Type: Package
Title: Statistical Analysis of Amplicon Data of the Same Sample to Identify Artefacts
Version: 1.1.1
Date: 2020-05-22
Author: Anja Lange [aut, cre], Daniel Hoffmann [aut]
Maintainer: Anja Lange <anja.lange@uni-due.de>
Depends: R (≥ 2.10), stats, ggplot2, xtable
Description: Increasingly powerful techniques for high-throughput sequencing open the possibility to comprehensively characterize microbial communities, including rare species. However, a still unresolved issue are the substantial error rates in the experimental process generating these sequences. To overcome these limitations we propose an approach, where each sample is split and the same amplification and sequencing protocol is applied to both halves. This procedure should allow to detect likely PCR and sequencing artifacts, and true rare species by comparison of the results of both parts. The AmpliconDuo package, whereas amplicon duo from here on refers to the two amplicon data sets of a split sample, is intended to help interpret the obtained read frequency distribution across split samples, and to filter the false positive reads.
License: GPL (≥ 3)
NeedsCompilation: no
Packaged: 2020-05-25 10:31:28 UTC; anja
Repository: CRAN
Date/Publication: 2020-05-25 22:20:02 UTC

Statistical Analysis Of Amplicon Data Of The Same Sample To Identify Spurious Amplicons

Description

Increasingly powerful techniques for high-throughput sequencing open the possibility to comprehensively characterize microbial communities, including rare species. However, a still unresolved issue are the substantial error rates in the experimental process generating these sequences. To overcome these limitations we propose an approach, where each sample is split and the same amplification and sequencing protocol is applied to both halves. This procedure should allow to detect likely PCR and sequencing artifacts, and true rare species by comparison of the results of both parts.

The AmpliconDuo package, whereas ampliconduo from here on refers to the two amplicon data sets of a split sample, is intended to help interpret the obtained amplicon frequency distribution across split samples, and to filter the false positive amplicons.

Details

Package: AmpliconDuo
Type: Package
Version: 1.1.1
Date: 2020-05-22
License: GPL-2

The core of this package is the ampliconduo function, that generates for each pair of a split samples an ampliconduo data frame, while statistically analysing the data by Fisher's exact test. Ampliconduo data frames, or lists of these, are the input required for all other functions of this package.

Author(s)

Anja Lange (anja.lange@uni-due.de) and Daniel Hoffmann (daniel.hoffmann@uni-due.de)

Maintainer: Anja Lange (anja.lange@uni-due.de)

References

Lange A, Jost S, Heider D, Bock C, Budeus B, et al. (2015) AmpliconDuo: A Split-Sample Filtering Protocol for High-Throughput Amplicon Sequencing of Microbial Communities. PLOS ONE 10(11): e0141590

Examples


## load test amplicon frequency data ampliconfreqs and vector with sample names site.f
data(ampliconfreqs)
data(site.f)

## generating ampliconduo data frames 
## depending on the size if the data sets, may take some time
ampliconduoset <- ampliconduo(ampliconfreqs[,1:4], sample.names = site.f[1:2])

## plot amplicon read numbers of sample A  vs. amplicon read numbers of sample B,
## indicating amplicons with significant deviations in their occurence across samples
plotAmpliconduo.set(ampliconduoset, nrow = 3)

## calculate discordance between the two data sets of an ampliconduo
discordance <- discordance.delta(ampliconduoset)

## plot the odds ratio density of ampliconduo data
plotORdensity(ampliconduoset)

## apply filter criteria to remove/mark spurious amplicons
ampliconduoset.f <- filter.ampliconduo.set(ampliconduoset, min.freq = 1, q = 0.05)

## return indices of accepted amplicons, indices correspond to indices of the ampliconfreqs data, 
## that were used as input for the ampliconduo function
accep.reads <- accepted.amplicons(ampliconduoset.f)

List Of Amplicon Indices That Passed Filter Criteria

Description

Returns the indices of those amplicons in an ampliconduo data frame, that passed the applied filter criteria (ampliconduo data frames are filtered using the filter.ampliconduo or filter.ampliconduo.set function).

Usage

accepted.amplicons(x)

Arguments

x

An ampliconduo data frame or a list of ampliconduo data frames.

