("ht1", "ht2")] = twinData[, c("ht1", "ht2")] * 10
mzData = twinData[twinData$zygosity %in% "MZFF", ]
dzData = twinData[twinData$zygosity %in% "DZFF", ]
m1 = umxACE(selDVs= "ht", sep= "", dzData= dzData, mzData= mzData, autoRun= FALSE)
selVars = xmu_twin_get_var_names(m1, source = "expCovMZ", trim = TRUE, twinOneOnly = TRUE) # "ht"
umx_check(selVars == "ht")
xmu_twin_get_var_names(m1, source= "expCovMZ", trim= FALSE, twinOneOnly= FALSE) # "ht1" "ht2"
selVars = xmu_twin_get_var_names(m1, source= "observed", trim= TRUE, twinOneOnly= TRUE)# "ht"
nVar = length(selVars)
umx_check(nVar == 1)
## End(Not run)
Make the matrices and algebras for definition-based means models
Description
not-for-end-user helper for means in twin models. Returns matrices for each definition variable, and an algebra to compute means.
Usage
xmu_twin_make_def_means_mats_and_alg(baseCovs, fullVars, nSib, sep)
Arguments
baseCovs |
base names of the DVs, e.g. "age" |
fullVars |
full names of the DVs, e.g. "E_T1" |
nSib |
how many siblings - typically 2 |
sep |
in twin variable, i.e., "_T" |
Value
matrices and an algebra
See Also
Other xmu internal not for end user:
umxModel(),
umxRenameMatrix(),
umx_APA_pval(),
umx_fun_mean_sd(),
umx_get_bracket_addresses(),
umx_make(),
umx_standardize(),
umx_string_to_algebra(),
xmuHasSquareBrackets(),
xmuLabel_MATRIX_Model(),
xmuLabel_Matrix(),
xmuLabel_RAM_Model(),
xmuMI(),
xmuMakeDeviationThresholdsMatrices(),
xmuMakeOneHeadedPathsFromPathList(),
xmuMakeTwoHeadedPathsFromPathList(),
xmuMaxLevels(),
xmuMinLevels(),
xmuPropagateLabels(),
xmuRAM2Ordinal(),
xmuTwinSuper_Continuous(),
xmuTwinSuper_NoBinary(),
xmuTwinUpgradeMeansToCovariateModel(),
xmu_CI_merge(),
xmu_CI_stash(),
xmu_DF_to_mxData_TypeCov(),
xmu_PadAndPruneForDefVars(),
xmu_bracket_address2rclabel(),
xmu_cell_is_on(),
xmu_check_levels_identical(),
xmu_check_needs_means(),
xmu_check_variance(),
xmu_clean_label(),
xmu_data_missing(),
xmu_data_swap_a_block(),
xmu_describe_data_WLS(),
xmu_dot_make_paths(),
xmu_dot_make_residuals(),
xmu_dot_maker(),
xmu_dot_move_ranks(),
xmu_dot_rank_str(),
xmu_extract_column(),
xmu_get_CI(),
xmu_lavaan_process_group(),
xmu_make_TwinSuperModel(),
xmu_make_bin_cont_pair_data(),
xmu_make_mxData(),
xmu_match.arg(),
xmu_name_from_lavaan_str(),
xmu_path2twin(),
xmu_path_regex(),
xmu_print_algebras(),
xmu_rclabel_2_bracket_address(),
xmu_relevel_factors(),
xmu_safe_run_summary(),
xmu_set_sep_from_suffix(),
xmu_show_fit_or_comparison(),
xmu_simplex_corner(),
xmu_standardize_ACE(),
xmu_standardize_ACEcov(),
xmu_standardize_ACEv(),
xmu_standardize_CP(),
xmu_standardize_IP(),
xmu_standardize_RAM(),
xmu_standardize_SexLim(),
xmu_standardize_Simplex(),
xmu_start_value_list(),
xmu_starts(),
xmu_summary_RAM_group_parameters(),
xmu_twin_add_WeightMatrices(),
xmu_twin_check(),
xmu_twin_get_var_names(),
xmu_twin_upgrade_selDvs2SelVars(),
xmu_update_covar()
Examples
# xmu_twin_make_def_means_mats_and_alg(baseCovs= baseCovs,
# fullVars = fullVars, nSib = nSib, sep= sep)
Upgrade selDVs to selVars
Description
Just a helper to go from "wt" to "wt_T1" contingent on sep not being null
Usage
xmu_twin_upgrade_selDvs2SelVars(selDVs, sep, nSib)
Arguments
selDVs |
with wt or wt_T1 |
sep |
either "" etc., or NULL |
nSib |
wideness of data |
Value
list of wt_T1 wt_T2 etc.
