This repo is a data package with an excerpt from the Gapminder data. The main
object in this package is the gapminder data frame or
“tibble”. There are other goodies, such as the data in tab delimited
form, a larger unfiltered dataset, premade color schemes for the
countries and continents, and ISO 3166-1 country codes. The primary use
case is for teaching and writing examples.
Install gapminder from CRAN:
install.packages("gapminder")Here we do a bit of data aggregation and plotting with the
gapminder data:
library(gapminder)
library(dplyr)
library(ggplot2)
aggregate(lifeExp ~ continent, gapminder, median)
#> continent lifeExp
#> 1 Africa 47.7920
#> 2 Americas 67.0480
#> 3 Asia 61.7915
#> 4 Europe 72.2410
#> 5 Oceania 73.6650
gapminder %>%
filter(year == 2007) %>%
group_by(continent) %>%
summarise(lifeExp = median(lifeExp))
#> # A tibble: 5 × 2
#> continent lifeExp
#> <fct> <dbl>
#> 1 Africa 52.9
#> 2 Americas 72.9
#> 3 Asia 72.4
#> 4 Europe 78.6
#> 5 Oceania 80.7
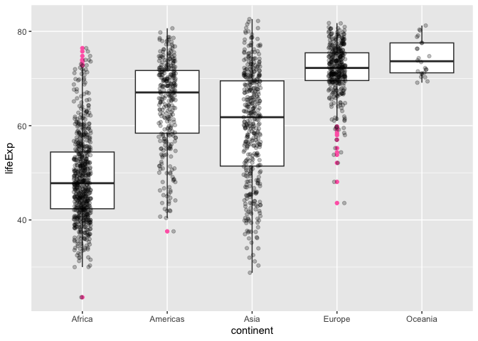
ggplot(gapminder, aes(x = continent, y = lifeExp)) +
geom_boxplot(outlier.colour = "hotpink") +
geom_jitter(position = position_jitter(width = 0.1, height = 0), alpha = 1 / 4)
For more, see the Get started vignette.