Details

Calling this function on an ampliconduo data frame, or a list of the latter, returns the indices of amplicons that passed the applied filter criteria. For each ampliconduo data frame an integer vector is created, and if a list of ampliconduo data frames is supplied with x, these are pooled in a list. The returned indices correspond to the data originally used to generate the ampliconduo data frames (parameter A and B in the ampliconduo function call).

Value

If x is an ampliconduo data frame, an integer vector is returned.

In case x is a list of ampliconduo data frames, a list of integer vectors is returned, one for each data frame.

Author(s)

Anja Lange & Daniel Hoffmann

See Also

filter.ampliconduo and filter.ampliconduo.set

Examples

## load example data
data(amplicons)

## apply filter criteria
ampliconduos.f <- filter.ampliconduo.set(amplicons, q = 0.05)

## return a list with accepted amplicons
good.reads <- accepted.amplicons(ampliconduos.f)

Apply Fisher's Exact Tests To Two Amplicon Frequency Sets Of The Same Sample

Description

Implements Fisher's exact test to detect amplicons with significant deviating read numbers between two amplicon sets of the same sample. The p-values of the Fisher's exact test are corrected for multiple testing by computation of the false discovery rates q. This function is intended to help identifying reads that may be the results of experimental artefacts. (The calculation can take some time depending on the size of the data sets and the computing power.)

Usage

ampliconduo(A, B = NULL, sample.names = NULL, correction = "fdr", ...)

Arguments

A

A list or a data frame containing amplicon occurences / number of reads per amplicon (integer values).

B

Optional. A list or a data frame containing amplicon occurences.

sample.names

Optional. A vector or list of characters with names for the amplicon pairs.

correction

Optional. Specifies the correction method for the p-values from Fisher's exact test. Accepts one of the following characters: "holm", "hochberg", "hommel", "bonferroni", "BH", "BY","fdr" and "none". Default is "fdr". For more details see p.adjust.

...

Arguments passed to the internally called fisher.test function.

Details

If only A is specified, it is assumed that the list elements 1 & 2, 3 & 4 etc. of A are amplicon data of the same sample. In case A and B are specified, the ith frequency set of A and B are combined. For each amplicon data pair, frequencies at the corresponding positions in the lists are assumed to belong to the same amplicon. It is required, that two frequency sets that belong to the same sample, an ampliconduo, have the same length. The ampliconduo function iterates over all amplicon pairs and performs the following tasks:

The AmpliconDuo package implements further methods to visualize and filter the returned ampliconduo data frames.

Value

A list of data frames, one for each amplicon pair, that will be called ampliconduo data frame in the following. List entries are named according to the specified sample.names or numbered.

Each ampliconduo data frame has 9 columns

Author(s)

Anja Lange and Daniel Hoffmann

References

Y Benjamini and Y Hochberg. Controlling the False Discovery Rate: A Practical and Powerful Approach to Multiple Testing. Journal of the Royal Statistical Society. Series B (Methodological), 57(1):289-300, 1995.

See Also

fisher.test, used to calculate the p-value, odds ratio and confidence interval;

p.adjust, called to correct the p-values;

methods to visualize or further manipulate the ampliconduo data frames:

plotAmpliconduo.set, plotAmpliconduo, discordance.delta,

Examples


## loads read numbers from example amplicon data sets
data(ampliconfreqs)
data(site.f)

## generate ampliconduo data frames 
ampliconduos.a <- ampliconduo(A = ampliconfreqs[,1:4], sample.names = site.f[1:2])
ampliconduos.b <- ampliconduo(A = ampliconfreqs[c(1,3)],
B = ampliconfreqs[c(2,4)], sample.names = site.f[1:2],
conf.level = 0.9)

## frequency plot
plotAmpliconduo.set(ampliconduos.a)

SSU Amplicon Frequencies Of Different Sampling Sites (Short Version)

Description

A data frame with 16 amplicon data sets taken from 8 different sampling sites. A reduced version (frequencies of 2500 amplicons) of the ampliconfreqs.long data provided with this package. Samples from each sampling site were sequenced twice, corresponding to sets A and B (e.g. column FU25.A and FU25.B). Names of the sampling sites are specified in the data site.f.

Usage

data(ampliconfreqs)

Format

A data frame with 80903 observations on the following 16 variables.