See Also
Other xmu internal not for end user:
umxModel(),
umxRenameMatrix(),
umx_APA_pval(),
umx_fun_mean_sd(),
umx_get_bracket_addresses(),
umx_make(),
umx_standardize(),
umx_string_to_algebra(),
xmuHasSquareBrackets(),
xmuLabel_MATRIX_Model(),
xmuLabel_Matrix(),
xmuLabel_RAM_Model(),
xmuMI(),
xmuMakeDeviationThresholdsMatrices(),
xmuMakeOneHeadedPathsFromPathList(),
xmuMakeTwoHeadedPathsFromPathList(),
xmuMaxLevels(),
xmuMinLevels(),
xmuPropagateLabels(),
xmuRAM2Ordinal(),
xmuTwinSuper_Continuous(),
xmuTwinSuper_NoBinary(),
xmuTwinUpgradeMeansToCovariateModel(),
xmu_CI_merge(),
xmu_CI_stash(),
xmu_DF_to_mxData_TypeCov(),
xmu_PadAndPruneForDefVars(),
xmu_bracket_address2rclabel(),
xmu_cell_is_on(),
xmu_check_levels_identical(),
xmu_check_needs_means(),
xmu_check_variance(),
xmu_clean_label(),
xmu_data_missing(),
xmu_data_swap_a_block(),
xmu_describe_data_WLS(),
xmu_dot_make_paths(),
xmu_dot_make_residuals(),
xmu_dot_maker(),
xmu_dot_move_ranks(),
xmu_dot_rank_str(),
xmu_extract_column(),
xmu_get_CI(),
xmu_lavaan_process_group(),
xmu_make_TwinSuperModel(),
xmu_make_bin_cont_pair_data(),
xmu_make_mxData(),
xmu_match.arg(),
xmu_name_from_lavaan_str(),
xmu_path2twin(),
xmu_path_regex(),
xmu_print_algebras(),
xmu_rclabel_2_bracket_address(),
xmu_relevel_factors(),
xmu_safe_run_summary(),
xmu_set_sep_from_suffix(),
xmu_show_fit_or_comparison(),
xmu_simplex_corner(),
xmu_standardize_ACE(),
xmu_standardize_ACEcov(),
xmu_standardize_ACEv(),
xmu_standardize_CP(),
xmu_standardize_IP(),
xmu_standardize_RAM(),
xmu_standardize_SexLim(),
xmu_standardize_Simplex(),
xmu_start_value_list(),
xmu_starts(),
xmu_summary_RAM_group_parameters(),
xmu_twin_add_WeightMatrices(),
xmu_twin_check(),
xmu_twin_get_var_names(),
xmu_twin_make_def_means_mats_and_alg(),
xmu_update_covar()
Examples
xmu_twin_upgrade_selDvs2SelVars("wt", NULL, 2)
Update covariates in twin data sets to 99999 if missing and corresponding twin phenotype to NA
Description
Takes a dataframe with twin data and updates the covariates to 99999 if missing and the corresponding twin phenotype to NA. This avoids removing rows with missing data in the covariates and does not affect the estimation.
Usage
xmu_update_covar(data, covar, pheno, sep = "_T")
Arguments
data |
A [data.frame()] to convert |
covar |
The covariates. |
pheno |
The phenotypes affected by covariates. |
sep |
The separator used in the column names (default = "_T") |
Value
- dataframe with updated covariates and phenotypes
See Also
Other xmu internal not for end user:
umxModel(),
umxRenameMatrix(),
umx_APA_pval(),
umx_fun_mean_sd(),
umx_get_bracket_addresses(),
umx_make(),
umx_standardize(),
umx_string_to_algebra(),
xmuHasSquareBrackets(),
xmuLabel_MATRIX_Model(),
xmuLabel_Matrix(),
xmuLabel_RAM_Model(),
xmuMI(),
xmuMakeDeviationThresholdsMatrices(),
xmuMakeOneHeadedPathsFromPathList(),
xmuMakeTwoHeadedPathsFromPathList(),
xmuMaxLevels(),
xmuMinLevels(),
xmuPropagateLabels(),
xmuRAM2Ordinal(),
xmuTwinSuper_Continuous(),
xmuTwinSuper_NoBinary(),
xmuTwinUpgradeMeansToCovariateModel(),
xmu_CI_merge(),
xmu_CI_stash(),
xmu_DF_to_mxData_TypeCov(),
xmu_PadAndPruneForDefVars(),
xmu_bracket_address2rclabel(),
xmu_cell_is_on(),
xmu_check_levels_identical(),
xmu_check_needs_means(),
xmu_check_variance(),
xmu_clean_label(),
xmu_data_missing(),
xmu_data_swap_a_block(),
xmu_describe_data_WLS(),
xmu_dot_make_paths(),
xmu_dot_make_residuals(),
xmu_dot_maker(),
xmu_dot_move_ranks(),
xmu_dot_rank_str(),
xmu_extract_column(),
xmu_get_CI(),
xmu_lavaan_process_group(),
xmu_make_TwinSuperModel(),
xmu_make_bin_cont_pair_data(),
xmu_make_mxData(),
xmu_match.arg(),
xmu_name_from_lavaan_str(),
xmu_path2twin(),
xmu_path_regex(),
xmu_print_algebras(),
xmu_rclabel_2_bracket_address(),
xmu_relevel_factors(),
xmu_safe_run_summary(),
xmu_set_sep_from_suffix(),
xmu_show_fit_or_comparison(),
xmu_simplex_corner(),
xmu_standardize_ACE(),
xmu_standardize_ACEcov(),
xmu_standardize_ACEv(),
xmu_standardize_CP(),
xmu_standardize_IP(),
xmu_standardize_RAM(),
xmu_standardize_SexLim(),
xmu_standardize_Simplex(),
xmu_start_value_list(),
xmu_starts(),
xmu_summary_RAM_group_parameters(),
xmu_twin_add_WeightMatrices(),
xmu_twin_check(),
xmu_twin_get_var_names(),
xmu_twin_make_def_means_mats_and_alg(),
xmu_twin_upgrade_selDvs2SelVars()
Examples
# data(docData)
# df = docData
# Add some missing data
# df$varA1_T1[1:5] <- NA
# df <- xmu_update_covar(df, covar = "varA1", pheno = "varB1")
# head(df)