FU25.A

a numeric vector

FU25.B

a numeric vector

FU28.A

a numeric vector

FU28.B

a numeric vector

FU31.A

a numeric vector

FU31.B

a numeric vector

FU31.C

a numeric vector

FU31.D

a numeric vector

FU34.A

a numeric vector

FU34.B

a numeric vector

FU37.A

a numeric vector

FU37.B

a numeric vector

UniPond.A

a numeric vector

UniPond.B

a numeric vector

BogSoil.A

a numeric vector

BogSoil.B

a numeric vector

References

Boenigk J, Heider D, Jost S, Lange A, Budeus B, Schilling E, Strittmatter A, Hoffmann D: A high-throughput amplicon sequencing and analysis protocol for comparative analyses of microbial communities (submitted)

Examples

data(ampliconfreqs)
data(site.f)
ampliconduo.a <- ampliconduo(ampliconfreqs[,1:4], sample.names = site.f[1:2])

SSU Amplicon Frequencies Of Different Sampling Sites

Description

A data frame with 16 amplicon data sets taken from 8 different sampling sites. Samples from each sampling site were sequenced twice, corresponding to sets A and B (e.g. column FU25.A and FU25.B). Names of the sampling sites are specified in the data site.f.

Usage

data(ampliconfreqs.long)

Format

A data frame with 80903 observations on the following 16 variables.

FU25.A

a numeric vector

FU25.B

a numeric vector

FU28.A

a numeric vector

FU28.B

a numeric vector

FU31.A

a numeric vector

FU31.B

a numeric vector

FU31.C

a numeric vector

FU31.D

a numeric vector

FU34.A

a numeric vector

FU34.B

a numeric vector

FU37.A

a numeric vector

FU37.B

a numeric vector

UniPond.A

a numeric vector

UniPond.B

a numeric vector

BogSoil.A

a numeric vector

BogSoil.B

a numeric vector

References

Boenigk J, Heider D, Jost S, Lange A, Budeus B, Schilling E, Strittmatter A, Hoffmann D: A high-throughput amplicon sequencing and analysis protocol for comparative analyses of microbial communities (submitted)


Example List of Ampliconduo Data Frames

Description

A list of ampliconduo data frames that was generated calling the ampliconduo function with its default parameters and the ampliconfreqs.long data provided with this package as input.

Usage

data(amplicons)

References

Boenigk J, Heider D, Jost S, Lange A, Budeus B, Schilling E, Strittmatter A, Hoffmann D: A high-throughput amplicon sequencing and analysis protocol for comparative analyses of microbial communities (submitted)

Examples

data(amplicons)
plotAmpliconduo.set(amplicons, nrow = 3)

Measure Of Discordance Between Two Amplicon Data Sets

Description

Calculates delta (\Delta) and delta prime (\Delta'), the fraction of amplicon frequencies and amplicons, respectively, with a false discovery rate below a certain threshold \theta as a measure of discordance between two amplicon data sets A and B.

Usage

discordance.delta(x, names = NULL, theta = 0.05, corrected = TRUE,
printToTex = FALSE, directory = NULL, file.name = NULL)

Arguments

x

A list of amplicon duo data frames as returned by the ampliconduo function.

names

Optional. Vector or list of characters specifying the sample/amplicon pair names. By default names are taken from the element names of x.

theta

Optional. Numeric, threshold for the false discovery rate. Default value is 0.05.

corrected

Optional. Logical, indicates whether the p-value from Fisher's exact test (FALSE) or the adjusted p-value (TRUE), here called q, is used for calculation of \Delta and \Delta'.

printToTex

Optional. Logical, if TRUE writes a file with the resulting table in Tex format. Default is FALSE.

directory

Optional. If printToTex is TRUE, the output file will be saved in the specified directory.

file.name

Optional. If printToTex is TRUE, the output file will have the name file.name.

Details

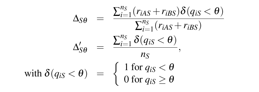
Calculates \Delta and \Delta', the fraction of frequencies of amplicons and amplicons, respectively, with false discovery rate below a certain threshold \theta as a measure of discordance between two amplicon data sets A and B with occurence r_{(iAS)} of amplicon i in amplicon set A of sample S (the ampliconduo data frame). \Delta and \Delta' are defined as follows:

\Delta_{S\theta} = \frac{\sum_{i=1}^{n_S}(r_{iAS}+r_{iBS})\delta(q_{iS}<\theta)}{\sum_{i=1}^{n_S}(r_{iAS}+r_{iBS})}\\

\Delta'_{S\theta} = \frac{\sum_{i=1}^{n_S}\delta(q_{iS}<\theta)}{n_S},\\

\mathrm{with\;} \delta(q_{iS}<\theta) = \left\{ \begin{array}{cc} 1 & \mathrm{\;for\;} q_{iS} < \theta\\ 0 & \mathrm{\;for\;} q_{iS} \ge \theta \end{array} \right.

discordanceDelta.png

for number n_S of amplicons detected in sample/ampliconduo S. \Delta_{S\theta} and \Delta'_{S\theta} are located between 0 (no discordance, i.e. no statistically significant deviations between experimental branches) and 1 (complete discordance).

x is the return value of a ampliconduo call.

Value

Data frame with three columns. The first column contains the sample/amplicon pair names. Second and third column harbor the corresponding \Delta and \Delta' values, respectively.

Author(s)

Anja Lange & Daniel Hoffmann

See Also

ampliconduo, generates the expected data format for x

xtable, used to convert the returned data frame into a Latex table.

Examples

## load example ampliconduo data frame
data(amplicons)

## calculate the discordance between amplicon data sets of an ampliconduo data frame
dd.a <- discordance.delta(amplicons)
dd.b <- discordance.delta(amplicons, theta = 0.1)

AmpliconDuo Amplicon Filter

Description

Marks or removes amplicons from an ampliconduo data frame according to the specified filter criteria.

Usage

filter.ampliconduo(x, min.freq = 1, OR = NULL, q = NULL, p = NULL, remove = FALSE)

Arguments

x

Data frame, an ampliconduo data frame returned by the ampliconduo function.

min.freq

Optional. Integer, minimium frequency/read count for an amplicon in each of the two amplicon sets to be retained. Default value is 1.

OR

Optional. Numeric, minimum odds ratio for an amplicon to be retained. If no value is specified the odds ratio is excluded from the filter criteria.

q

Optional. Numeric, minimum value for q, the adjusted p-value for an amplicon to pass the filter. If no value is specified, q is excluded from the filter criteria.

p

Optional. Numeric, minimum p-value for an amplicon to pass the filter. If no value for p is specified p is excluded from the filter criteria.

remove

Optional. Logical, decides whether amplicons that fail the filter criteria should be removed (TRUE), or retained (FALSE).

Details

Takes the ampliconduo data frame x and applies each filter criterion that is selected to each amplicon. If an amplicon i does not pass each of the applied criteria, the logical value in column rejected in row i is set to TRUE. In case the parameter remove was set to TRUE, all amplicons with rejected = TRUE are removed. The position information with respect to the data used as input for the ampliconduo call is retained.

Value

Data frame corresponding to the input x, but with the adjustments in the rejected column according to the specified filter criteria, or removed rows (removed = TRUE).

Author(s)

Anja Lange & Daniel Hoffmann

See Also

ampliconduo, generates the input data x for this method.

accepted.amplicons, returns the indices of amplicons that have passed the filter criteria.

Examples

##load example data
data(amplicons)

## extract the first ampliconduo data frame
ampliconduo1 <- amplicons[[1]]

## apply filter criteria 
ampliconduo1.f <- filter.ampliconduo(ampliconduo1)
ampliconduo1.f <- filter.ampliconduo(ampliconduo1, min.freq = 2, remove = TRUE)

## to return a list with the indices (corresponding to the indices of the data 
## the ampliconduo function was called on) of all amplicons that passed the filter criteria 
good.reads <- accepted.amplicons(ampliconduo1.f)


AmpliconDuo List Amplicon Filter

Description

Marks or removes amplicons from each ampliconduo data frame in a list according to the specified filter criteria.

Usage

filter.ampliconduo.set(x, min.freq = 1, OR = NULL, q = NULL, p = NULL, remove = FALSE)

Arguments

x

List of ampliconduo data frames, return value of an ampliconduo call.

min.freq

Optional. Integer, minimium frequency/read count for a given amplicon in each of the two amplicon sets of an ampliconduo to be retained. Default value is 1.

OR

Optional. Numeric, minimum odds ratio for an amplicon to be retained. If no value is specified the odds ratio is excluded from the filter criteria.

q

Optional. Numeric, minimum value for q, the adjusted p-value foran amplicon to pass the filter. If no value is specified, q is excluded from the filter criteria.

p

Optional. Numeric, minimum p-value for an amplicon to pass the filter. If no value for p is specified p is excluded from the filter criteria.

remove

Optional. Logical, decides whether amplicons that fail the filter criteria should be removed (TRUE), or retained (FALSE).

Details

For every ampliconduo data frame in argument x, applies each filter criterion that was specified to each amplicon. If an amplicon i fails any of the applied criteria, the logical value in column rejected in row i is set to TRUE. In case the parameter remove was set to TRUE, all amplicons with rejected = TRUE are removed. The position information in respect to the data used as input for the ampliconduo call are kept. This method uses the function filter.ampliconduo.

Value

List of ampliconduo data frames. Same as input parameter x but with the adjustments in the rejected column according to the specified filter criteria, or removed rows (removed = TRUE)

Author(s)

Anja Lange & Daniel Hoffmann

See Also

filter.ampliconduo, performs filtering on single ampliconduo data.frames, is called by this method.

ampliconduo, generates the input data x for this method.

accepted.amplicons, returns the indices of amplicons that have passed the filter criteria.

Examples

## load example data
data(amplicons)

## apply filter criteria
ampliconduos.f <- filter.ampliconduo.set(amplicons)
ampliconduos.f <- filter.ampliconduo.set(amplicons, min.freq = 3, remove = TRUE)

## to return a list with the indices (corresponding to the indices of the data 
## the ampliconduo function was called on) of all amplicons that passed the filter criteria 
good.reads <- accepted.amplicons(ampliconduos.f)

Frequeny-Frequency Plot Focusing On Significant Deviations In Amplicon Occurences

Description

Applied to an ampliconduo data frame, one element of the return value of the ampliconduo function. Generates a plot of freqB over freqA (the read numbers of the same amplicon in both halves A and B of a split sample). For amplicons that have significantly deviating read numbers, i.e. with a p-value or adjusted p-value below a certain treshold, points are colored differently (default: red).

Usage

plotAmpliconduo(x, color.treshold = 0.05, xlab = "Abundance (PCR A)", 
ylab = "Abundance (PCR B)",main = NULL, log = "xy", corrected = TRUE, asp = 1, 
legend.position = NULL, save = FALSE, path = NULL, file.name = NULL,
format = "jpeg", h.start = 0, ...)

Arguments

x

Ampliconduo data frame, an element of the returned list of the ampliconduo function.

color.treshold

Optional. Numeric value specifying at which p-value or adjusted p-value points in the plot are drawn in complementary color. Default value is 0.05.

xlab

Optional. Character indicating the x-axis label. Default is “Abundance (PCR A)”.

ylab

Optional. Character indicating the y-axis label. Default is “Abundance (PCR B)”.

main

Optional. Character specifying the overall title of the plot. If no value is passed, takes the sample name from the x$sample column.

log

Optional. Character specifying the variables to transform to log (“”,“x”, “y”, or “xy”). Default is “xy”.

corrected

Optional. Logical to decide whether the p-value (FALSE), or corrected p-value (TRUE) is used for coloring. Default value is TRUE.

asp

Optional. Numeric value, the y/x aspect ratio. Default is 1.

legend.position

Optional. Numeric vector of length two. Defines the position of the legend. By default tries to find a position that fits best the arrangement of the plots.

save

Optional. Logical value indicationg if the plot should be saved to file. Default value is FALSE.

path

Optional. Character, in case the argument save was set to TRUE, specifies the directory (no backslash or slash at the end) for saving. By default (parameter save is set to TRUE) the plot is saved in the working directory.

file.name

Optional. If argument save was set to TRUE specifies the file name for the plot. The default name is “ampliconduo_<date>.<file extension>”

format

Optional. Character specifying the format of the saved file. One of “eps”, “ps”, “tex”, “pdf”, “jpeg”, “tiff”, “png”, “bmp”, “svg” and “wmf” (windows only). Default format is “jpeg”.

h.start

Optional. Numeric value between 0 and 360 defines the color of the plotted points. Default value is 0 (blue-green, red).

...

Optional. Allows to pass other aesthetics.

Author(s)

Anja Lange & Daniel Hoffmann

References

https://ggplot2.tidyverse.org/reference/qplot.html

See Also

ggplot2 package

qplot internally used to create the plot.

plotAmpliconduo.set, generates a very similar plot for a list of ampliconduo data frames.

ampliconduo, generates the input data.

Examples

## load example data
data(amplicons)

## extract the second ampliconduo data frame
ampliconduo2 <- amplicons[[2]]

## plot the amplicon frequencies of the ampliconduo data frame 
plotAmpliconduo(ampliconduo2, main = "ampliconduo_2")
plotAmpliconduo(ampliconduo2, main = "ampliconduo_2", h.start = 50, log = "")
plotAmpliconduo(ampliconduo2, h.start = 50, log = "", asp = 2, corrected = FALSE)

Frequeny-Frequency Plot Arrangement Focusing On Significant Deviations In Amplicon Occurences

Description

Called on the return value of the ampliconduo function, a list of ampliconduo data frames. Generates for each ampliconduo data frame a plot with freqB over freqA and arranges them in a 2-dimensional array, whereas plots in the same row and column share the same scale. Points with a p-value or adjusted p-value below a certain treshold are colored differently (default: red) indicating significant deviations of amplicon occurences between the two samples in an ampliconduo data frame.

Usage

plotAmpliconduo.set(x, color.treshold = 0.05, xlab = "Abundance (PCR A)", 
ylab = "Abundance (PCR B)",log = "xy", corrected = TRUE, asp = 1, nrow = 1,
legend.position = NULL, save = FALSE, path = NULL, file.name = NULL,
format = "jpeg", h.start = 0, ...)

Arguments

x

List of ampliconduo data frames, return value of the ampliconduo function.

color.treshold

Optional. Numeric value specifying at which p-value or adjusted p-value points in the plot are drawn in complementary color. Default value is 0.05.

xlab

Optional. Character indicating the x-axis label. Default is “Abundance (PCR A)”.

ylab

Optional. Character indicating the y-axis label. Default is “Abundance (PCR B)”.

log

Optional. Character specifying the variables to transform to log (“”,“x”, “y”, or “xy”). Default is “xy”.

corrected

Optional. Logical to decide whether the p-value (FALSE), or corrected p-value (TRUE) is used for coloring. Default value is TRUE.

asp

Optional. Numeric value, the y/x aspect ratio. Default is 1.

nrow

Optional. Integer value specifying the numer of rows used to arrange the plots. Default is 1.

legend.position

Optional. Numeric vector of length two. Defines the position of the legend. By default tries to find a position that fits the arrangement of the plots best.

save

Optional. Logical value indicationg if the plot should be saved to file. Default value is FALSE.

path

Optional. Character, in case the argument save was set to TRUE, specifies the directory (no backslash or slash at the end) for saving. By default (parameter save is set to TRUE) the plot is saved in the working directory.

file.name

Optional. If argument save was set to TRUE specifies the file name for the plot. The default name is “ampliconduo_<date>.<file extension>”

format

Optional. Character specifying the format of the saved file. One of “eps”, “ps”, “tex”, “pdf”, “jpeg”, “tiff”, “png”, “bmp”, “svg” and “wmf” (windows only). Default format is “jpeg”.

h.start

Optional. Numeric value between 0 and 360, defines the color of the plotted points. Default value is 0 (blue-green, red).

...

Optional. Allows to pass other aesthetics.

Details

Generates an arrangement of plots from the return value of the ampliconduo function, that nicely visualizes those amplicons with a significant deviations in read numbers between the two amplicon data sets. The data in x are transformed and passed to the qplot function. The 2-dimensional arrangement of the different plots is achieved using facet_wrap. Important aestetic parameters like color, aspect ratio, legend position ... are easily customized. Optionally, the plot can be saved in a variety of formats.

Author(s)

Anja Lange & Daniel Hoffmann

References

https://ggplot2.tidyverse.org/reference/qplot.html

See Also

ggplot2 package

qplot, used by plotAmpliconduo.set to create the plots.

facet_wrap, called for 2-dimensional arrangement of the plots.

plotAmpliconduo, generates a very similar plot for a single ampliconduo data frame.

ampliconduo, generates the input data, an ampliconduo data frame.

Examples

## loads example data of ampliconduo data frames
data(amplicons)

## plot amplicon frequencies of multiple ampliconduo data frames
plotAmpliconduo.set(amplicons[1:4], nrow = 3, h.start = 100)

plotAmpliconduo.set(amplicons[1:4], nrow = 1, corrected = FALSE, color.treshold = 0.1)

Probability Density Plot Of Odds Ratios

Description

Plots for an ampliconduo data frame probability densities of the odds ratios of amplicon occurences in the two amplicon data sets. The function allows to shift the two extrema (odds ratios OR = 0 and OR = infinity) to the edges of the plot. Plots of multipe ampliconduo data frames are arranged in a 2-dimensional array with shared scales.

Usage

plotORdensity(x, log = "x", ncol = 2, adjust.zeroinf = TRUE, zero.pos = 0.005, 
inf.pos = 200, binwidth = 0.15, color = "black", xlab = "odds ratio", 
save = FALSE, path = NULL, file.name = NULL, format = "jpeg", ...)

Arguments

x

List or a single ampliconduo data frame, return value of the ampliconduo function.

log

Optional. Character specifying the variables to transform to log (“”,“x”, “y”, or “xy”). Default is “x”.

ncol

Optional. Integer value specifying the numer of columns used to arrange the plots. Default is 2.

adjust.zeroinf

Optional. Logical, specifies whether the density bar for 0 and inf should be shifted. Default value is TRUE.

zero.pos

Optional. Numeric, in case adjust.zeroinf is set to TRUE, determines the position for the odds ratio = 0 bar. Default value is 0.05.

inf.pos

Optional. Numeric, in case adjust.zeroinf is set to TRUE, gives the position for the odds ratio = inf bar. Default value is 200.

binwidth

Optional. Numeric, bin width to use, default is 0.15.

color

Optional. Character, name of the color used to draw the density bars. Default is “black”.

xlab

Optional. Character, label for the x-axis. Default is “odds ratio”.

save

Optional. Logical, TRUE to save the plot, else FALSE. Default is FALSE.

path

Optional. Character, in case the argument save was set to TRUE, specifies the directory (no backslash or slash at the end) for saving. By default (parameter save is set to TRUE) the plot is saved in the working directory.

file.name

Optional. If argument save was set to TRUE specifies the file name for the plot. The default name is “ampliconduo_<date>.<file extension>”

format

Optional. Character specifying the format of the saved file. One of “eps”, “ps”, “tex”, “pdf”, “jpeg”, “tiff”, “png”, “bmp”, “svg” and “wmf” (windows only). Default format is “jpeg”.

...

Optional. Allows to pass other aesthetics.

Author(s)

Anja Lange & Daniel Hoffmann

See Also

qplot, used by plotAmpliconduo.set to create the plots.

facet_wrap, called for 2-dimensional arrangement of the plots.

ampliconduo, generates the input data.

Examples

## loads example data of ampliconduo data frames
data(amplicons)

## plot odds ratio density for amplicon frequencies in ampliconduo data frames
plotORdensity(amplicons)
plotORdensity(amplicons[1:4], binwidth = 0.1, color = "magenta")
plotORdensity(amplicons[[1]], binwidth = 0.1, color = "orange", main = "Sample FU25")
plotORdensity(amplicons[1:4],  color = "darkblue", ncol = 2)


Sampling Site Short Names

Description

Character vector with the names of the sampling sites, corresponding to the names used to denote amplicon frequencies in the ampliconfreqs data.

Usage

data(site.f)

Format

The format is: chr [1:8] "FU25" "FU28" "FU31.1" "FU31.2" "FU34" "FU37" "UniPond" "BogSoil"

References

Boenigk J, Heider D, Jost S, Lange A, Budeus B, Schilling E, Strittmatter A, Hoffmann D: A high-throughput amplicon sequencing and analysis protocol for comparative analyses of microbial communities (submitted)

Examples

data(site.f)
data(ampliconfreqs)
ampliconduo(ampliconfreqs[,1:6], sample.names = site.f[1:3])